Suppr超能文献

日粮粗蛋白水平对断奶雌性仔猪肝脏脂质代谢的影响

Impact of Dietary Crude Protein Level on Hepatic Lipid Metabolism in Weaned Female Piglets.

作者信息

Liu Ning, Ji Yun, Yang Ying, Jia Hai, Si Xuemeng, Jiang Da, Zhang Yunchang, Dai Zhaolai, Wu Zhenlong

机构信息

State Key Laboratory of Animal Nutrition, Department of Animal Nutrition and Feed Science, China Agricultural University, Beijing 100193, China.

Beijing Advanced Innovation Center for Food Nutrition and Human Health, China Agricultural University, Beijing 100193, China.

出版信息

Animals (Basel). 2021 Jun 18;11(6):1829. doi: 10.3390/ani11061829.

Abstract

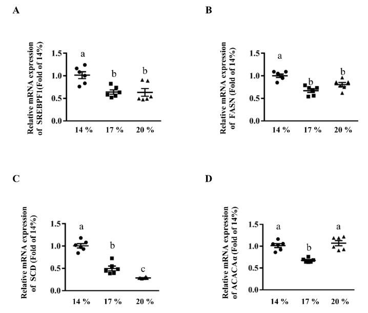
Amino acids serve not only as building blocks for proteins, but also as substrates for the synthesis of low-molecular-weight substances involved in hepatic lipid metabolism. In the present study, eighteen weaned female piglets at 35 days of age were fed a corn- and soybean meal-based diet containing 20%, 17%, or 14% crude protein (CP), respectively. We found that 17% or 20% CP administration reduced the triglyceride and cholesterol concentrations, while enhanced high-density lipoprotein cholesterol (HDL-C) concentration in serum. Western blot analysis showed that piglets in the 20% CP group had higher protein abundance of hormone-sensitive triglyceride lipase (HSL) and peroxisome proliferator-activated receptor-γ coactivator 1α (PGC-1α), as compared with other groups. Moreover, the mRNA expression of sterol regulatory element binding transcription factor 1 (SREBPF1), fatty acid synthase (FASN), and stearoyl-CoA desaturase (SCD) were lower in the 17% or 20% CP group, compared with those of the piglets administered with 14% CP. Of note, the mRNA level of acetyl-CoA carboxylase alpha (ACACα) was lower in the 17% CP group, compared with other groups. Additionally, the mRNA level of lipoprotein lipase (LPL), peroxisome proliferator-activated receptor alpha α (PPARα), glucose-6-phosphatase catalytic subunit (G6PC), and phosphoenolpyruvate carboxykinase 1 (PKC1) in the liver of piglets in the 20% CP group were higher than those of the 14% CP group. Collectively, our results demonstrated that dietary CP could regulate hepatic lipid metabolism through altering hepatic lipid lipogenesis, lipolysis, oxidation, and gluconeogenesis.

摘要

氨基酸不仅是蛋白质的组成成分,也是参与肝脏脂质代谢的低分子量物质合成的底物。在本研究中,18头35日龄断奶的雌性仔猪分别被喂食含20%、17%或14%粗蛋白(CP)的玉米-豆粕型日粮。我们发现,给予17%或20% CP可降低甘油三酯和胆固醇浓度,同时提高血清中高密度脂蛋白胆固醇(HDL-C)浓度。蛋白质印迹分析表明,与其他组相比,20% CP组仔猪的激素敏感性甘油三酯脂肪酶(HSL)和过氧化物酶体增殖物激活受体γ共激活因子1α(PGC-1α)的蛋白丰度更高。此外,与给予14% CP的仔猪相比,17%或20% CP组中固醇调节元件结合转录因子1(SREBPF1)、脂肪酸合酶(FASN)和硬脂酰辅酶A去饱和酶(SCD)的mRNA表达较低。值得注意的是,与其他组相比,17% CP组中乙酰辅酶A羧化酶α(ACACα)的mRNA水平较低。此外,20% CP组仔猪肝脏中脂蛋白脂肪酶(LPL)、过氧化物酶体增殖物激活受体α(PPARα)、葡萄糖-6-磷酸酶催化亚基(G6PC)和磷酸烯醇丙酮酸羧激酶1(PKC1)的mRNA水平高于14% CP组。总体而言,我们的结果表明,日粮CP可通过改变肝脏脂质的生成、分解、氧化和糖异生来调节肝脏脂质代谢。

https://cdn.ncbi.nlm.nih.gov/pmc/blobs/1a1f/8235084/1e0c27f63514/animals-11-01829-g0A1.jpg

文献AI研究员

20分钟写一篇综述,助力文献阅读效率提升50倍。

立即体验

用中文搜PubMed

大模型驱动的PubMed中文搜索引擎

马上搜索

文档翻译

学术文献翻译模型,支持多种主流文档格式。

立即体验