Cao Li, Gao Yue, Wang Xue-Zhen, Shu Guang-Yuan, Hu Ya-Nan, Xie Zong-Ping, Cui Wei, Guo Xiao-Peng, Zhou Xiang
College of Life Sciences and Engineering, Hexi University, Zhangye, China.
Institute of Modern Physics, Chinese Academy of Sciences, Lanzhou, China.
Front Bioeng Biotechnol. 2021 Jun 16;9:609345. doi: 10.3389/fbioe.2021.609345. eCollection 2021.
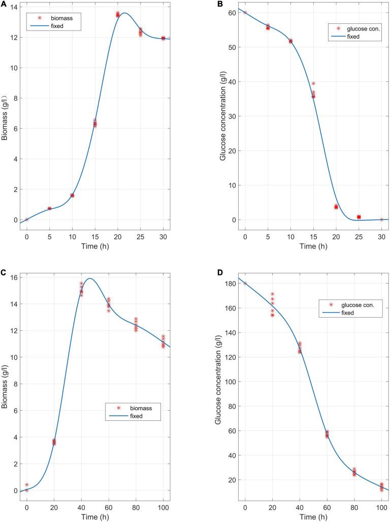
() is a fermentation strain used to produce butyric acid. A promising new biofuel, n-butanol, can be produced by catalysis of butyrate, which can be obtained through microbial fermentation. Butyric acid has various uses in food additives and flavor agents, antiseptic substances, drug formulations, and fragrances. Its use as a food flavoring has been approved by the European Union, and it has therefore been listed on the EU Lists of Flavorings. As butyric acid fermentation is a cost-efficient process, butyric acid is an attractive feedstock for various biofuels and food commercialization products. C irradiation has advantages over conventional mutation methods for fermentation production due to its dosage conformity and excellent biological availability. Nevertheless, the effects of these heavy-ion irradiations on the specific productiveness of are still uncertain. We developed non-structured mathematical models to represent the heavy-ion irradiation of in biofermentation reactors. The kinetic models reflect various fermentation features of the mutants, including the mutant strain growth model, butyric acid formation model, and medium consumption model. The models were constructed based on the Markov chain Monte Carlo model and logistic regression. Models were verified using experimental data in response to different initial glucose concentrations (0-180 g/L). The parameters of fixed proposals are applied in the various fermentation stages. Predictions of these models were in accordance well with the results of fermentation assays. The maximum butyric acid production was 56.3 g/L. Our study provides reliable information for increasing butyric acid production and for evaluating the feasibility of using mutant strains of at the pre-development phase.
()是一种用于生产丁酸的发酵菌株。一种有前景的新型生物燃料正丁醇,可以通过丁酸催化生产,而丁酸可通过微生物发酵获得。丁酸在食品添加剂和调味剂、防腐物质、药物制剂及香料中有多种用途。其作为食品调味剂的使用已获欧盟批准,因此被列入欧盟调味剂清单。由于丁酸发酵是一个成本效益高的过程,丁酸是各种生物燃料和食品商业化产品的有吸引力的原料。与传统诱变方法相比,C 辐照在发酵生产方面具有剂量一致性和良好生物可利用性的优势。然而,这些重离子辐照对()的特定生产力的影响仍不确定。我们开发了非结构化数学模型来表示生物发酵反应器中()的重离子辐照。动力学模型反映了突变体的各种发酵特征,包括突变菌株生长模型、丁酸形成模型和培养基消耗模型。这些模型基于马尔可夫链蒙特卡罗模型和逻辑回归构建。使用针对不同初始葡萄糖浓度(0 - 180 g/L)的实验数据对模型进行了验证。固定提议的参数应用于各个发酵阶段。这些模型的预测与发酵试验结果吻合良好。丁酸的最大产量为 56.3 g/L。我们的研究为提高丁酸产量以及在开发前期评估使用()突变菌株的可行性提供了可靠信息。