• 文献检索
  • 文档翻译
  • 深度研究
  • 学术资讯
  • Suppr Zotero 插件Zotero 插件
  • 邀请有礼
  • 套餐&价格
  • 历史记录
应用&插件
Suppr Zotero 插件Zotero 插件浏览器插件Mac 客户端Windows 客户端微信小程序
定价
高级版会员购买积分包购买API积分包
服务
文献检索文档翻译深度研究API 文档MCP 服务
关于我们
关于 Suppr公司介绍联系我们用户协议隐私条款
关注我们

Suppr 超能文献

核心技术专利:CN118964589B侵权必究
粤ICP备2023148730 号-1Suppr @ 2026

文献检索

告别复杂PubMed语法,用中文像聊天一样搜索,搜遍4000万医学文献。AI智能推荐,让科研检索更轻松。

立即免费搜索

文件翻译

保留排版,准确专业,支持PDF/Word/PPT等文件格式,支持 12+语言互译。

免费翻译文档

深度研究

AI帮你快速写综述,25分钟生成高质量综述,智能提取关键信息,辅助科研写作。

立即免费体验

肺腺癌亚型的分类与肿瘤细胞程序性死亡配体 1(PD-L1)表达的关联。

Association of Lung Adenocarcinoma Subtypes According to the IASLC/ATS/ERS Classification and Programmed Cell Death Ligand 1 (PD-L1) Expression in Tumor Cells.

机构信息

Thoracic Oncology Unit, Instituto Nacional de Cancerología, Mexico City, Mexico.

Laboratory of Personalized Medicine, Instituto Nacional de Cancerología, Mexico City, Mexico.

出版信息

Pathol Oncol Res. 2021 Apr 8;27:597499. doi: 10.3389/pore.2021.597499. eCollection 2021.

DOI:10.3389/pore.2021.597499
PMID:34257548
原文链接:https://pmc.ncbi.nlm.nih.gov/articles/PMC8262243/
Abstract

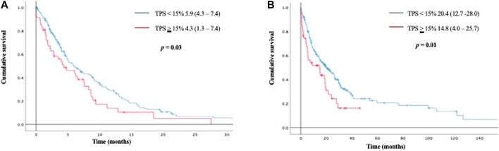
Programmed cell death-ligand 1 (PD-L1) protein expression is one of the most extensively studied biomarkers in patients with non-small cell lung cancer (NSCLC). However, there is scarce information regarding its association with distinct adenocarcinoma subtypes. This study evaluated the frequency of PD-L1 expression according to the IASLC/ATS/ERS classification and other relevant histological and clinical features. PD-L1 expression was assessed by immunohistochemistry (IHC). According to its positivity in tumor cells membrane, we stratified patients in three different tumor proportions score (TPS) cut-off points: a) <1% (negative), b) between 1 and 49%, and c) ≥50%; afterward, we analyzed the association among PD-L1 expression and lung adenocarcinoma (LADC) predominant subtypes, as well as other clinical features. As an exploratory outcome we evaluated if a PD-L1 TPS score ≥15% was useful as a biomarker for determining survival. A total of 240 patients were included to our final analysis. Median age at diagnosis was 65 years (range 23-94 years). A PD-L1 TPS ≥1% was observed in 52.5% of the entire cohort; regarding specific predominant histological patterns, a PD-L1 TPS ≥1 was documented in 31.2% of patients with predominant-lepidic pattern, 46.2% of patients with predominant-acinar pattern, 42.8% of patients with a predominant-papillary pattern, and 68.7% of patients with predominant-solid pattern ( = 0.002). On the other hand, proportion of tumors with PD-L1 TPS ≥50% was not significantly different among adenocarcinoma subtypes. At the univariate survival analysis, a PD-L1 TPS cut-off value of ≥15% was associated with a worse PFS and OS. According to IASLC/ATS/ERS lung adenocarcinoma classification, the predominant-solid pattern is associated with a higher proportion of PD-L1 positive samples, no subtype was identified to be associated with a high (≥50%) TPS PD-L1.

摘要

程序性死亡配体 1(PD-L1)蛋白表达是研究非小细胞肺癌(NSCLC)患者的最广泛的生物标志物之一。然而,关于其与不同腺癌亚型的关联的信息却很少。本研究根据 IASLC/ATS/ERS 分类以及其他相关组织学和临床特征评估了 PD-L1 表达的频率。通过免疫组织化学(IHC)评估 PD-L1 表达。根据肿瘤细胞膜的阳性程度,我们将患者分为三个不同的肿瘤比例评分(TPS)截断点:a)<1%(阴性),b)1%至 49%,c)≥50%;之后,我们分析了 PD-L1 表达与肺腺癌(LADC)主要亚型以及其他临床特征之间的关联。作为探索性结果,我们评估了 PD-L1 TPS 评分≥15%是否可作为确定生存的生物标志物。共有 240 例患者纳入最终分析。诊断时的中位年龄为 65 岁(范围 23-94 岁)。整个队列中观察到 52.5%的患者存在 PD-L1 TPS≥1%;关于特定的主要组织学模式,在主要表现为贴壁型的患者中,有 31.2%的患者 PD-L1 TPS≥1%,在主要表现为腺泡型的患者中,有 46.2%的患者 PD-L1 TPS≥1%,在主要表现为乳头型的患者中,有 42.8%的患者 PD-L1 TPS≥1%,在主要表现为实体型的患者中,有 68.7%的患者 PD-L1 TPS≥1%(=0.002)。另一方面,在腺癌亚型中,PD-L1 TPS≥50%的肿瘤比例无显著差异。在单变量生存分析中,PD-L1 TPS 截断值≥15%与较差的 PFS 和 OS 相关。根据 IASLC/ATS/ERS 肺腺癌分类,主要实体型与更高比例的 PD-L1 阳性样本相关,没有一个亚型与高(≥50%)TPS PD-L1 相关。

https://cdn.ncbi.nlm.nih.gov/pmc/blobs/1d3b/8262243/2d172e91a1b4/pore-27-597499-g002.jpg
https://cdn.ncbi.nlm.nih.gov/pmc/blobs/1d3b/8262243/3591001eb14d/pore-27-597499-g001.jpg
https://cdn.ncbi.nlm.nih.gov/pmc/blobs/1d3b/8262243/2d172e91a1b4/pore-27-597499-g002.jpg
https://cdn.ncbi.nlm.nih.gov/pmc/blobs/1d3b/8262243/3591001eb14d/pore-27-597499-g001.jpg
https://cdn.ncbi.nlm.nih.gov/pmc/blobs/1d3b/8262243/2d172e91a1b4/pore-27-597499-g002.jpg

相似文献

1
Association of Lung Adenocarcinoma Subtypes According to the IASLC/ATS/ERS Classification and Programmed Cell Death Ligand 1 (PD-L1) Expression in Tumor Cells.肺腺癌亚型的分类与肿瘤细胞程序性死亡配体 1(PD-L1)表达的关联。
Pathol Oncol Res. 2021 Apr 8;27:597499. doi: 10.3389/pore.2021.597499. eCollection 2021.
2
PD-L1 Expression in Non-Small-Cell Lung Cancer Including Various Adenocarcinoma Subtypes.非小细胞肺癌包括各种腺癌亚型中的程序性死亡受体配体1(PD-L1)表达
Ann Thorac Cardiovasc Surg. 2019 Feb 20;25(1):1-9. doi: 10.5761/atcs.oa.18-00163. Epub 2018 Oct 3.
3
Clinical significance of ≥ 50% PD-L1 expression with the SP263 monoclonal antibody in non-small cell lung cancer patients.SP263 单克隆抗体检测非小细胞肺癌患者 PD-L1 表达水平≥50%的临床意义。
Thorac Cancer. 2019 Feb;10(2):175-182. doi: 10.1111/1759-7714.12929. Epub 2018 Dec 11.
4
Real-World Prevalence of PD-L1 Expression Among Tumor Samples From Patients With Non-Small-Cell Lung Cancer.非小细胞肺癌患者肿瘤样本中 PD-L1 表达的真实世界患病率。
Clin Lung Cancer. 2020 Nov;21(6):e511-e515. doi: 10.1016/j.cllc.2020.04.007. Epub 2020 Apr 13.
5
Solid histological component of adenocarcinoma might play an important role in PD-L1 expression of lung adenocarcinoma.肺腺癌中固体组织学成分可能在 PD-L1 表达中起重要作用。
Thorac Cancer. 2022 Jan;13(1):24-30. doi: 10.1111/1759-7714.14209. Epub 2021 Nov 23.
6
Expression of PD-L1, PD-L2, and IDO1 on tumor cells and density of CD8-positive tumor-infiltrating lymphocytes in early-stage lung adenocarcinoma according to histological subtype.根据组织学亚型,早期肺腺癌肿瘤细胞 PD-L1、PD-L2 和 IDO1 的表达及肿瘤浸润 CD8+T 淋巴细胞的密度。
J Cancer Res Clin Oncol. 2020 Oct;146(10):2639-2650. doi: 10.1007/s00432-020-03250-6. Epub 2020 May 14.
7
Programmed Death-Ligand 1 Expression Predicts Tyrosine Kinase Inhibitor Response and Better Prognosis in a Cohort of Patients With Epidermal Growth Factor Receptor Mutation-Positive Lung Adenocarcinoma.程序性死亡配体1表达可预测表皮生长因子受体突变阳性肺腺癌患者队列中酪氨酸激酶抑制剂的反应及更好的预后。
Clin Lung Cancer. 2015 Sep;16(5):e25-35. doi: 10.1016/j.cllc.2015.02.002. Epub 2015 Feb 19.
8
Cytology cell blocks from malignant pleural effusion are good candidates for PD-L1 detection in advanced NSCLC compared with matched histology samples.与匹配的组织学样本相比,来自恶性胸腔积液的细胞学细胞块是晚期 NSCLC 中 PD-L1 检测的良好候选物。
BMC Cancer. 2020 Apr 22;20(1):344. doi: 10.1186/s12885-020-06851-z.
9
Immune Marker Profiling and Programmed Death Ligand 1 Expression Across NSCLC Mutations.非小细胞肺癌突变中的免疫标志物分析和程序性死亡配体 1 表达。
J Thorac Oncol. 2018 Dec;13(12):1884-1896. doi: 10.1016/j.jtho.2018.09.012. Epub 2018 Sep 26.
10
LAG-3 Protein Expression in Non-Small Cell Lung Cancer and Its Relationship with PD-1/PD-L1 and Tumor-Infiltrating Lymphocytes.LAG-3 蛋白在非小细胞肺癌中的表达及其与 PD-1/PD-L1 和肿瘤浸润淋巴细胞的关系。
J Thorac Oncol. 2017 May;12(5):814-823. doi: 10.1016/j.jtho.2017.01.019. Epub 2017 Jan 26.

引用本文的文献

1
The correlation of HLA-A in Thai EGFR-mutated advanced non-small cell lung cancer, outcome, and tumor microenvironment.泰国表皮生长因子受体(EGFR)突变的晚期非小细胞肺癌中HLA-A、预后及肿瘤微环境的相关性
Sci Rep. 2025 Aug 23;15(1):30989. doi: 10.1038/s41598-025-16365-y.
2
Programmed Cell Death-Ligand 1 Expression and Clinical Outcomes Among Patients with Resected, Early-Stage Non-Small Cell Lung Cancer: A Real-World Study.程序性细胞死亡配体 1 表达与早期非小细胞肺癌患者切除术后临床结局的相关性:一项真实世界研究。
Curr Oncol. 2024 Oct 31;31(11):6735-6748. doi: 10.3390/curroncol31110497.
3
Factors correlating the expression of PD-L1.

本文引用的文献

1
Durvalumab With or Without Tremelimumab vs Standard Chemotherapy in First-line Treatment of Metastatic Non-Small Cell Lung Cancer: The MYSTIC Phase 3 Randomized Clinical Trial.度伐利尤单抗联合或不联合替西木单抗与标准化疗用于转移性非小细胞肺癌一线治疗的 MYSTIC 期 3 随机临床试验。
JAMA Oncol. 2020 May 1;6(5):661-674. doi: 10.1001/jamaoncol.2020.0237.
2
Efficacy and Safety of Pembrolizumab Plus Docetaxel vs Docetaxel Alone in Patients With Previously Treated Advanced Non-Small Cell Lung Cancer: The PROLUNG Phase 2 Randomized Clinical Trial.帕博利珠单抗联合多西他赛对比多西他赛单药用于既往治疗的晚期非小细胞肺癌患者的疗效和安全性:PROLUNG 期 2 随机临床试验。
JAMA Oncol. 2020 Jun 1;6(6):856-864. doi: 10.1001/jamaoncol.2020.0409.
3
与 PD-L1 表达相关的因素。
BMC Cancer. 2024 May 25;24(1):642. doi: 10.1186/s12885-024-12400-9.
4
Association of PD-L1 expression with driver gene mutations and clinicopathological characteristics in non-small cell lung cancer: A real-world study of 10 441 patients.非小细胞肺癌中PD-L1表达与驱动基因突变及临床病理特征的关联:一项对10441例患者的真实世界研究
Thorac Cancer. 2024 Apr;15(11):895-905. doi: 10.1111/1759-7714.15244. Epub 2024 Mar 8.
5
Relationship between PD-L1 expression and molecular aberrances in lung adenocarcinoma with solid components.肺腺癌实性成分中PD-L1表达与分子异常之间的关系
J Thorac Dis. 2023 Jun 30;15(6):2936-2947. doi: 10.21037/jtd-22-1095. Epub 2023 Apr 13.
6
[A Real-world Study on the Expression Characteristics of PD-L1 in Patients 
with Advanced EGFR Positive NSCLC and Its Relationship with the 
Therapeutic Efficacy of EGFR-TKIs].[晚期表皮生长因子受体(EGFR)阳性非小细胞肺癌(NSCLC)患者程序性死亡受体配体1(PD-L1)表达特征及其与EGFR酪氨酸激酶抑制剂(EGFR-TKIs)治疗疗效关系的真实世界研究]
Zhongguo Fei Ai Za Zhi. 2023 Mar 20;26(3):217-227. doi: 10.3779/j.issn.1009-3419.2023.101.09.
7
[Advances in the Study of Invasive Non-mucinous Adenocarcinoma 
with Different Pathological Subtypes].[不同病理亚型侵袭性非黏液腺癌的研究进展]
Zhongguo Fei Ai Za Zhi. 2023 Jan 20;26(1):22-30. doi: 10.3779/j.issn.1009-3419.2022.102.51.
8
Modifying factors of PD-L1 expression on tumor cells in advanced non-small-cell lung cancer.晚期非小细胞肺癌肿瘤细胞 PD-L1 表达的修饰因素。
Thorac Cancer. 2022 Dec;13(23):3362-3373. doi: 10.1111/1759-7714.14695. Epub 2022 Oct 31.
Impact of tumor microenvironment on the efficacy of epidermal growth factor receptor-tyrosine kinase inhibitors in patients with EGFR-mutant non-small cell lung cancer.
肿瘤微环境对表皮生长因子受体酪氨酸激酶抑制剂治疗表皮生长因子受体突变型非小细胞肺癌疗效的影响。
Cancer Sci. 2019 Oct;110(10):3244-3254. doi: 10.1111/cas.14156. Epub 2019 Aug 30.
4
Updated Analysis of KEYNOTE-024: Pembrolizumab Versus Platinum-Based Chemotherapy for Advanced Non-Small-Cell Lung Cancer With PD-L1 Tumor Proportion Score of 50% or Greater.KEYNOTE-024 更新分析:PD-L1 肿瘤比例评分≥50%的晚期非小细胞肺癌的帕博利珠单抗对比铂类化疗
J Clin Oncol. 2019 Mar 1;37(7):537-546. doi: 10.1200/JCO.18.00149. Epub 2019 Jan 8.
5
Cancer statistics, 2019.癌症统计数据,2019 年。
CA Cancer J Clin. 2019 Jan;69(1):7-34. doi: 10.3322/caac.21551. Epub 2019 Jan 8.
6
A real-world, comparative study of FDA-approved diagnostic assays PD-L1 IHC 28-8 and 22C3 in lung cancer and other malignancies.一项在肺癌和其他恶性肿瘤中评估 FDA 批准的 PD-L1 IHC 28-8 和 22C3 检测试剂盒的真实世界、对比研究。
J Clin Pathol. 2018 Dec;71(12):1078-1083. doi: 10.1136/jclinpath-2018-205362. Epub 2018 Oct 1.
7
PD-L1 Immunohistochemistry Comparability Study in Real-Life Clinical Samples: Results of Blueprint Phase 2 Project.PD-L1 免疫组织化学在真实临床样本中的可比性研究:Blueprint 阶段 2 项目的结果。
J Thorac Oncol. 2018 Sep;13(9):1302-1311. doi: 10.1016/j.jtho.2018.05.013. Epub 2018 May 22.
8
Assessment of programmed cell death ligand-1 expression by 4 diagnostic assays and its clinicopathological correlation in a large cohort of surgical resected non-small cell lung carcinoma.四种诊断检测方法评估程序性细胞死亡配体-1 在大量手术切除的非小细胞肺癌中的表达及其与临床病理的相关性。
Mod Pathol. 2018 Sep;31(9):1381-1390. doi: 10.1038/s41379-018-0053-3. Epub 2018 Apr 30.
9
Pembrolizumab plus Chemotherapy in Metastatic Non-Small-Cell Lung Cancer.帕博利珠单抗联合化疗治疗转移性非小细胞肺癌。
N Engl J Med. 2018 May 31;378(22):2078-2092. doi: 10.1056/NEJMoa1801005. Epub 2018 Apr 16.
10
PD-L1 expression in lung adenocarcinoma harboring EGFR mutations or ALK rearrangements.肺腺癌中 EGFR 突变或 ALK 重排患者的 PD-L1 表达。
Lung Cancer. 2018 Apr;118:36-40. doi: 10.1016/j.lungcan.2018.01.024. Epub 2018 Feb 2.