Suppr超能文献

基于活性的细胞分选揭示了硝化活性污泥在压力干扰期间功能退化的抗性。

Activity-Based Cell Sorting Reveals Resistance of Functionally Degenerate during a Press Disturbance in Nitrifying Activated Sludge.

作者信息

Madill Maxwell B W, Luo Yaqian, Sampara Pranav, Ziels Ryan M

机构信息

Department of Civil Engineering, The University of British Columbia, Vancouver, Canada.

出版信息

mSystems. 2021 Aug 31;6(4):e0071221. doi: 10.1128/mSystems.00712-21. Epub 2021 Jul 20.

Abstract

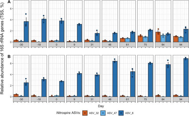
Managing and engineering activated sludge wastewater treatment microbiomes for low-energy nitrogen removal requires process control strategies to stop the oxidation of ammonium at nitrite. Our ability to out-select nitrite-oxidizing bacteria (NOB) from activated sludge is challenged by their metabolic and physiological diversity, warranting measurements of their physiology and activity under selective growth pressures. Here, we examined the stability of nitrite oxidation in activated sludge during a press disturbance induced by treating a portion of return activated sludge with a sidestream flow containing free ammonia (FA) at 200 mg NH-N/liter. The nitrite accumulation ratio peaked at 42% by day 40 in the experimental bioreactor with the press disturbance, while it did not increase in the control bioreactor. A subsequent decrease in nitrite accumulation within the experimental bioreactor coincided with shifts in dominant 16S rRNA amplicon sequence variants (ASVs). We applied bioorthogonal noncanonical amino acid tagging (BONCAT) coupled with fluorescence-activated cell sorting (FACS) to investigate changes in the translational activity of NOB populations throughout batch exposure to FA. BONCAT-FACS confirmed that the single ASV washed out of the experimental bioreactor had reduced translational activity following exposure to FA, whereas the two ASVs that emerged after process acclimation were not impacted by FA. Thus, the coexistence of functionally degenerate and physiologically resistant populations provided resilience to the nitrite-oxidizing function during the press disturbance. These results highlight how BONCAT-FACS can resolve ecological niche differentiation within activated sludge and inform strategies to engineer and control microbiome function. Nitrogen removal from activated sludge wastewater treatment systems is an energy-intensive process due to the large aeration requirement for nitrification. This energy footprint could be minimized with engineering control strategies that wash out nitrite-oxidizing bacteria (NOB) to limit oxygen demands. However, NOB populations can have a high degree of physiological diversity, and it is currently difficult to decipher the behavior of individual taxa during applied selective pressures. Here, we utilized a new substrate analog probing approach to measure the activity of NOB at the cellular translational level in the face of a press disturbance applied to the activated sludge process. Substrate analog probing corroborated the time series reactor sampling, showing that coexisting and functionally degenerate populations provided resilience to the nitrite oxidation process. Taken together, these results highlight how substrate analog approaches can illuminate ecophysiologies within shared niches, and can inform strategies to improve microbiome engineering and management.

摘要

管理和设计用于低能耗脱氮的活性污泥废水处理微生物群落需要过程控制策略来阻止亚硝酸盐阶段的铵氧化。我们从活性污泥中筛选出亚硝酸盐氧化细菌(NOB)的能力受到其代谢和生理多样性的挑战,这就需要测量它们在选择性生长压力下的生理和活性。在这里,我们研究了在一个压力干扰过程中活性污泥中亚硝酸盐氧化的稳定性,该干扰是通过用含有200 mg NH-N/升游离氨(FA)的侧流处理一部分回流活性污泥来诱导的。在有压力干扰的实验生物反应器中,亚硝酸盐积累率在第40天达到峰值42%,而在对照生物反应器中没有增加。实验生物反应器中亚硝酸盐积累的随后下降与优势16S rRNA扩增子序列变体(ASV)的变化一致。我们应用生物正交非经典氨基酸标记(BONCAT)与荧光激活细胞分选(FACS)相结合的方法,来研究在分批暴露于FA的过程中NOB群体翻译活性的变化。BONCAT-FACS证实,从实验生物反应器中被淘汰的单一ASV在暴露于FA后翻译活性降低,而在过程适应后出现的两个ASV不受FA影响。因此,功能退化和生理抗性群体的共存为压力干扰期间的亚硝酸盐氧化功能提供了恢复力。这些结果突出了BONCAT-FACS如何能够解析活性污泥内的生态位分化,并为设计和控制微生物群落功能的策略提供信息。由于硝化作用需要大量曝气,活性污泥废水处理系统中的脱氮是一个能源密集型过程。通过工程控制策略淘汰亚硝酸盐氧化细菌(NOB)以限制需氧量,可以将这种能源足迹最小化。然而,NOB群体可能具有高度的生理多样性,目前很难解读在施加选择性压力期间单个分类群的行为。在这里,我们利用一种新的底物类似物探测方法,在对活性污泥过程施加压力干扰的情况下,测量细胞翻译水平上NOB的活性。底物类似物探测证实了时间序列反应器采样的结果,表明共存且功能退化的群体为亚硝酸盐氧化过程提供了恢复力。综上所述,这些结果突出了底物类似物方法如何能够揭示共享生态位内的生态生理学,并为改进微生物群落工程和管理的策略提供信息。

https://cdn.ncbi.nlm.nih.gov/pmc/blobs/9900/8407113/5ca4f7e6eca6/msystems.00712-21-f001.jpg

文献检索

告别复杂PubMed语法,用中文像聊天一样搜索,搜遍4000万医学文献。AI智能推荐,让科研检索更轻松。

立即免费搜索

文件翻译

保留排版,准确专业,支持PDF/Word/PPT等文件格式,支持 12+语言互译。

免费翻译文档

深度研究

AI帮你快速写综述,25分钟生成高质量综述,智能提取关键信息,辅助科研写作。

立即免费体验