Chen Yuying, Chen Jia, Zhang Yu, Lin Zhi, Wang Meng, Huang Lifei, Huang Mengqi, Tang Mimi, Zhou Xiaoqi, Peng Zhenpeng, Huang Bingsheng, Feng Shi-Ting
Department of Radiology, The First Affiliated Hospital, Sun Yat-sen University, Guangzhou, Guangdong, People's Republic of China.
Medical AI Lab, School of Biomedical Engineering, Health Science Center, Shenzhen University, Shenzhen, Guangdong, People's Republic of China.
J Hepatocell Carcinoma. 2021 Jul 22;8:795-808. doi: 10.2147/JHC.S313879. eCollection 2021.
Cytokeratin 19 (CK19) expression is a proven independent prognostic predictor of hepatocellular carcinoma (HCC). This study aimed to develop and validate the performance of a deep learning radiomics (DLR) model for CK19 identification in HCC based on preoperative gadoxetic acid-enhanced magnetic resonance imaging (MRI).
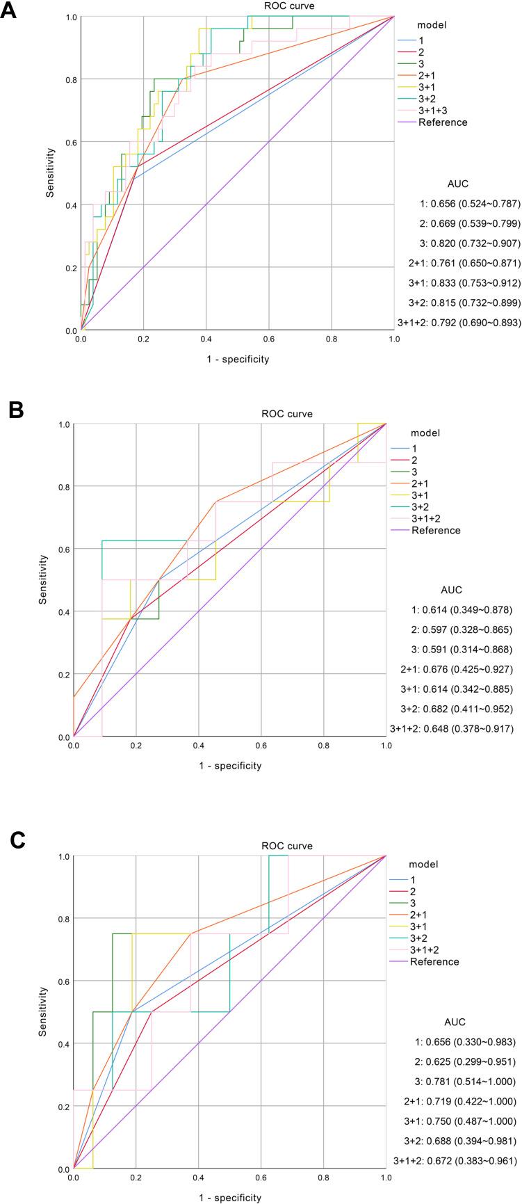
A total of 141 surgically confirmed HCCs with preoperative gadoxetic acid-enhanced MRI from two institutions were included. Prediction models were established based on hepatobiliary phase (HBP) images using a training set (n=102) and validated using time-independent (n=19) and external (n=20) test sets. A receiver operating characteristic curve was used to evaluate the performance for CK19 prediction. Recurrence-free survival (RFS) was also analyzed by incorporating the CK19 expression and other factors.
For predicting CK19 expression, the area under the curve (AUC) of the DLR model was 0.820 (95% confidence interval [CI]: 0.732-0.907, <0.001) with sensitivity, specificity, accuracy of 0.800, 0.766, and 0.775, respectively, and reached 0.781 in the external test set. Combined with alpha fetoprotein, the AUC increased to 0.833 (95% CI: 0.753-0.912, 0.001) and the sensitivity was 0.960. Intratumoral hemorrhage and peritumoral hypointensity on HBP were independent risk factors for HCC recurrence by multivariate analysis. Based on predicted CK19 expression and the independent risk factors, a nomogram was developed to predict RFS and achieved C-index of 0.707.
This study successfully established and verified an optimal DLR model for preoperative prediction of CK19-positive HCCs based on gadoxetic acid-enhanced MRI. The prediction of CK19 expression in HCC using a non-invasive method can help inform preoperative planning.
细胞角蛋白19(CK19)表达是肝细胞癌(HCC)已被证实的独立预后预测指标。本研究旨在开发并验证基于术前钆塞酸增强磁共振成像(MRI)的深度学习放射组学(DLR)模型用于HCC中CK19识别的性能。
纳入来自两家机构的141例经手术证实且术前行钆塞酸增强MRI检查的HCC患者。基于肝胆期(HBP)图像,使用训练集(n = 102)建立预测模型,并使用时间独立测试集(n = 19)和外部测试集(n = 20)进行验证。采用受试者工作特征曲线评估CK19预测性能。还通过纳入CK19表达及其他因素分析无复发生存期(RFS)。
对于预测CK19表达,DLR模型的曲线下面积(AUC)为0.820(95%置信区间[CI]:0.732 - 0.907,P < 0.001),敏感性、特异性和准确性分别为0.800、0.766和0.775,在外部测试集中达到0.781。与甲胎蛋白联合时,AUC增至0.833(95% CI:0.753 - 0.912,P = 0.001),敏感性为0.960。多因素分析显示,HBP上肿瘤内出血和瘤周低信号是HCC复发的独立危险因素。基于预测的CK19表达及独立危险因素,构建了预测RFS的列线图,C指数为0.707。
本研究成功建立并验证了基于钆塞酸增强MRI术前预测CK19阳性HCC的最佳DLR模型。采用非侵入性方法预测HCC中的CK19表达有助于指导术前规划。