Suppr超能文献

儿童急性缺血性脑卒中:全面综述。

Acute ischemic stroke in childhood: a comprehensive review.

机构信息

Child Neurology and Infantile Psychiatry Unit, Department of Human Neuroscience, Sapienza University of Rome, Rome, Italy.

Emergency Department Stroke Unit, Department of Human Neurosciences, Sapienza University of Rome, Rome, Italy.

出版信息

Eur J Pediatr. 2022 Jan;181(1):45-58. doi: 10.1007/s00431-021-04212-x. Epub 2021 Jul 29.

Abstract

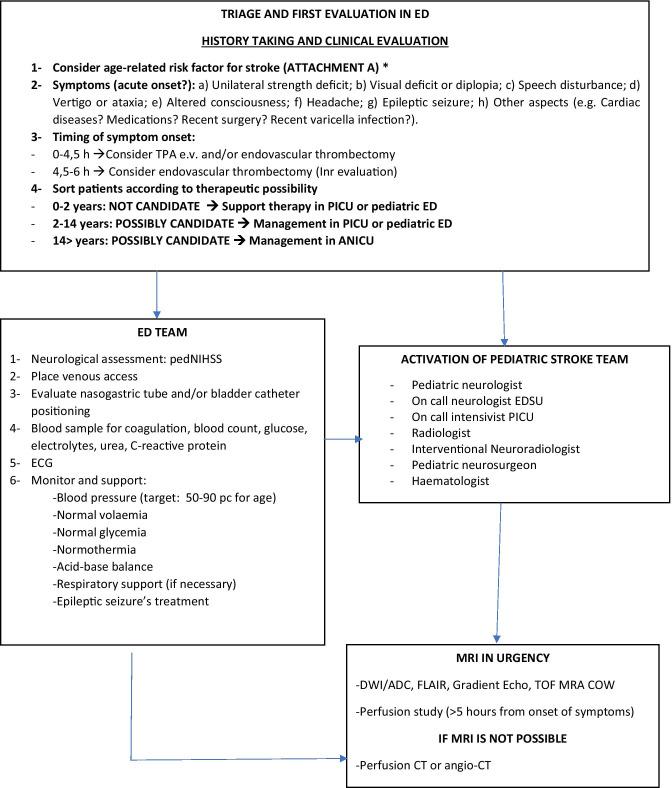
This review provides an updated analysis of the main aspects involving the diagnosis and the management of children with acute ischemic stroke. Acute ischemic stroke is an emergency of rare occurrence in children (rate of incidence of 1/3500 live birth in newborns and 1-2/100,000 per year during childhood with peaks of incidence during the perinatal period, under the age of 5 and in adolescence). The management of ischemic stroke in the paediatric age is often challenging because of pleomorphic age-dependent risk factors and aetiologies, high frequency of subtle or atypical clinical presentation, and lacking evidence-based data about acute recanalization therapies. Each pediatric tertiary centre should activate adequate institutional protocols for the optimization of diagnostic work-up and treatments.Conclusion: The implementation of institutional standard operating procedures, summarizing the steps for the selection of candidate for neuroimaging among the ones presenting with acute neurological symptoms, may contribute to shorten the times for thrombolysis and/or endovascular treatments and to improve the long-term outcome. What is Known: •Acute ischemic stroke has a higher incidence in newborns than in older children (1/3500 live birth versus 1-2/100,000 per year). •Randomized clinical trial assessing safety and efficacy of thrombolysis and/or endovascular treatment were never performed in children What is New: •Recent studies evidenced a low risk (2.1% of the cases) of intracranial haemorrhages in children treated with thrombolysis. •A faster access to neuroimaging and hyper-acute therapies was associated with the implementation of institutional protocols for the emergency management of pediatric stroke.

摘要

这篇综述对涉及儿童急性缺血性脑卒中的诊断和治疗的主要方面进行了更新分析。急性缺血性脑卒中在儿童中较为罕见(新生儿发病率为 1/3500,儿童期每年为 1-2/100,000,围产期、5 岁以下和青春期发病率较高)。由于与年龄相关的风险因素和病因多种多样、临床表现多为轻微或非典型、缺乏急性再通治疗的循证数据,因此儿童缺血性脑卒中的治疗常常具有挑战性。每个儿科三级中心都应制定适当的机构协议,以优化诊断和治疗。结论:实施机构标准操作程序,总结在出现急性神经症状的患者中选择进行神经影像学检查的候选者的步骤,可能有助于缩短溶栓和/或血管内治疗的时间,并改善长期预后。已知:•急性缺血性脑卒中在新生儿中的发病率高于年长儿(活产儿 1/3500 与每年 1-2/100,000)。•从未在儿童中进行过评估溶栓和/或血管内治疗安全性和疗效的随机临床试验。新发现:•最近的研究表明,溶栓治疗的儿童颅内出血风险较低(2.1%)。•更快地进行神经影像学检查和超急性期治疗与实施机构协议以紧急管理儿科脑卒中有关。

https://cdn.ncbi.nlm.nih.gov/pmc/blobs/fc29/8760225/05eb8be2888c/431_2021_4212_Fig1_HTML.jpg

文献AI研究员

20分钟写一篇综述,助力文献阅读效率提升50倍。

立即体验

用中文搜PubMed

大模型驱动的PubMed中文搜索引擎

马上搜索

文档翻译

学术文献翻译模型,支持多种主流文档格式。

立即体验