Suppr超能文献

边缘保持中值滤波和稀疏非局部正则化加权编码在低剂量 CT 图像去噪算法中的应用。

Edge-Preserving Median Filter and Weighted Coding with Sparse Nonlocal Regularization for Low-Dose CT Image Denoising Algorithm.

机构信息

School of Electronic Engineering and Automation, Guilin University of Electronic Technology, Guilin 541004, Guangxi, China.

Xi'an Tapo Primary School, Chang'an District, Xi'an 710119, Shaanxi, China.

出版信息

J Healthc Eng. 2021 Jul 26;2021:6095676. doi: 10.1155/2021/6095676. eCollection 2021.

Abstract

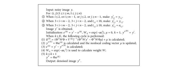
The impulse noise in CT image was removed based on edge-preserving median filter algorithm. The sparse nonlocal regularization algorithm weighted coding was used to remove the impulse noise and Gaussian noise in the mixed noise, and the peak signal-to-noise ratio (PSNR) and structural similarity index (SSIM) were calculated to evaluate the quality of the denoised CT image. It was found that in nine different proportions of Gaussian noise and salt-and-pepper noise in Shepp-Logan image and CT image processing, the PSNR and SSIM values of the proposed denoising algorithm based on edge-preserving median filter (EP median filter) and weighted encoding with sparse nonlocal regularization (WESNR) were significantly higher than those of using EP median filter and WESNR alone. It was shown that the weighted coding algorithm based on edge-preserving median filtering and sparse nonlocal regularization had potential application value in low-dose CT image denoising.

摘要

基于边缘保持中值滤波算法去除 CT 图像中的脉冲噪声。采用稀疏非局部正则化加权编码算法去除混合噪声中的脉冲噪声和高斯噪声,并计算峰值信噪比(PSNR)和结构相似性指数(SSIM)来评估去噪 CT 图像的质量。结果表明,在 Shepp-Logan 图像和 CT 图像处理中高斯噪声和椒盐噪声的九种不同比例下,基于边缘保持中值滤波(EP 中值滤波)和稀疏非局部正则化加权编码(WESNR)的去噪算法的 PSNR 和 SSIM 值均明显高于单独使用 EP 中值滤波和 WESNR 的情况。结果表明,基于边缘保持中值滤波和稀疏非局部正则化的加权编码算法在低剂量 CT 图像去噪中具有潜在的应用价值。

https://cdn.ncbi.nlm.nih.gov/pmc/blobs/24e8/8331292/6278d915d5f9/JHE2021-6095676.001.jpg

文献AI研究员

20分钟写一篇综述,助力文献阅读效率提升50倍。

立即体验

用中文搜PubMed

大模型驱动的PubMed中文搜索引擎

马上搜索

文档翻译

学术文献翻译模型,支持多种主流文档格式。

立即体验