Institute of Agricultural Information and Economics, Beijing Academy of Agricultural and Forestry Sciences, Beijing 100097, China.
Int J Environ Res Public Health. 2021 Jul 22;18(15):7788. doi: 10.3390/ijerph18157788.
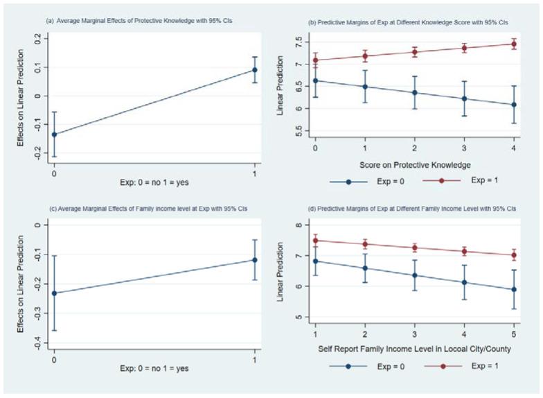
Atmospheric pollution control policies have achieved remarkable progress in China since 2013, and the smog protective equipment market has experienced a great boom during the same period. From the perspectives of the health production efficiency hypothesis and the time discount rate hypothesis, this study investigates the relationship between household expenditures on air pollution avoidance and health care, and individuals' self-assessed health based on network survey data from 17 cities in China. Using the treatment effect model to control the potential endogenous selection problems, we explain the paradox of the growing smog avoidance investment coexisting with improving air quality. First, smog avoidance investment and household medical expenditures do not have substitution effects, while the perception of pollution intensity, pollution protection knowledge, and future health preferences significantly promote smog avoidance investment and medical expenditures. Second, air pollution avoidance investment greatly increases the probability that urban residents rate their health as "good" and "very good". The results indicate that the time preference hypothesis can explain the pollution avoidance investment behavior and health demands of Chinese urban residents well. The hidden social welfare loss caused by air pollution may still be underestimated, even though short-term avoidance costs are included in the evaluation of pollution impacts. It is necessary to optimize environmental regulations and policies to consistently improve the ecological environment.
自 2013 年以来,中国的大气污染控制政策取得了显著进展,雾霾防护设备市场在此期间经历了巨大的繁荣。本研究基于中国 17 个城市的网络调查数据,从健康生产效率假说和时间贴现率假说的角度,考察了家庭空气污染防治支出与医疗保健支出以及个人自我评估健康之间的关系。通过使用处理效应模型来控制潜在的内生选择问题,我们解释了雾霾防治投资不断增长与空气质量改善并存的悖论。首先,雾霾防治投资与家庭医疗支出之间没有替代效应,而污染强度感知、污染防护知识和未来健康偏好显著促进了雾霾防治投资和医疗支出。其次,空气污染防治投资大大提高了城市居民将自己的健康状况评为“良好”和“非常好”的概率。结果表明,时间偏好假说可以很好地解释中国城市居民的污染防治投资行为和健康需求。即使将短期防治成本纳入污染影响的评估中,空气污染造成的隐性社会福利损失可能仍被低估。有必要优化环境法规和政策,持续改善生态环境。