Tang Jun, Yang Junbo, Duan Hongchao, Jia Guifang
Beijing National Laboratory for Molecular Sciences, Key Laboratory of Bioorganic Chemistry and Molecular Engineering of Ministry of Education, Synthetic and Functional Biomolecules Center, College of Chemistry and Molecular Engineering, Peking University, Beijing, China.
Front Plant Sci. 2021 Jul 27;12:712713. doi: 10.3389/fpls.2021.712713. eCollection 2021.
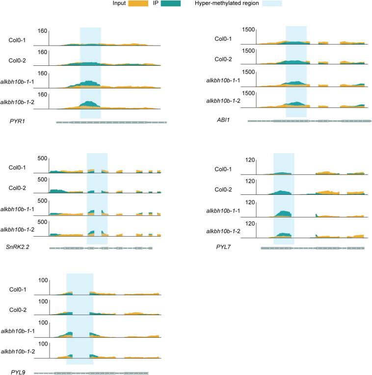
As the most abundant and reversible chemical modification in eukaryotic mRNA, the epitranscriptomic mark -methyladenine (mA) regulates plant development and stress response. We have previously characterized that ALKBH10B is an Arabidopsis mRNA mA demethylase and regulates floral transition. However, it is unclear whether ALKBH10B plays a role in abiotic stress response. Here, we found that the expression of is increased in response to abscisic acid (ABA), osmotic, and salt stress. The mutants showed hypersensitive to ABA, osmotic, and salt stress during seed germination. Transcriptome analysis revealed that the expression of several ABA response genes is upregulated in than that of wild type, indicating ALKBH10B negatively affects the ABA signaling. Furthermore, mA sequencing showed that ABA signaling genes, including , , , , and are mA hypermethylated in after ABA treatment. Taken together, our work demonstrated that ALKBH10B negatively modulates ABA response during seed germination in Arabidopsis.
作为真核生物信使核糖核酸(mRNA)中最丰富且可逆的化学修饰,表观转录组标记N6-甲基腺嘌呤(m6A)调控植物发育和应激反应。我们之前已鉴定出ALKBH10B是一种拟南芥mRNA m6A去甲基化酶,并调控开花转变。然而,尚不清楚ALKBH10B在非生物胁迫反应中是否发挥作用。在此,我们发现ALKBH10B的表达在脱落酸(ABA)、渗透和盐胁迫下会增加。ALKBH10B突变体在种子萌发期间对ABA、渗透和盐胁迫表现出超敏感性。转录组分析显示,与野生型相比,几个ABA反应基因在ALKBH10B突变体中的表达上调,表明ALKBH10B对ABA信号传导产生负面影响。此外,m6A测序表明,包括ABI1、ABI2、PYL4、PYL5和PYL8在内的ABA信号基因在ABA处理后的ALKBH10B突变体中m6A甲基化程度更高。综上所述,我们的研究表明ALKBH10B在拟南芥种子萌发期间对ABA反应起负调控作用。