Suppr超能文献

测试益生菌和益生元联合使用对口服给予幼鼠丙酸神经毒性作用的影响。

Testing the combined effects of probiotics and prebiotics against neurotoxic effects of propionic acid orally administered to rat pups.

作者信息

Al Suhaibani Anwar, Ben Bacha Abir, Alonazi Mona, Bhat Ramesa Shafi, El-Ansary Afaf

机构信息

Biochemistry Department Science College King Saud University Riyadh Saudi Arabia.

Laboratory of Plant Biotechnology Applied to Crop Improvement Faculty of Science of Sfax University of Sfax Sfax Tunisia.

出版信息

Food Sci Nutr. 2021 Jun 23;9(8):4440-4451. doi: 10.1002/fsn3.2418. eCollection 2021 Aug.

Abstract

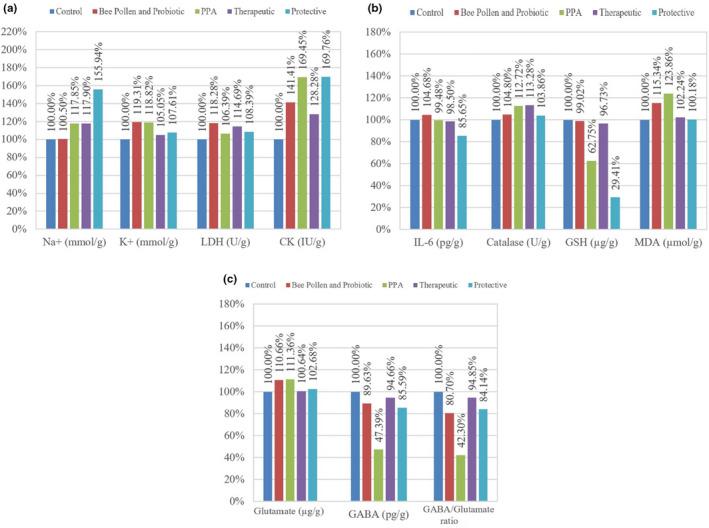
The present study investigated the combined effects of mixed probiotic and bee pollen on brain intoxication induced by propionic acid (PPA) in rat pups. Thirty western albino rats were divided into five groups, six animals each: (1) Control group receiving phosphate-buffered saline; (2) Probiotic and bee pollen-treated group being administered at the same dose with 200 mg/kg body weight; (c) PPA-treated group receiving a neurotoxic dose 250 mg/kg body weight of PPA for 3 days; (d) Therapeutic group being administered the neurotoxic dose of PPA followed by probiotic and bee pollen treatment 200 mg/kg body weight; (e) Protective group receiving probiotic and bee pollen mixture treatment followed by neurotoxic dose of PPA. Selected biochemical parameters linked to oxidative stress, energy metabolism, and neurotransmission were investigated in brain homogenates from all the five groups. PPA treatment showed an increase in oxidative stress markers like lipid peroxidation coupled with a significant decrease in glutathione level. Impaired energy metabolism was ascertained via the alteration of creatine kinase (CK) and lactate dehydrogenase (LDH) activities. Dramatic increase of Na and K concentrations together with a decrease of GABA and IL-6 and an elevation of glutamate levels in PPA-treated rat's pups confirmed the neurotoxicity effect of PPA. Interestingly, the mixed probiotic and bee pollen treatment were effective in restoring the levels of glutamate, GABA, and IL-6 in addition to normalizing the levels of lipid peroxidation and glutathione and the activities of CK and LDH. The present study indicates that mixed probiotic and bee pollen treatment can improve poor detoxification, oxidative stress, and neuroinflammation as mechanisms implicated in the etiology of autism.

摘要

本研究调查了混合益生菌和蜂花粉对丙酸(PPA)诱导的幼鼠脑中毒的联合作用。30只西部白化大鼠被分为五组,每组6只动物:(1)对照组接受磷酸盐缓冲盐水;(2)益生菌和蜂花粉治疗组以200mg/kg体重的相同剂量给药;(c)PPA治疗组接受250mg/kg体重的神经毒性剂量的PPA,持续3天;(d)治疗组先接受神经毒性剂量的PPA,然后以200mg/kg体重进行益生菌和蜂花粉治疗;(e)保护组先接受益生菌和蜂花粉混合物治疗,然后接受神经毒性剂量的PPA。在所有五组动物的脑匀浆中研究了与氧化应激、能量代谢和神经传递相关的选定生化参数。PPA处理显示氧化应激标志物如脂质过氧化增加,同时谷胱甘肽水平显著降低。通过肌酸激酶(CK)和乳酸脱氢酶(LDH)活性的改变确定能量代谢受损。PPA处理的幼鼠中Na和K浓度显著增加,同时GABA和IL-6减少,谷氨酸水平升高,证实了PPA的神经毒性作用。有趣的是,混合益生菌和蜂花粉处理除了能使脂质过氧化、谷胱甘肽水平以及CK和LDH活性恢复正常外,还能有效恢复谷氨酸、GABA和IL-6的水平。本研究表明,混合益生菌和蜂花粉处理可以改善排毒不良、氧化应激和神经炎症,这些都是自闭症病因中涉及的机制。

https://cdn.ncbi.nlm.nih.gov/pmc/blobs/d00f/8358352/062306e0f365/FSN3-9-4440-g001.jpg

文献AI研究员

20分钟写一篇综述,助力文献阅读效率提升50倍。

立即体验

用中文搜PubMed

大模型驱动的PubMed中文搜索引擎

马上搜索

文档翻译

学术文献翻译模型,支持多种主流文档格式。

立即体验