Dipartimento di Scienze Statistiche, Sapienza University of Rome, Piazzale Aldo Moro 5, 00185 Rome, Italy.
Int J Environ Res Public Health. 2021 Aug 20;18(16):8816. doi: 10.3390/ijerph18168816.
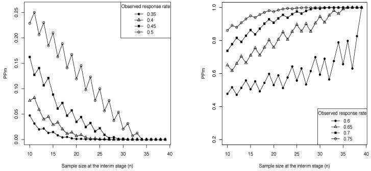
In clinical trials, futility rules are widely used to monitor the study while it is in progress, with the aim of ensuring early termination if the experimental treatment is unlikely to provide the desired level of efficacy. In this paper, we focus on Bayesian strategies to perform interim analyses in single-arm trials based on a binary response variable. Designs that exploit both posterior and predictive probabilities are described and a slight modification of the futility rules is introduced when a fixed historical response rate is used, in order to add uncertainty in the efficacy probability of the standard treatment through the use of prior distributions. The stopping boundaries of the designs are compared under the same trial settings and simulation studies are performed to evaluate the operating characteristics when analogous procedures are used to calibrate the probability cut-offs of the different decision rules.
在临床试验中,无效性规则被广泛用于在研究进行过程中进行监测,目的是如果实验治疗不太可能提供所需的疗效水平,则尽早终止研究。在本文中,我们专注于基于二分类响应变量的单臂试验中的贝叶斯策略来进行中期分析。描述了利用后验概率和预测概率的设计,并在使用固定历史响应率时引入了对无效性规则的轻微修改,以便通过使用先验分布来增加标准治疗效果概率的不确定性。在相同的试验设置下比较设计的停止边界,并进行模拟研究,以评估在使用类似程序来校准不同决策规则的概率截止值时的操作特性。