Suppr超能文献

2019冠状病毒病影响家庭的旅行计划中断情况(COVHITS)调查:2020年秋季调查周期的经验教训

COVid-19 influenced households' Interrupted Travel Schedules (COVHITS) survey: Lessons from the fall 2020 cycle.

作者信息

Wang Kaili, Liu Yicong, Mashrur Sk Md, Loa Patrick, Habib Khandker Nurul

机构信息

Department of Civil & Mineral Engineering, University of Toronto, Toronto, ON, Canada.

Percy Edward Hart Professor in Civil & Mineral Engineering, University of Toronto, Toronto, ON, Canada.

出版信息

Transp Policy (Oxf). 2021 Oct;112:43-62. doi: 10.1016/j.tranpol.2021.08.009. Epub 2021 Aug 19.

Abstract

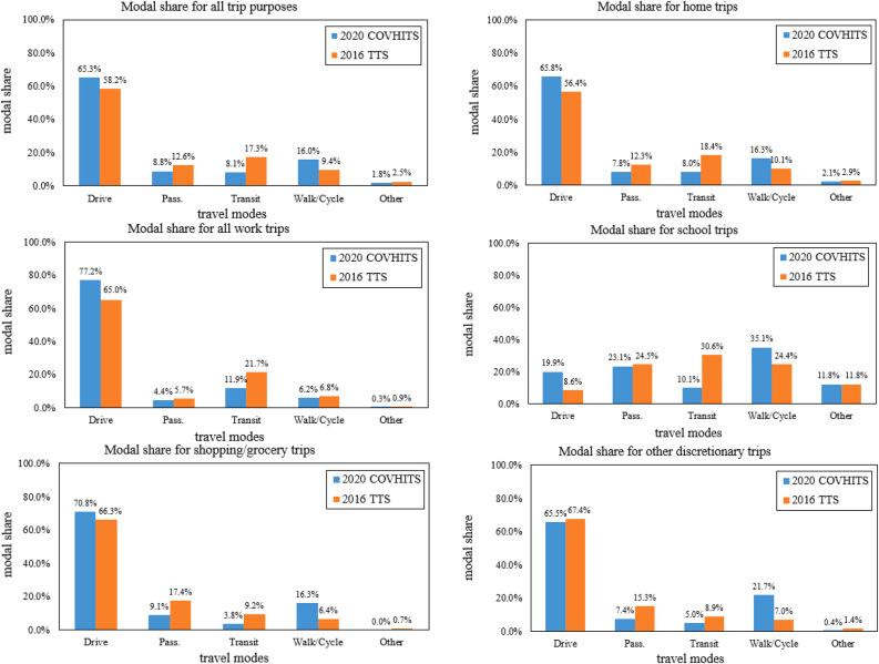
The spread of the novel coronavirus disease-2019 (COVID-19) since early in 2020 has affected every aspect of daily life, including urban passenger travel patterns. Lockdowns to control the spread of COVID-19 created unprecedented travel demand contexts that have never been seen in modern history. So, it is essential to benchmark trends of travel behaviour, especially people's daily travel patterns that are necessary to develop a comprehensive understanding of the impacts of COVID-19. A multi-cycle benchmarking household travel study: the COVid-19 influenced Households' Interrupted Travel Schedules (COVHITS) Survey was implemented in the Greater Toronto Area with a random sample of over 4000 households. The results indicated a stark alteration in people's daily activity-travel patterns due to COVID-19. The pandemic caused a substantial decline in mobility in the study area. The average weekday household trip rate dropped from 5.2 to 2.0 trips. Transit modal shares suffered severely during the paramedic, while private car dependency was enhanced. Overall, transit modal share dropped from 17.3% to 8.1% in the study area, while the modal share of private cars increased from 70.8% to 74.1%. Factors such as having to work from home, ownership of private cars, and household incomes influenced mobility levels of the people in the study area during the pandemic. While overlooked, travel demand analysis can reveal effective strategies to curb the spread of such contagious diseases. An econometric model and analysis of sample data reveal several potential strategies. These include: (1) working/learning from home should be implemented until the end of the pandemic; (2) transit agencies should provide as much transit frequency as possible (particularly for bus routes) during peak hours to avoid crowding inside transit vehicles and project a positive image of public transit; and (3) strict restrictions should be implemented in regions with lower confirmed COVID-19 cases, as they became attractive destinations during the pandemic.

摘要

自2020年初以来,新型冠状病毒肺炎(COVID-19)的传播影响了日常生活的方方面面,包括城市客运出行模式。为控制COVID-19传播而实施的封锁创造了现代历史上前所未有的出行需求背景。因此,对出行行为趋势进行基准分析至关重要,尤其是人们的日常出行模式,这对于全面了解COVID-19的影响必不可少。一项多周期基准家庭出行研究:COVID-19影响家庭中断出行计划(COVHITS)调查在大多伦多地区对4000多个家庭进行了随机抽样。结果表明,由于COVID-19,人们的日常活动出行模式发生了显著变化。疫情导致研究区域内的出行率大幅下降。工作日家庭平均出行次数从5.2次降至2.0次。在医护期间,公共交通方式分担率严重下降,而私家车依赖度增强。总体而言,研究区域内公共交通方式分担率从17.3%降至8.1%,而私家车方式分担率从70.8%增至74.1%。在家工作、私家车拥有情况和家庭收入等因素影响了疫情期间研究区域内人们的出行水平。虽然被忽视,但出行需求分析可以揭示遏制此类传染病传播的有效策略。计量经济模型和样本数据分析揭示了几种潜在策略。这些策略包括:(1)在疫情结束前应实施在家工作/学习;(2)公共交通机构应在高峰时段尽可能增加公共交通频次(特别是公交线路),以避免公共交通车内拥挤,并树立公共交通的正面形象;(3)在COVID-19确诊病例较少的地区应实施严格限制措施,因为这些地区在疫情期间成为了有吸引力的目的地。

https://cdn.ncbi.nlm.nih.gov/pmc/blobs/666e/8376120/98d9a609dc59/gr1_lrg.jpg

文献AI研究员

20分钟写一篇综述,助力文献阅读效率提升50倍。

立即体验

用中文搜PubMed

大模型驱动的PubMed中文搜索引擎

马上搜索

文档翻译

学术文献翻译模型,支持多种主流文档格式。

立即体验