Suppr超能文献

COVID-19 对乌干达坎帕拉母婴、新生儿、儿童、性健康和生殖健康服务的间接影响。

Indirect effects of COVID-19 on maternal, neonatal, child, sexual and reproductive health services in Kampala, Uganda.

机构信息

School of Medicine, University of Leeds, Leeds, UK.

Makerere University Johns Hopkins University, Kampala, Uganda.

出版信息

BMJ Glob Health. 2021 Aug;6(8). doi: 10.1136/bmjgh-2021-006102.

Abstract

BACKGROUND

COVID-19 impacted global maternal, neonatal and child health outcomes. We hypothesised that the early, strict lockdown that restricted individuals' movements in Uganda limited access to services.

METHODS

An observational study, using routinely collected data from Electronic Medical Records, was carried out, in Kawempe district, Kampala. An interrupted time series analysis assessed the impact on maternal, neonatal, child, sexual and reproductive health services from July 2019 to December 2020. Descriptive statistics summarised the main outcomes before (July 2019-March 2020), during (April 2020-June 2020) and after the national lockdown (July 2020-December 2020).

RESULTS

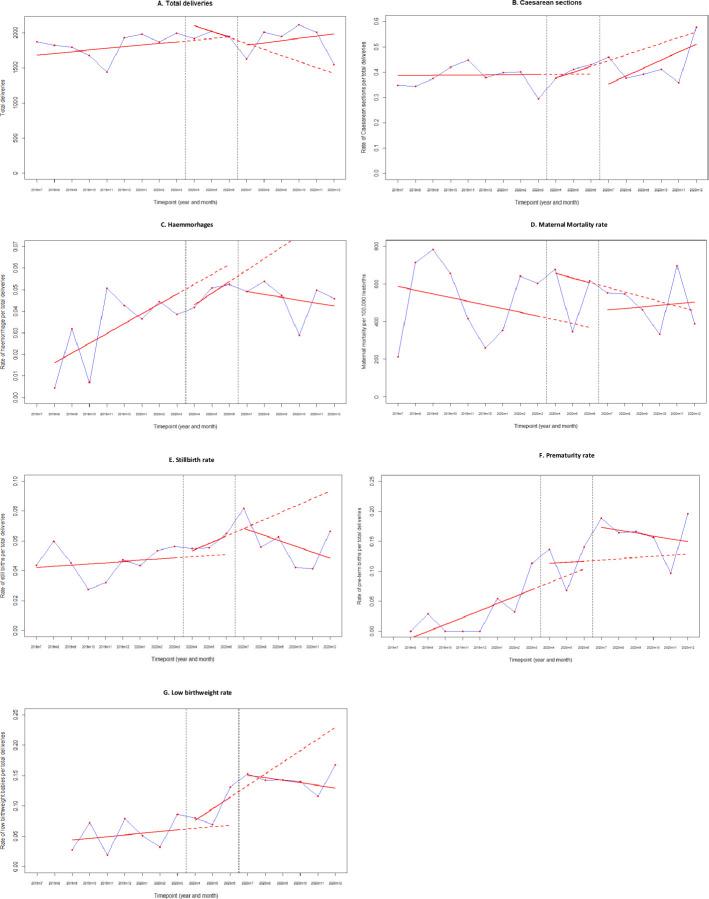
Between 1 July 2019 and 31 December 2020, there were 14 401 antenatal clinic, 33 499 deliveries, 111 658 childhood service and 57 174 sexual health attendances. All antenatal and vaccination services ceased in lockdown for 4 weeks.During the 3-month lockdown, the number of antenatal attendances significantly decreased and remain below pre-COVID levels (370 fewer/month). Attendances for prevention of mother-to-child transmission of HIV dropped then stabilised. Increases during lockdown and immediately postlockdown included the number of women treated for high blood pressure, eclampsia and pre-eclampsia (218 more/month), adverse pregnancy outcomes (stillbirths, low-birth-weight and premature infant births), the rate of neonatal unit admissions, neonatal deaths and abortions. Maternal mortality remained stable. Immunisation clinic attendance declined while neonatal death rate rose (from 39 to 49/1000 livebirths). The number of children treated for pneumonia, diarrhoea and malaria decreased during lockdown.

CONCLUSION

The Ugandan response to COVID-19 negatively impacted maternal, child and neonatal health, with an increase seen in pregnancy complications and fetal and infant outcomes, likely due to delayed care-seeking behaviour. Decreased vaccination clinic attendance leaves a cohort of infants unprotected, affecting all vaccine-preventable diseases. Future pandemic responses must consider impacts of movement restrictions and access to preventative services to protect maternal and child health.

摘要

背景

COVID-19 对全球孕产妇、新生儿和儿童健康产生了影响。我们假设,在乌干达实施的严格限制个人行动的早期封锁限制了服务的获取。

方法

在坎帕拉的卡文佩区进行了一项观察性研究,使用电子病历中常规收集的数据。一项中断时间序列分析评估了 2019 年 7 月至 2020 年 12 月期间对孕产妇、新生儿、儿童、性健康和生殖健康服务的影响。描述性统计总结了在全国封锁之前(2019 年 7 月至 2020 年 3 月)、期间(2020 年 4 月至 2020 年 6 月)和之后(2020 年 7 月至 2020 年 12 月)的主要结果。

结果

在 2019 年 7 月 1 日至 2020 年 12 月 31 日期间,有 14401 名孕妇接受了产前检查,33499 名产妇分娩,111658 名儿童接受了服务,57174 名妇女接受了性健康检查。所有的产前检查和疫苗接种服务在封锁期间停止了 4 周。在 3 个月的封锁期间,产前检查的数量明显减少,并且仍然低于 COVID 之前的水平(每月减少 370 次)。预防母婴传播艾滋病毒的服务有所下降,然后趋于稳定。封锁期间和封锁后立即增加的包括高血压、子痫前期和子痫的治疗人数(每月增加 218 人)、不良妊娠结局(死产、低出生体重和早产)、新生儿病房入院率、新生儿死亡率和堕胎率。孕产妇死亡率保持稳定。免疫接种门诊就诊人数下降,而新生儿死亡率上升(从每 1000 例活产 39 例上升至 49 例)。接受肺炎、腹泻和疟疾治疗的儿童人数在封锁期间减少。

结论

乌干达对 COVID-19 的反应对孕产妇、儿童和新生儿健康产生了负面影响,妊娠并发症和胎儿及婴儿结局增加,可能是由于寻求护理的行为推迟所致。疫苗接种门诊就诊人数减少,使一批婴儿无法得到保护,影响所有疫苗可预防的疾病。未来的大流行应对措施必须考虑到行动限制和获得预防服务的影响,以保护孕产妇和儿童健康。

https://cdn.ncbi.nlm.nih.gov/pmc/blobs/2cfd/8406460/cb42a04b597e/bmjgh-2021-006102f01.jpg

文献检索

告别复杂PubMed语法,用中文像聊天一样搜索,搜遍4000万医学文献。AI智能推荐,让科研检索更轻松。

立即免费搜索

文件翻译

保留排版,准确专业,支持PDF/Word/PPT等文件格式,支持 12+语言互译。

免费翻译文档

深度研究

AI帮你快速写综述,25分钟生成高质量综述,智能提取关键信息,辅助科研写作。

立即免费体验