Suppr超能文献

世界卫生组织的生长标准对西班牙儿童是否有效?SONEV研究。

Are the Growth Standards of the World Health Organization Valid for Spanish Children? The SONEV Study.

作者信息

Pérez-Bermejo Marcelino, Alcalá-Dávalos Luisa, Pérez-Murillo Javier, Legidos-García Maria Ester, Murillo-Llorente Maria Teresa

机构信息

SONEV Research Group (Overweight, Obesity, Nutrition and Lifestyles), School of Medicine and Health Sciences, Catholic University of Valencia San Vicente Mártir, Valencia, Spain.

出版信息

Front Pediatr. 2021 Aug 16;9:700748. doi: 10.3389/fped.2021.700748. eCollection 2021.

Abstract

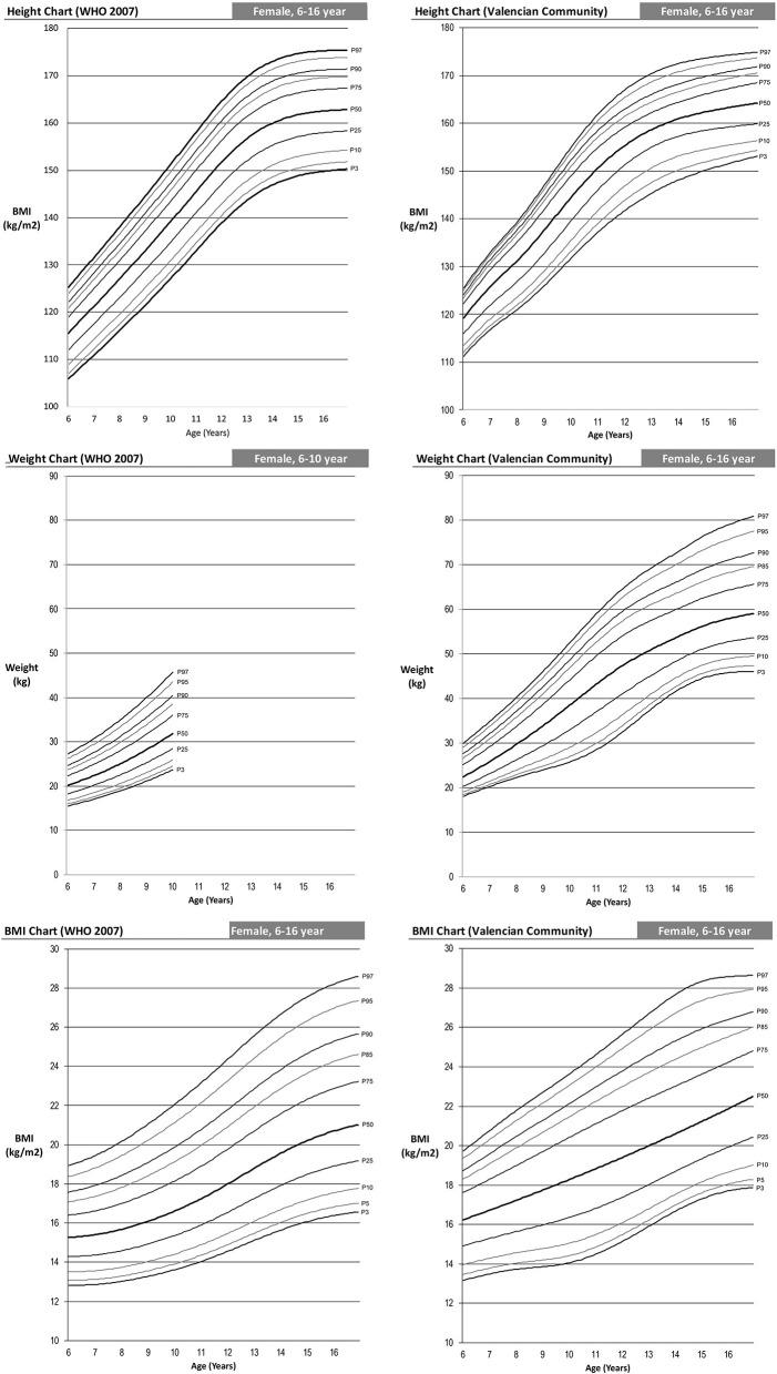
The use of different growth tables to assess the population's nutritional status has given rise to a series of limitations arising from the lack of consensus and uniform methodological criteria. This leads to a disparity of results that prevent an accurate and reliable diagnosis of whether a child is overweight or obese. The purpose of this study was to develop growth references for weight, height, and body mass index for Eastern-Spanish children from 6 to 16 years of age. The final sample used to fit the growth curves was made up of 1,102 observations. The 2007 WHO curves are currently used for Child Health Service Cards. Therefore, to make the comparison of the internal values obtained as realistic as possible, the same construction method has been used for the internal curves, modeling age as a continuous variable and simultaneously adjusting the curves, smoothing them using cubic splines and further smoothing the edge effects by means of data extending above or below the upper and lower age limits. Growth curves for percentiles were constructed for both sexes and higher values were noticeably found to set as growth-standard compared to WHO-standards. Our analysis shows that the WHO 2007 standard references are not suitable for Eastern-Spanish children. The standards shown in this study are much more realistic and current, and we believe that their use will help healthcare professionals more effectively combat the current epidemic of overweight and obesity.

摘要

使用不同的生长发育表来评估人群的营养状况,由于缺乏共识和统一的方法学标准而产生了一系列局限性。这导致结果存在差异,妨碍了对儿童是否超重或肥胖进行准确可靠的诊断。本研究的目的是为6至16岁的西班牙东部儿童制定体重、身高和体重指数的生长发育参考标准。用于拟合生长曲线的最终样本由1102个观测值组成。目前,儿童健康服务卡使用的是2007年世界卫生组织的曲线。因此,为了使所获得的内部值尽可能具有现实可比性,内部曲线采用了相同的构建方法,将年龄建模为连续变量并同时调整曲线,使用三次样条函数对其进行平滑处理,并通过在年龄上限和下限之上或之下扩展数据来进一步平滑边缘效应。为男女两性构建了百分位数生长曲线,与世界卫生组织标准相比,明显发现较高的值被设定为生长标准。我们的分析表明,2007年世界卫生组织的标准参考值不适用于西班牙东部儿童。本研究中所示的标准更加现实和与时俱进,我们相信其使用将有助于医疗保健专业人员更有效地应对当前的超重和肥胖流行问题。

https://cdn.ncbi.nlm.nih.gov/pmc/blobs/b0fb/8418137/0620bda6821f/fped-09-700748-g0001.jpg

文献检索

告别复杂PubMed语法,用中文像聊天一样搜索,搜遍4000万医学文献。AI智能推荐,让科研检索更轻松。

立即免费搜索

文件翻译

保留排版,准确专业,支持PDF/Word/PPT等文件格式,支持 12+语言互译。

免费翻译文档

深度研究

AI帮你快速写综述,25分钟生成高质量综述,智能提取关键信息,辅助科研写作。

立即免费体验