• 文献检索
  • 文档翻译
  • 深度研究
  • 学术资讯
  • Suppr Zotero 插件Zotero 插件
  • 邀请有礼
  • 套餐&价格
  • 历史记录
应用&插件
Suppr Zotero 插件Zotero 插件浏览器插件Mac 客户端Windows 客户端微信小程序
定价
高级版会员购买积分包购买API积分包
服务
文献检索文档翻译深度研究API 文档MCP 服务
关于我们
关于 Suppr公司介绍联系我们用户协议隐私条款
关注我们

Suppr 超能文献

核心技术专利:CN118964589B侵权必究
粤ICP备2023148730 号-1Suppr @ 2026

文献检索

告别复杂PubMed语法,用中文像聊天一样搜索,搜遍4000万医学文献。AI智能推荐,让科研检索更轻松。

立即免费搜索

文件翻译

保留排版,准确专业,支持PDF/Word/PPT等文件格式,支持 12+语言互译。

免费翻译文档

深度研究

AI帮你快速写综述,25分钟生成高质量综述,智能提取关键信息,辅助科研写作。

立即免费体验

一种考虑时间、成本和不确定性影响的框架,用于确定毒性测试方法的成本效益。

A Framework that Considers the Impacts of Time, Cost, and Uncertainty in the Determination of the Cost Effectiveness of Toxicity-Testing Methodologies.

机构信息

Center for Computational Toxicology and Exposure, US Environmental Protection Agency, Research Triangle Park, Durham, NC, USA.

Air, Climate, and Energy Research Program, US Environmental Protection Agency, Research Triangle Park, Durham, NC, USA.

出版信息

Risk Anal. 2022 Apr;42(4):707-729. doi: 10.1111/risa.13810. Epub 2021 Sep 7.

DOI:10.1111/risa.13810
PMID:34490933
原文链接:https://pmc.ncbi.nlm.nih.gov/articles/PMC9290960/
Abstract

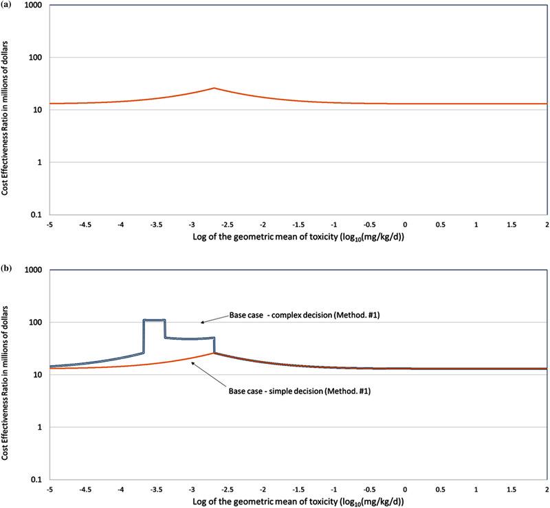
Regulatory agencies are required to evaluate the impacts of thousands of chemicals. Toxicological tests currently used in such evaluations are time-consuming and resource intensive; however, advances in toxicology and related fields are providing new testing methodologies that reduce the cost and time required for testing. The selection of a preferred methodology is challenging because the new methodologies vary in duration and cost, and the data they generate vary in the level of uncertainty. This article presents a framework for performing cost-effectiveness analyses (CEAs) of toxicity tests that account for cost, duration, and uncertainty. This is achieved by using an output metric-the cost per correct regulatory decision-that reflects the three elements. The framework is demonstrated in two example CEAs, one for a simple decision of risk acceptability and a second, more complex decision, involving the selection of regulatory actions. Each example CEA evaluates five hypothetical toxicity-testing methodologies which differ with respect to cost, time, and uncertainty. The results of the examples indicate that either a fivefold reduction in cost or duration can be a larger driver of the selection of an optimal toxicity-testing methodology than a fivefold reduction in uncertainty. Uncertainty becomes of similar importance to cost and duration when decisionmakers are required to make more complex decisions that require the determination of small differences in risk predictions. The framework presented in this article may provide a useful basis for the identification of cost-effective methods for toxicity testing of large numbers of chemicals.

摘要

监管机构需要评估数千种化学物质的影响。目前在这些评估中使用的毒理学测试既耗时又耗资源;然而,毒理学和相关领域的进步正在提供新的测试方法,这些方法可以降低测试的成本和时间。选择首选方法具有挑战性,因为新方法在持续时间和成本上有所不同,并且它们生成的数据在不确定性水平上也有所不同。本文提出了一种用于进行毒性测试成本效益分析(CEA)的框架,该框架考虑了成本、持续时间和不确定性。这是通过使用输出指标(每个正确监管决策的成本)来实现的,该指标反映了这三个要素。该框架在两个示例 CEA 中进行了演示,一个是简单的风险可接受性决策,另一个是更复杂的决策,涉及监管行动的选择。每个示例 CEA 评估了五种具有不同成本、时间和不确定性的假设毒性测试方法。结果表明,与不确定性降低五倍相比,成本或持续时间降低五倍可以更有效地选择最佳毒性测试方法。当决策者需要做出更复杂的决策,需要确定风险预测中的微小差异时,不确定性与成本和持续时间的重要性相当。本文提出的框架可能为识别大量化学品毒性测试的成本效益方法提供有用的基础。

https://cdn.ncbi.nlm.nih.gov/pmc/blobs/75af/9290960/3c8124468644/RISA-42-707-g002.jpg
https://cdn.ncbi.nlm.nih.gov/pmc/blobs/75af/9290960/72710e0b47ba/RISA-42-707-g005.jpg
https://cdn.ncbi.nlm.nih.gov/pmc/blobs/75af/9290960/805ff44eecb6/RISA-42-707-g004.jpg
https://cdn.ncbi.nlm.nih.gov/pmc/blobs/75af/9290960/dbbabcba591b/RISA-42-707-g003.jpg
https://cdn.ncbi.nlm.nih.gov/pmc/blobs/75af/9290960/0b1e9c94f367/RISA-42-707-g001.jpg
https://cdn.ncbi.nlm.nih.gov/pmc/blobs/75af/9290960/3c8124468644/RISA-42-707-g002.jpg
https://cdn.ncbi.nlm.nih.gov/pmc/blobs/75af/9290960/72710e0b47ba/RISA-42-707-g005.jpg
https://cdn.ncbi.nlm.nih.gov/pmc/blobs/75af/9290960/805ff44eecb6/RISA-42-707-g004.jpg
https://cdn.ncbi.nlm.nih.gov/pmc/blobs/75af/9290960/dbbabcba591b/RISA-42-707-g003.jpg
https://cdn.ncbi.nlm.nih.gov/pmc/blobs/75af/9290960/0b1e9c94f367/RISA-42-707-g001.jpg
https://cdn.ncbi.nlm.nih.gov/pmc/blobs/75af/9290960/3c8124468644/RISA-42-707-g002.jpg

相似文献

1
A Framework that Considers the Impacts of Time, Cost, and Uncertainty in the Determination of the Cost Effectiveness of Toxicity-Testing Methodologies.一种考虑时间、成本和不确定性影响的框架,用于确定毒性测试方法的成本效益。
Risk Anal. 2022 Apr;42(4):707-729. doi: 10.1111/risa.13810. Epub 2021 Sep 7.
2
A value of information framework for assessing the trade-offs associated with uncertainty, duration, and cost of chemical toxicity testing.一种用于评估化学毒性测试的不确定性、持续时间和成本相关权衡的信息价值框架。
Risk Anal. 2023 Mar;43(3):498-515. doi: 10.1111/risa.13931. Epub 2022 Apr 22.
3
When is enough evidence enough? - Using systematic decision analysis and value-of-information analysis to determine the need for further evidence.多少证据才算足够?——运用系统决策分析和信息价值分析来确定是否需要更多证据。
Z Evid Fortbild Qual Gesundhwes. 2013;107(9-10):575-84. doi: 10.1016/j.zefq.2013.10.020. Epub 2013 Nov 12.
4
A rapid and systematic review of the clinical effectiveness and cost-effectiveness of topotecan for ovarian cancer.拓扑替康治疗卵巢癌的临床有效性和成本效益的快速系统评价。
Health Technol Assess. 2001;5(28):1-110. doi: 10.3310/hta5280.
5
A Value-of-Information Framework for Personalizing the Timing of Surveillance Testing.用于个性化监测测试时间的信息价值框架。
Med Decis Making. 2022 May;42(4):474-486. doi: 10.1177/0272989X211049213. Epub 2021 Nov 7.
6
The cost-effectiveness of testing for hepatitis C in former injecting drug users.对曾经注射吸毒者进行丙型肝炎检测的成本效益分析。
Health Technol Assess. 2006 Sep;10(32):iii-iv, ix-xii, 1-93. doi: 10.3310/hta10320.
7
Communicating uncertainty in economic evaluations: verifying optimal strategies.在经济评估中传达不确定性:验证最优策略。
Med Decis Making. 2012 May-Jun;32(3):477-87. doi: 10.1177/0272989X12436725. Epub 2012 Feb 28.
8
Cost-effectiveness analyses of vaccination programmes : a focused review of modelling approaches.疫苗接种计划的成本效益分析:建模方法的重点综述
Pharmacoeconomics. 2008;26(3):191-215. doi: 10.2165/00019053-200826030-00004.
9
Incorporating uncertainty and risk into decision making to reduce nitrogen inputs to impaired waters.将不确定性和风险纳入决策中,以减少对受损水域的氮输入。
J Environ Manage. 2019 Nov 1;249:109380. doi: 10.1016/j.jenvman.2019.109380. Epub 2019 Aug 18.
10
Multi-gene Pharmacogenomic Testing That Includes Decision-Support Tools to Guide Medication Selection for Major Depression: A Health Technology Assessment.多基因药物基因组学检测,包括用于指导抗抑郁药物选择的决策支持工具:一项卫生技术评估。
Ont Health Technol Assess Ser. 2021 Aug 12;21(13):1-214. eCollection 2021.

引用本文的文献

1
A Review of the Applications, Benefits, and Challenges of Generative AI for Sustainable Toxicology.生成式人工智能在可持续毒理学中的应用、益处及挑战综述
Curr Res Toxicol. 2025 Apr 21;8:100232. doi: 10.1016/j.crtox.2025.100232. eCollection 2025.
2
A tiered testing strategy based on in vitro phenotypic and transcriptomic data for selecting representative petroleum UVCBs for toxicity evaluation in vivo.基于体外表型和转录组数据的分层测试策略,用于选择具有代表性的石油 UVCB 进行体内毒性评估。
Toxicol Sci. 2023 May 31;193(2):219-233. doi: 10.1093/toxsci/kfad041.
3
Bioactive limonoids from seeds oil and the sustainable use of its by-products.

本文引用的文献

1
Application of a combined aggregate exposure pathway and adverse outcome pathway (AEP-AOP) approach to inform a cumulative risk assessment: A case study with phthalates.应用综合暴露途径与不良结局途径(AEP-AOP)方法为累积风险评估提供信息:邻苯二甲酸盐的案例研究
Toxicol In Vitro. 2020 Aug;66:104855. doi: 10.1016/j.tiv.2020.104855. Epub 2020 Apr 8.
2
Toward a Global Understanding of Chemical Pollution: A First Comprehensive Analysis of National and Regional Chemical Inventories.迈向全球化学污染认识:国家和地区化学物质清单的首次全面分析。
Environ Sci Technol. 2020 Mar 3;54(5):2575-2584. doi: 10.1021/acs.est.9b06379. Epub 2020 Feb 14.
3
来自种子油的生物活性柠檬苦素及其副产品的可持续利用。
Curr Res Toxicol. 2023 Mar 20;4:100104. doi: 10.1016/j.crtox.2023.100104. eCollection 2023.
4
Development of an Evidence-Based Risk Assessment Framework.基于证据的风险评估框架的制定。
ALTEX. 2022;39(4):667-693. doi: 10.14573/altex.2004041. Epub 2022 Sep 1.
5
A value of information framework for assessing the trade-offs associated with uncertainty, duration, and cost of chemical toxicity testing.一种用于评估化学毒性测试的不确定性、持续时间和成本相关权衡的信息价值框架。
Risk Anal. 2023 Mar;43(3):498-515. doi: 10.1111/risa.13931. Epub 2022 Apr 22.
Toxicity testing in the 21st century: progress in the past decade and future perspectives.
二十一世纪的毒性测试:过去十年的进展与未来展望。
Arch Toxicol. 2020 Jan;94(1):1-58. doi: 10.1007/s00204-019-02613-4. Epub 2019 Dec 17.
4
Reducing the need for animal testing while increasing efficiency in a pesticide regulatory setting: Lessons from the EPA Office of Pesticide Programs' Hazard and Science Policy Council.减少动物测试需求,同时提高农药监管环境中的效率:来自美国环保署农药计划署危害和科学政策委员会的经验教训。
Regul Toxicol Pharmacol. 2019 Nov;108:104481. doi: 10.1016/j.yrtph.2019.104481. Epub 2019 Sep 20.
5
Hexabromocyclododecane (HBCD): A case study applying tiered testing for human health risk assessment.六溴环十二烷(HBCD):应用分层测试进行人类健康风险评估的案例研究。
Food Chem Toxicol. 2019 Sep;131:110581. doi: 10.1016/j.fct.2019.110581. Epub 2019 Jun 13.
6
Exploring current read-across applications and needs among selected U.S. Federal Agencies.探索美国选定联邦机构中当前的阅读交叉应用和需求。
Regul Toxicol Pharmacol. 2019 Aug;106:197-209. doi: 10.1016/j.yrtph.2019.05.011. Epub 2019 May 10.
7
The Next Generation Blueprint of Computational Toxicology at the U.S. Environmental Protection Agency.美国环境保护署计算毒理学的下一代蓝图。
Toxicol Sci. 2019 Jun 1;169(2):317-332. doi: 10.1093/toxsci/kfz058.
8
Beyond the RfD: Broad Application of a Probabilistic Approach to Improve Chemical Dose-Response Assessments for Noncancer Effects.超越 RfD:广泛应用概率方法改善非致癌效应的化学剂量-反应评估。
Environ Health Perspect. 2018 Jun 28;126(6):067009. doi: 10.1289/EHP3368. eCollection 2018 Jun.
9
Conditional Toxicity Value (CTV) Predictor: An Approach for Generating Quantitative Risk Estimates for Chemicals.条件毒性值(CTV)预测器:一种生成化学品定量风险估计的方法。
Environ Health Perspect. 2018 May 29;126(5):057008. doi: 10.1289/EHP2998. eCollection 2018 May.
10
A Case Study Application of the Aggregate Exposure Pathway (AEP) and Adverse Outcome Pathway (AOP) Frameworks to Facilitate the Integration of Human Health and Ecological End Points for Cumulative Risk Assessment (CRA).综合暴露途径 (AEP) 和不良结局途径 (AOP) 框架在促进人类健康和生态终点综合用于累积风险评估 (CRA) 中的案例研究应用。
Environ Sci Technol. 2018 Jan 16;52(2):839-849. doi: 10.1021/acs.est.7b04940. Epub 2017 Dec 29.