• 文献检索
  • 文档翻译
  • 深度研究
  • 学术资讯
  • Suppr Zotero 插件Zotero 插件
  • 邀请有礼
  • 套餐&价格
  • 历史记录
应用&插件
Suppr Zotero 插件Zotero 插件浏览器插件Mac 客户端Windows 客户端微信小程序
定价
高级版会员购买积分包购买API积分包
服务
文献检索文档翻译深度研究API 文档MCP 服务
关于我们
关于 Suppr公司介绍联系我们用户协议隐私条款
关注我们

Suppr 超能文献

核心技术专利:CN118964589B侵权必究
粤ICP备2023148730 号-1Suppr @ 2026

文献检索

告别复杂PubMed语法,用中文像聊天一样搜索,搜遍4000万医学文献。AI智能推荐,让科研检索更轻松。

立即免费搜索

文件翻译

保留排版,准确专业,支持PDF/Word/PPT等文件格式,支持 12+语言互译。

免费翻译文档

深度研究

AI帮你快速写综述,25分钟生成高质量综述,智能提取关键信息,辅助科研写作。

立即免费体验

一种基于图形的细胞追踪算法,具有少量可手动调整的参数和自动分割误差校正功能。

A graph-based cell tracking algorithm with few manually tunable parameters and automated segmentation error correction.

作者信息

Löffler Katharina, Scherr Tim, Mikut Ralf

机构信息

Institute for Automation and Applied Informatics, Karlsruhe Institute of Technology, Eggenstein-Leopoldshafen, Germany.

Institute of Biological and Chemical Systems - Biological Information Processing, Karlsruhe Institute of Technology, Eggenstein-Leopoldshafen, Germany.

出版信息

PLoS One. 2021 Sep 7;16(9):e0249257. doi: 10.1371/journal.pone.0249257. eCollection 2021.

DOI:10.1371/journal.pone.0249257
PMID:34492015
原文链接:https://pmc.ncbi.nlm.nih.gov/articles/PMC8423278/
Abstract

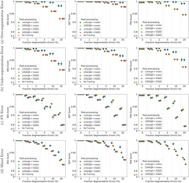
Automatic cell segmentation and tracking enables to gain quantitative insights into the processes driving cell migration. To investigate new data with minimal manual effort, cell tracking algorithms should be easy to apply and reduce manual curation time by providing automatic correction of segmentation errors. Current cell tracking algorithms, however, are either easy to apply to new data sets but lack automatic segmentation error correction, or have a vast set of parameters that needs either manual tuning or annotated data for parameter tuning. In this work, we propose a tracking algorithm with only few manually tunable parameters and automatic segmentation error correction. Moreover, no training data is needed. We compare the performance of our approach to three well-performing tracking algorithms from the Cell Tracking Challenge on data sets with simulated, degraded segmentation-including false negatives, over- and under-segmentation errors. Our tracking algorithm can correct false negatives, over- and under-segmentation errors as well as a mixture of the aforementioned segmentation errors. On data sets with under-segmentation errors or a mixture of segmentation errors our approach performs best. Moreover, without requiring additional manual tuning, our approach ranks several times in the top 3 on the 6th edition of the Cell Tracking Challenge.

摘要

自动细胞分割与跟踪有助于深入了解驱动细胞迁移的过程,从而获得定量的见解。为了以最少的人工工作量研究新数据,细胞跟踪算法应易于应用,并通过自动校正分割错误来减少人工处理时间。然而,当前的细胞跟踪算法要么易于应用于新数据集,但缺乏自动分割错误校正功能;要么有大量参数,需要人工调整或使用带注释的数据进行参数调整。在这项工作中,我们提出了一种跟踪算法,该算法只有很少的人工可调参数,并具有自动分割错误校正功能。此外,无需训练数据。我们将我们的方法与细胞跟踪挑战赛中三种性能良好的跟踪算法在包含模拟的、退化的分割(包括假阴性、过度分割和欠分割错误)的数据集上的性能进行了比较。我们的跟踪算法可以校正假阴性、过度分割和欠分割错误以及上述分割错误的混合情况。在存在欠分割错误或分割错误混合的数据集上,我们的方法表现最佳。此外,在无需额外人工调整的情况下,我们的方法在细胞跟踪挑战赛第6版中多次位列前三。

https://cdn.ncbi.nlm.nih.gov/pmc/blobs/e4d4/8423278/c18a04e7a129/pone.0249257.g009.jpg
https://cdn.ncbi.nlm.nih.gov/pmc/blobs/e4d4/8423278/b0328e946952/pone.0249257.g001.jpg
https://cdn.ncbi.nlm.nih.gov/pmc/blobs/e4d4/8423278/dd0cc09fc71a/pone.0249257.g002.jpg
https://cdn.ncbi.nlm.nih.gov/pmc/blobs/e4d4/8423278/21116b96fc06/pone.0249257.g003.jpg
https://cdn.ncbi.nlm.nih.gov/pmc/blobs/e4d4/8423278/7a6b8ab2c929/pone.0249257.g004.jpg
https://cdn.ncbi.nlm.nih.gov/pmc/blobs/e4d4/8423278/ae342544c081/pone.0249257.g005.jpg
https://cdn.ncbi.nlm.nih.gov/pmc/blobs/e4d4/8423278/abf6dc7b6f1e/pone.0249257.g006.jpg
https://cdn.ncbi.nlm.nih.gov/pmc/blobs/e4d4/8423278/1129684d2a03/pone.0249257.g007.jpg
https://cdn.ncbi.nlm.nih.gov/pmc/blobs/e4d4/8423278/95dec63f7d7e/pone.0249257.g008.jpg
https://cdn.ncbi.nlm.nih.gov/pmc/blobs/e4d4/8423278/c18a04e7a129/pone.0249257.g009.jpg
https://cdn.ncbi.nlm.nih.gov/pmc/blobs/e4d4/8423278/b0328e946952/pone.0249257.g001.jpg
https://cdn.ncbi.nlm.nih.gov/pmc/blobs/e4d4/8423278/dd0cc09fc71a/pone.0249257.g002.jpg
https://cdn.ncbi.nlm.nih.gov/pmc/blobs/e4d4/8423278/21116b96fc06/pone.0249257.g003.jpg
https://cdn.ncbi.nlm.nih.gov/pmc/blobs/e4d4/8423278/7a6b8ab2c929/pone.0249257.g004.jpg
https://cdn.ncbi.nlm.nih.gov/pmc/blobs/e4d4/8423278/ae342544c081/pone.0249257.g005.jpg
https://cdn.ncbi.nlm.nih.gov/pmc/blobs/e4d4/8423278/abf6dc7b6f1e/pone.0249257.g006.jpg
https://cdn.ncbi.nlm.nih.gov/pmc/blobs/e4d4/8423278/1129684d2a03/pone.0249257.g007.jpg
https://cdn.ncbi.nlm.nih.gov/pmc/blobs/e4d4/8423278/95dec63f7d7e/pone.0249257.g008.jpg
https://cdn.ncbi.nlm.nih.gov/pmc/blobs/e4d4/8423278/c18a04e7a129/pone.0249257.g009.jpg

相似文献

1
A graph-based cell tracking algorithm with few manually tunable parameters and automated segmentation error correction.一种基于图形的细胞追踪算法,具有少量可手动调整的参数和自动分割误差校正功能。
PLoS One. 2021 Sep 7;16(9):e0249257. doi: 10.1371/journal.pone.0249257. eCollection 2021.
2
Cell segmentation and tracking using CNN-based distance predictions and a graph-based matching strategy.基于 CNN 距离预测和基于图的匹配策略的细胞分割和跟踪。
PLoS One. 2020 Dec 8;15(12):e0243219. doi: 10.1371/journal.pone.0243219. eCollection 2020.
3
A fully-automated, robust, and versatile algorithm for long-term budding yeast segmentation and tracking.一种全自动、鲁棒且通用的长时酵母出芽分割和追踪算法。
PLoS One. 2019 Mar 27;14(3):e0206395. doi: 10.1371/journal.pone.0206395. eCollection 2019.
4
Active structured learning for cell tracking: algorithm, framework, and usability.主动结构学习的细胞跟踪:算法,框架和可用性。
IEEE Trans Med Imaging. 2014 Apr;33(4):849-60. doi: 10.1109/TMI.2013.2296937.
5
Multi-objective Parameter Auto-tuning for Tissue Image Segmentation Workflows.用于组织图像分割工作流程的多目标参数自动调整
J Digit Imaging. 2019 Jun;32(3):521-533. doi: 10.1007/s10278-018-0138-z.
6
A novel validation algorithm allows for automated cell tracking and the extraction of biologically meaningful parameters.一种新颖的验证算法可实现自动细胞跟踪和提取有生物学意义的参数。
PLoS One. 2011;6(11):e27315. doi: 10.1371/journal.pone.0027315. Epub 2011 Nov 8.
7
Long-term tracking of budding yeast cells in brightfield microscopy: CellStar and the Evaluation Platform.明场显微镜下对芽殖酵母细胞的长期追踪:CellStar及评估平台
J R Soc Interface. 2017 Feb;14(127). doi: 10.1098/rsif.2016.0705.
8
Segmentation, tracking and cell cycle analysis of live-cell imaging data with Cell-ACDC.使用 Cell-ACDC 对活细胞成像数据进行分割、跟踪和细胞周期分析。
BMC Biol. 2022 Aug 5;20(1):174. doi: 10.1186/s12915-022-01372-6.
9
Tracking bacteria at high density with FAST, the Feature-Assisted Segmenter/Tracker.使用 FAST(特征辅助分段/跟踪器)高密度跟踪细菌。
PLoS Comput Biol. 2023 Oct 9;19(10):e1011524. doi: 10.1371/journal.pcbi.1011524. eCollection 2023 Oct.
10
Evaluation of segmentation algorithms on cell populations using CDF curves.使用 CDF 曲线评估细胞群体的分割算法。
IEEE Trans Med Imaging. 2012 Feb;31(2):380-90. doi: 10.1109/TMI.2011.2169806. Epub 2011 Sep 29.

引用本文的文献

1
A genetically encoded sensor for visualizing leukotriene B4 gradients in vivo.一种用于在体内可视化白三烯 B4 浓度梯度的基因编码传感器。
Nat Commun. 2023 Aug 1;14(1):4610. doi: 10.1038/s41467-023-40326-6.
2
Analysis and modeling of cancer drug responses using cell cycle phase-specific rate effects.利用细胞周期时相特异性速率效应分析和建模癌症药物反应
Nat Commun. 2023 Jun 10;14(1):3450. doi: 10.1038/s41467-023-39122-z.
3
The Cell Tracking Challenge: 10 years of objective benchmarking.细胞追踪挑战赛:10 年客观基准测试。

本文引用的文献

1
Investigating Optimal Time Step Intervals of Imaging for Data Quality through a Novel Fully-Automated Cell Tracking Approach.通过一种新型全自动细胞追踪方法研究成像的最佳时间步长间隔以提高数据质量
J Imaging. 2020 Jul 7;6(7):66. doi: 10.3390/jimaging6070066.
2
Cellpose: a generalist algorithm for cellular segmentation.Cellpose:一种通用的细胞分割算法。
Nat Methods. 2021 Jan;18(1):100-106. doi: 10.1038/s41592-020-01018-x. Epub 2020 Dec 14.
3
Cell segmentation and tracking using CNN-based distance predictions and a graph-based matching strategy.
Nat Methods. 2023 Jul;20(7):1010-1020. doi: 10.1038/s41592-023-01879-y. Epub 2023 May 18.
4
microbeSEG: A deep learning software tool with OMERO data management for efficient and accurate cell segmentation.microbeSEG:一个具有 OMERO 数据管理功能的深度学习软件工具,用于高效、准确的细胞分割。
PLoS One. 2022 Nov 29;17(11):e0277601. doi: 10.1371/journal.pone.0277601. eCollection 2022.
5
Towards a comprehensive approach for characterizing cell activity in bright-field microscopic images.朝向一种全面的方法,用于描述明场显微图像中的细胞活性。
Sci Rep. 2022 Oct 7;12(1):16884. doi: 10.1038/s41598-022-20598-6.
基于 CNN 距离预测和基于图的匹配策略的细胞分割和跟踪。
PLoS One. 2020 Dec 8;15(12):e0243219. doi: 10.1371/journal.pone.0243219. eCollection 2020.
4
OrganoidTracker: Efficient cell tracking using machine learning and manual error correction.类器官追踪器:使用机器学习和手动纠错进行高效的细胞追踪。
PLoS One. 2020 Oct 22;15(10):e0240802. doi: 10.1371/journal.pone.0240802. eCollection 2020.
5
An Automated Cell Tracking Approach With Multi-Bernoulli Filtering and Ant Colony Labor Division.基于多伯努利滤波和蚁群分工的自动细胞跟踪方法。
IEEE/ACM Trans Comput Biol Bioinform. 2021 Sep-Oct;18(5):1850-1863. doi: 10.1109/TCBB.2019.2954502. Epub 2021 Oct 7.
6
Nucleus segmentation across imaging experiments: the 2018 Data Science Bowl.跨影像实验的核分割:2018 年数据科学竞赛
Nat Methods. 2019 Dec;16(12):1247-1253. doi: 10.1038/s41592-019-0612-7. Epub 2019 Oct 21.
7
Segmenting and tracking cell instances with cosine embeddings and recurrent hourglass networks.使用余弦嵌入和循环沙漏网络对细胞实例进行分割和跟踪。
Med Image Anal. 2019 Oct;57:106-119. doi: 10.1016/j.media.2019.06.015. Epub 2019 Jun 29.
8
Applications, promises, and pitfalls of deep learning for fluorescence image reconstruction.深度学习在荧光图像重建中的应用、前景与挑战。
Nat Methods. 2019 Dec;16(12):1215-1225. doi: 10.1038/s41592-019-0458-z. Epub 2019 Jul 8.
9
U-Net: deep learning for cell counting, detection, and morphometry.U-Net:用于细胞计数、检测和形态测量学的深度学习。
Nat Methods. 2019 Jan;16(1):67-70. doi: 10.1038/s41592-018-0261-2. Epub 2018 Dec 17.
10
Content-aware image restoration: pushing the limits of fluorescence microscopy.内容感知图像恢复:推动荧光显微镜的极限。
Nat Methods. 2018 Dec;15(12):1090-1097. doi: 10.1038/s41592-018-0216-7. Epub 2018 Nov 26.