Suppr超能文献

肺腺癌中 YTH 结构域家族的综合分析:表达谱、与预后价值的关联和免疫浸润。

Comprehensive Analysis of YTH Domain Family in Lung Adenocarcinoma: Expression Profile, Association with Prognostic Value, and Immune Infiltration.

机构信息

Department of Hepatobiliary Surgery, Xiangya Hospital, Central South University, Changsha, 410008 Hunan, China.

Department of Pharmacy, Xiangya Hospital, Central South University, Changsha, 410008 Hunan, China.

出版信息

Dis Markers. 2021 Aug 26;2021:2789481. doi: 10.1155/2021/2789481. eCollection 2021.

Abstract

BACKGROUND

All YTH domain family members are mA reader proteins accounting for the methylation modulation involved in the process of tumorgenesis and tumor progression. However, the expression profiles and roles of the YTH domain family in lung adenocarcinoma (LUAD) remain to be further illustrated.

METHODS

GEPIA2 and TNMplot databases were used to generate the expression profiles of the YTH family. Kaplan-Meier plotter database was employed to analysis the prognostic value of the YTH family. Coexpression profiles and genetic alterations analysis of the YTH family were undertaken using the cBioPortal database. YTH family protein-associated protein-protein interaction (PPI) network was identified by using STRING. Functional enrichment analysis was performed with the help of the WebGestalt database. The correlation analysis between the YTH family and immune cell infiltration in LUAD was administrated by using the TIMER2.0 database.

RESULTS

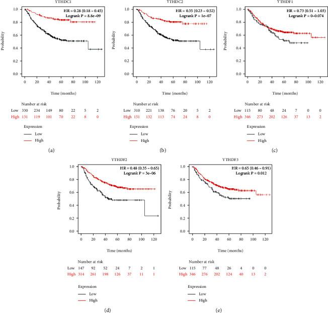
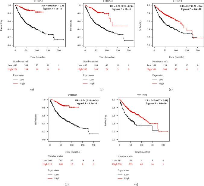
mRNA expression of YTHDC1 and YTHDC2 was significantly lower in LUAD, whereas YTHDF1, YTHDF2, and YTHDF3 with apparently higher expression. YTHDF2 expression was observed to be the highest in the nonsmoker subgroup, and its expression gradually decreased with the increased severity of smoking habit. LUAD patients with low expression of YTHDC2, YTHDF1, and YTHDF2 were correlated with a better overall survival (OS) time. The YTHDF1 genetic alteration rate was 26%, which was the highest in the YTH family. The major cancer-associated functions of YTH family pointed in the direction of immunomodulation, especially antigen processing and presentation. Most of the YTH family members were significantly correlated with the infiltration of CD4+ T cells, CD8+ T cells, macrophages, and neutrophils, indicating the deep involvement of the YTH domain family in the immune cell infiltration in LUAD.

CONCLUSION

The molecular and expression profiles of the YTH family were dysregulated in LUAD. YTH family members (especially YTHDC2) were promising biomarkers and potential therapeutic targets that may bring benefit for the patients with LUAD.

摘要

背景

所有 YTH 结构域家族成员都是 mA 读蛋白,可调节甲基化,参与肿瘤发生和肿瘤进展过程。然而,YTH 结构域家族在肺腺癌 (LUAD) 中的表达谱和作用仍有待进一步阐明。

方法

使用 GEPIA2 和 TNMplot 数据库生成 YTH 家族的表达谱。Kaplan-Meier plotter 数据库用于分析 YTH 家族的预后价值。使用 cBioPortal 数据库进行 YTH 家族的共表达谱和遗传改变分析。使用 STRING 确定 YTH 家族蛋白相关蛋白-蛋白相互作用 (PPI) 网络。借助 WebGestalt 数据库进行功能富集分析。使用 TIMER2.0 数据库对 LUAD 中 YTH 家族与免疫细胞浸润的相关性进行分析。

结果

LUAD 中 YTHDC1 和 YTHDC2 的 mRNA 表达明显降低,而 YTHDF1、YTHDF2 和 YTHDF3 的表达明显升高。YTHDF2 在不吸烟者亚组中的表达最高,且随着吸烟习惯的加重其表达逐渐降低。YTHDC2、YTHDF1 和 YTHDF2 低表达的 LUAD 患者的总生存 (OS) 时间较长。YTH 家族中 YTHDF1 的基因突变率为 26%,是 YTH 家族中最高的。YTH 家族的主要癌症相关功能指向免疫调节,特别是抗原加工和呈递。YTH 家族的大多数成员与 CD4+T 细胞、CD8+T 细胞、巨噬细胞和中性粒细胞的浸润显著相关,这表明 YTH 结构域家族在 LUAD 中免疫细胞浸润中有着深入的参与。

结论

YTH 家族的分子和表达谱在 LUAD 中失调。YTH 家族成员(尤其是 YTHDC2)是有前途的生物标志物和潜在的治疗靶点,可能为 LUAD 患者带来益处。

https://cdn.ncbi.nlm.nih.gov/pmc/blobs/f531/8420974/640c949ef721/DM2021-2789481.001.jpg

文献检索

告别复杂PubMed语法,用中文像聊天一样搜索,搜遍4000万医学文献。AI智能推荐,让科研检索更轻松。

立即免费搜索

文件翻译

保留排版,准确专业,支持PDF/Word/PPT等文件格式,支持 12+语言互译。

免费翻译文档

深度研究

AI帮你快速写综述,25分钟生成高质量综述,智能提取关键信息,辅助科研写作。

立即免费体验