• 文献检索
  • 文档翻译
  • 深度研究
  • 学术资讯
  • Suppr Zotero 插件Zotero 插件
  • 邀请有礼
  • 套餐&价格
  • 历史记录
应用&插件
Suppr Zotero 插件Zotero 插件浏览器插件Mac 客户端Windows 客户端微信小程序
定价
高级版会员购买积分包购买API积分包
服务
文献检索文档翻译深度研究API 文档MCP 服务
关于我们
关于 Suppr公司介绍联系我们用户协议隐私条款
关注我们

Suppr 超能文献

核心技术专利:CN118964589B侵权必究
粤ICP备2023148730 号-1Suppr @ 2026

文献检索

告别复杂PubMed语法,用中文像聊天一样搜索,搜遍4000万医学文献。AI智能推荐,让科研检索更轻松。

立即免费搜索

文件翻译

保留排版,准确专业,支持PDF/Word/PPT等文件格式,支持 12+语言互译。

免费翻译文档

深度研究

AI帮你快速写综述,25分钟生成高质量综述,智能提取关键信息,辅助科研写作。

立即免费体验

比较ABC、AIMS65、GBS和pRS评分在预测急性上消化道出血急诊科患者90天死亡率或再出血中的表现:一项前瞻性多中心研究。

Comparing the Performance of the ABC, AIMS65, GBS, and pRS Scores in Predicting 90-day Mortality Or Rebleeding Among Emergency Department Patients with Acute Upper Gastrointestinal Bleeding: A Prospective Multicenter Study.

作者信息

Liu Shuang, Zhang Xiaoming, Walline Joseph Harold, Yu Xuezhong, Zhu Huadong

机构信息

Department of Emergency Medicine, Peking Union Medical College Hospital, Chinese Academy of Medical Science, Beijing, China.

Department of Nursing, Peking Union Medical College Hospital, Beijing, China.

出版信息

J Transl Int Med. 2021 Jun 16;9(2):114-122. doi: 10.2478/jtim-2021-0026. eCollection 2021 Jun.

DOI:10.2478/jtim-2021-0026
PMID:34497750
原文链接:https://pmc.ncbi.nlm.nih.gov/articles/PMC8386323/
Abstract

BACKGROUND AND OBJECTIVES

Acute upper gastrointestinal bleeding (UGIB) is a common problem that can cause significant morbidity and mortality. We aimed to compare the performance of the ABC score (ABC), the AIMS65 score (AIMS65), the Glasgow-Blatchford score (GBS), and the pre-endoscopic Rockall score (pRS) in predicting 90-day mortality or rebleeding among patients with acute UGIB.

METHODS

This was a prospective multicenter study conducted at 20 tertiary hospitals in China. Data were collected between June 30, 2020 and February 10, 2021. An area under the receiver operating characteristic curve (AUC) analysis was used to compare the performance of the four scores in predicting 90-day mortality or rebleeding.

RESULTS

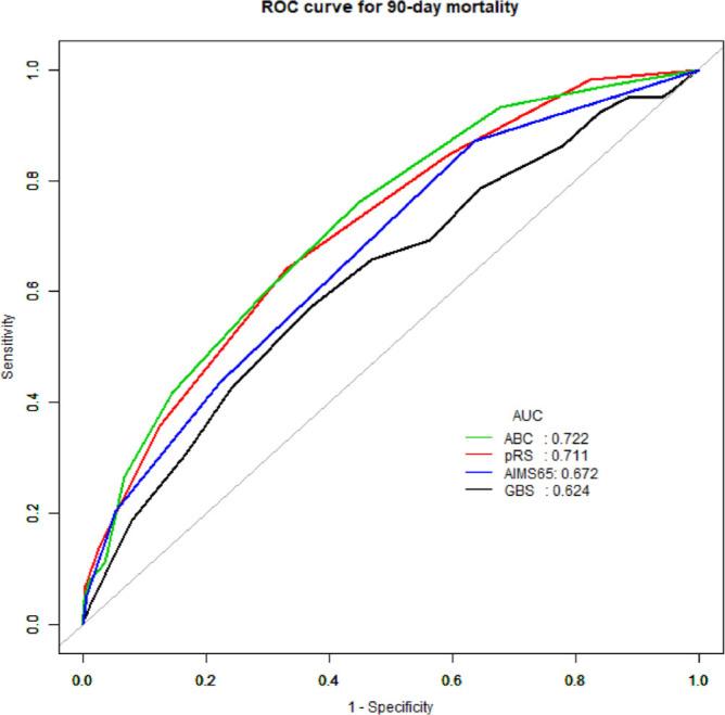
Among the 1072 patients included during the study period, the overall 90-day mortality rate was 10.91% (117/1072) and the rebleeding rate was 12.03% (129/1072). In predicting 90-day mortality, the ABC and pRS scores performed better with an AUC of 0.722 (95% CI 0.675-0.768; <0.001) and 0.711 (95% CI 0.663-0.757; <0.001), respectively, compared to the AIMS-65 (AUC, 0.672; 95% CI, 0.624-0.721; <0.001) and GBS (AUC, 0.624; 95% CI, 0.569-0.679; <0.001) scores. In predicting rebleeding in 90 days, the AUC of all scores did not exceed 0.70.

CONCLUSION

In patients with acute UGIB, ABC and pRS performed better than AIMS-65 and GBS in predicting 90-day mortality. The performance of each score is not satisfactory in predicting rebleeding, however. Newer predictive models are needed to predict rebleeding after UGIB.

摘要

背景与目的

急性上消化道出血(UGIB)是一个常见问题,可导致显著的发病率和死亡率。我们旨在比较ABC评分(ABC)、AIMS65评分(AIMS65)、格拉斯哥-布拉奇福德评分(GBS)和内镜前Rockall评分(pRS)在预测急性UGIB患者90天死亡率或再出血方面的表现。

方法

这是一项在中国20家三级医院进行的前瞻性多中心研究。数据收集于2020年6月30日至2021年2月10日之间。采用受试者工作特征曲线(AUC)下面积分析来比较这四种评分在预测90天死亡率或再出血方面的表现。

结果

在研究期间纳入的1072例患者中,总体90天死亡率为10.91%(117/1072),再出血率为12.03%(129/1072)。在预测90天死亡率方面,ABC和pRS评分表现更好,AUC分别为0.722(95%CI 0.675-0.768;<0.001)和0.711(95%CI 0.663-0.757;<0.001),相比之下,AIMS-65评分(AUC,0.672;95%CI,0.624-0.721;<0.001)和GBS评分(AUC,0.624;95%CI,0.569-0.679;<0.001)。在预测90天内再出血方面,所有评分的AUC均未超过0.70。

结论

在急性UGIB患者中,ABC和pRS在预测90天死亡率方面比AIMS-65和GBS表现更好。然而,每种评分在预测再出血方面的表现都不尽人意。需要更新的预测模型来预测UGIB后的再出血。

https://cdn.ncbi.nlm.nih.gov/pmc/blobs/5753/8386323/6afd11ab1448/jtim-09-114-g002.jpg
https://cdn.ncbi.nlm.nih.gov/pmc/blobs/5753/8386323/7e3cd0519b66/jtim-09-114-g001.jpg
https://cdn.ncbi.nlm.nih.gov/pmc/blobs/5753/8386323/6afd11ab1448/jtim-09-114-g002.jpg
https://cdn.ncbi.nlm.nih.gov/pmc/blobs/5753/8386323/7e3cd0519b66/jtim-09-114-g001.jpg
https://cdn.ncbi.nlm.nih.gov/pmc/blobs/5753/8386323/6afd11ab1448/jtim-09-114-g002.jpg

相似文献

1
Comparing the Performance of the ABC, AIMS65, GBS, and pRS Scores in Predicting 90-day Mortality Or Rebleeding Among Emergency Department Patients with Acute Upper Gastrointestinal Bleeding: A Prospective Multicenter Study.比较ABC、AIMS65、GBS和pRS评分在预测急性上消化道出血急诊科患者90天死亡率或再出血中的表现:一项前瞻性多中心研究。
J Transl Int Med. 2021 Jun 16;9(2):114-122. doi: 10.2478/jtim-2021-0026. eCollection 2021 Jun.
2
AIMS65, Glasgow-Blatchford bleeding score and modified Glasgow-Blatchford bleeding score in predicting outcomes of upper gastrointestinal bleeding: An accuracy and calibration study.AIMS65、格拉斯哥-布拉奇福德出血评分和改良格拉斯哥-布拉奇福德出血评分对上消化道出血结局的预测作用:一项准确性和校准度研究。
Indian J Gastroenterol. 2023 Aug;42(4):496-504. doi: 10.1007/s12664-023-01387-z. Epub 2023 Jun 29.
3
Evaluation of Six Preendoscopy Scoring Systems to Predict Outcomes for Older Adults with Upper Gastrointestinal Bleeding.六种内镜检查前评分系统对老年上消化道出血患者预后预测的评估
Gastroenterol Res Pract. 2022 Jan 30;2022:9334866. doi: 10.1155/2022/9334866. eCollection 2022.
4
Risk stratification in acute upper GI bleeding: comparison of the AIMS65 score with the Glasgow-Blatchford and Rockall scoring systems.急性上消化道出血的风险分层:AIMS65 评分与格拉斯哥-布拉奇福德和罗克洛评分系统的比较。
Gastrointest Endosc. 2016 Jun;83(6):1151-60. doi: 10.1016/j.gie.2015.10.021. Epub 2015 Oct 26.
5
Scoring systems used to predict mortality in patients with acute upper gastrointestinal bleeding in the ED.用于预测急诊科急性上消化道出血患者死亡率的评分系统。
Am J Emerg Med. 2018 Jan;36(1):27-32. doi: 10.1016/j.ajem.2017.06.053. Epub 2017 Jun 27.
6
Comparison of three risk scores to predict outcomes in upper gastrointestinal bleeding; modifying Glasgow-Blatchford with albumin.三种预测上消化道出血预后的风险评分比较:用白蛋白修正格拉斯哥-布拉奇福德评分
Rom J Intern Med. 2019 Dec 1;57(4):322-333. doi: 10.2478/rjim-2019-0016.
7
AIMS65 scoring system is comparable to Glasgow-Blatchford score or Rockall score for prediction of clinical outcomes for non-variceal upper gastrointestinal bleeding.AIMS65 评分系统在预测非静脉曲张性上消化道出血的临床结局方面可与 Glasgow-Blatchford 评分或 Rockall 评分相媲美。
BMC Gastroenterol. 2019 Jul 26;19(1):136. doi: 10.1186/s12876-019-1051-8.
8
Prospective Comparison of the AIMS65 Score, Glasgow-Blatchford Score, and Rockall Score for Predicting Clinical Outcomes in Patients with Variceal and Nonvariceal Upper Gastrointestinal Bleeding.AIMS65评分、格拉斯哥-布拉奇福德评分和罗卡尔评分对静脉曲张性和非静脉曲张性上消化道出血患者临床结局预测的前瞻性比较
Clin Endosc. 2021 Mar;54(2):211-221. doi: 10.5946/ce.2020.068. Epub 2020 Jul 16.
9
Comparison of AIMS65, Glasgow-Blatchford and Rockall scoring approaches in predicting the risk of in-hospital death among emergency hospitalized patients with upper gastrointestinal bleeding: a retrospective observational study in Nanjing, China.AIMS65、格拉斯哥-布拉奇福德和罗卡尔评分方法在预测急诊住院上消化道出血患者院内死亡风险中的比较:中国南京的一项回顾性观察研究。
BMC Gastroenterol. 2018 Jun 28;18(1):98. doi: 10.1186/s12876-018-0828-5.
10
Comparison of four scoring systems for risk stratification of upper gastrointestinal bleeding.上消化道出血风险分层的四种评分系统比较
Pak J Med Sci. 2018 May-Jun;34(3):649-654. doi: 10.12669/pjms.343.14956.

引用本文的文献

1
ABC score is a better predictor for 30-day mortality in upper gastrointestinal bleeding: A prospective single-center study.ABC评分是上消化道出血30天死亡率的更好预测指标:一项前瞻性单中心研究。
Indian J Gastroenterol. 2024 Dec 19. doi: 10.1007/s12664-024-01703-1.
2
Comparison and validation of several scoring systems for non-variceal upper gastrointestinal bleeding: a retrospective study.比较和验证几种非静脉曲张性上消化道出血的评分系统:一项回顾性研究。
Sci Rep. 2024 Nov 14;14(1):27940. doi: 10.1038/s41598-024-79643-1.
3
Validating the CHAMPS Score: A Novel and Reliable Prognostic Score of Non-Variceal Upper Gastrointestinal Bleeding.

本文引用的文献

1
ABC score: a new risk score that accurately predicts mortality in acute upper and lower gastrointestinal bleeding: an international multicentre study.ABC 评分:一种新的风险评分,可准确预测急性上、下消化道出血患者的死亡率:一项国际多中心研究。
Gut. 2021 Apr;70(4):707-716. doi: 10.1136/gutjnl-2019-320002. Epub 2020 Jul 28.
2
Editorial: how can we best promote the routine use of scores that are accurate at predicting outcomes in patients with upper gastrointestinal bleeding?社论:我们如何才能最好地促进常规使用在预测上消化道出血患者预后方面准确的评分系统?
Aliment Pharmacol Ther. 2020 Jan;51(2):305-306. doi: 10.1111/apt.15574.
3
验证CHAMPS评分:一种新型且可靠的非静脉曲张性上消化道出血预后评分
Clin Exp Gastroenterol. 2024 Jul 15;17:201-211. doi: 10.2147/CEG.S469218. eCollection 2024.
4
Interpretations of the Role of Plasma Albumin in Prognostic Indices: A Literature Review.血浆白蛋白在预后指标中的作用解读:文献综述
J Clin Med. 2023 Sep 22;12(19):6132. doi: 10.3390/jcm12196132.
5
Endoscopic diagnosis and treatment of superficial non-ampullary duodenal epithelial tumors: A review.浅表性非壶腹十二指肠上皮肿瘤的内镜诊断与治疗:综述
J Transl Int Med. 2023 Sep 2;11(3):206-215. doi: 10.2478/jtim-2023-0102. eCollection 2023 Sep.
6
A Nomogram Model for Prediction of Mortality Risk of Patients with Dangerous Upper Gastrointestinal Bleeding: A Two-center Retrospective Study.一种用于预测高危上消化道出血患者死亡风险的列线图模型:一项两中心回顾性研究。
Curr Med Sci. 2023 Aug;43(4):723-732. doi: 10.1007/s11596-023-2748-z. Epub 2023 Jun 16.
7
Use of the AIMS65 and pre-endoscopy Rockall scores in the prediction of mortality in patients with the upper gastrointestinal bleeding.使用 AIMS65 和内镜检查前 Rockall 评分预测上消化道出血患者的死亡率。
Ulus Travma Acil Cerrahi Derg. 2022 Dec;29(1):100-104. doi: 10.14744/tjtes.2022.38890.
8
Prognostic Value and Potential Regulatory Mechanism of H19 in Stomach Adenocarcinoma.H19在胃腺癌中的预后价值及潜在调控机制
J Oncol. 2022 Aug 31;2022:7702626. doi: 10.1155/2022/7702626. eCollection 2022.
9
Peri-Ulcerative Mucosal Inflammation Appearance is an Independent Risk Factor for 30-Day Rebleeding in Patients with Gastric Ulcer Bleeding: A Multicenter Retrospective Study.溃疡周围黏膜炎症表现是胃溃疡出血患者30天再出血的独立危险因素:一项多中心回顾性研究
J Inflamm Res. 2022 Aug 30;15:4951-4961. doi: 10.2147/JIR.S378263. eCollection 2022.
10
Nomogram for predicting rebleeding after initial endoscopic epinephrine injection monotherapy hemostasis in patients with peptic ulcer bleeding: a retrospective cohort study.预测内镜肾上腺素注射单一疗法止血后消化性溃疡出血患者再出血的列线图:一项回顾性队列研究。
BMC Gastroenterol. 2022 Jul 31;22(1):368. doi: 10.1186/s12876-022-02448-x.
Risk stratification in upper and upper and lower GI bleeding: Which scores should we use?
上消化道和上下消化道出血的风险分层:我们应该使用哪些评分?
Best Pract Res Clin Gastroenterol. 2019 Oct-Dec;42-43:101613. doi: 10.1016/j.bpg.2019.04.006. Epub 2019 Apr 17.
4
Management of Nonvariceal Upper Gastrointestinal Bleeding: Guideline Recommendations From the International Consensus Group.非静脉曲张性上消化道出血的管理:国际共识组的指南推荐。
Ann Intern Med. 2019 Dec 3;171(11):805-822. doi: 10.7326/M19-1795. Epub 2019 Oct 22.
5
Validation of a Machine Learning Model That Outperforms Clinical Risk Scoring Systems for Upper Gastrointestinal Bleeding.机器学习模型对上消化道出血的预测能力优于临床风险评分系统的验证。
Gastroenterology. 2020 Jan;158(1):160-167. doi: 10.1053/j.gastro.2019.09.009. Epub 2019 Sep 25.
6
Upper Gastrointestinal Bleeding: Etiologies and Management.上消化道出血:病因与治疗。
Mayo Clin Proc. 2019 Apr;94(4):697-703. doi: 10.1016/j.mayocp.2019.01.022.
7
Upper gastrointestinal bleeding in Egyptian patients with cirrhosis: Post-therapeutic outcome and prognostic indicators.埃及肝硬化患者上消化道出血:治疗后结果和预后指标。
J Gastroenterol Hepatol. 2019 Sep;34(9):1604-1610. doi: 10.1111/jgh.14659. Epub 2019 Apr 1.
8
Optimizing the Risk Assessment in Upper Gastrointestinal Bleeding: Comparison of 5 Scores Predicting 7 Outcomes.优化上消化道出血的风险评估:预测7种结局的5种评分方法比较
GE Port J Gastroenterol. 2018 Nov;25(6):299-307. doi: 10.1159/000486802. Epub 2018 May 2.
9
Development, Validation, and Comparative Assessment of an International Scoring System to Determine Risk of Upper Gastrointestinal Bleeding.国际上用于确定上消化道出血风险的评分系统的开发、验证和比较评估。
Clin Gastroenterol Hepatol. 2019 May;17(6):1121-1129.e2. doi: 10.1016/j.cgh.2018.09.039. Epub 2018 Sep 27.
10
Comparison of AIMS65, Glasgow-Blatchford and Rockall scoring approaches in predicting the risk of in-hospital death among emergency hospitalized patients with upper gastrointestinal bleeding: a retrospective observational study in Nanjing, China.AIMS65、格拉斯哥-布拉奇福德和罗卡尔评分方法在预测急诊住院上消化道出血患者院内死亡风险中的比较:中国南京的一项回顾性观察研究。
BMC Gastroenterol. 2018 Jun 28;18(1):98. doi: 10.1186/s12876-018-0828-5.