• 文献检索
  • 文档翻译
  • 深度研究
  • 学术资讯
  • Suppr Zotero 插件Zotero 插件
  • 邀请有礼
  • 套餐&价格
  • 历史记录
应用&插件
Suppr Zotero 插件Zotero 插件浏览器插件Mac 客户端Windows 客户端微信小程序
定价
高级版会员购买积分包购买API积分包
服务
文献检索文档翻译深度研究API 文档MCP 服务
关于我们
关于 Suppr公司介绍联系我们用户协议隐私条款
关注我们

Suppr 超能文献

核心技术专利:CN118964589B侵权必究
粤ICP备2023148730 号-1Suppr @ 2026

文献检索

告别复杂PubMed语法,用中文像聊天一样搜索,搜遍4000万医学文献。AI智能推荐,让科研检索更轻松。

立即免费搜索

文件翻译

保留排版,准确专业,支持PDF/Word/PPT等文件格式,支持 12+语言互译。

免费翻译文档

深度研究

AI帮你快速写综述,25分钟生成高质量综述,智能提取关键信息,辅助科研写作。

立即免费体验

三种光引发剂在携带MCF-7乳腺癌细胞的小鼠异种移植模型中诱导乳腺肿瘤生长。

Three photoinitiators induce breast tumor growth in mouse xenografts with MCF-7 breast cancer cells.

作者信息

Kawasaki Yoichi, Sendo Toshiaki

机构信息

Department of Pharmacy, Okayama University Hospital, 2-5-1 Shikata-cho, Kita-ku, Okayama 700-8558, Japan.

出版信息

Curr Res Toxicol. 2021 Aug 27;2:322-328. doi: 10.1016/j.crtox.2021.08.004. eCollection 2021.

DOI:10.1016/j.crtox.2021.08.004
PMID:34522900
原文链接:https://pmc.ncbi.nlm.nih.gov/articles/PMC8426503/
Abstract

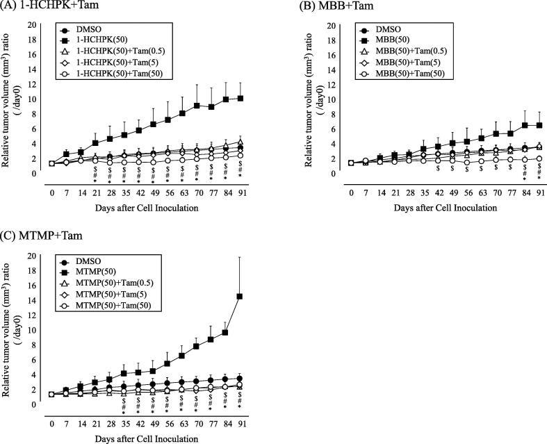
Photoinitiators are utilized in the production of a wide range of commonly used products. However, some photoinitiators exert toxic effects. We previously demonstrated the endocrine-disrupting effects of photoinitiators . The present study investigated the estrogenic activities of three photoinitiators: 1-hydroxycyclohexyl phenyl ketone (1-HCHPK), methyl 2-benzoylbenzoate (MBB), and 2-methyl-4'-(methylthio)-2-morpholinopropiophenone (MTMP), which were subcutaneously injected into mouse xenografts with MCF-7 breast cancer cells. The results obtained showed that 1-HCHPK, MBB, and MTMP promoted breast tumor growth in these xenografts. A pretreatment with the estrogen receptor antagonist tamoxifen blocked the tumor growth-promoting effects of each photoinitiator. Collectively, the present results suggest that the three photoinitiators exhibit estrogenic agonist activities . Furthermore, as a factor for breast tumor growth, these photoinitiators potentially have estrogenic properties .

摘要

光引发剂被用于生产多种常用产品。然而,一些光引发剂会产生毒性作用。我们之前已证明光引发剂具有内分泌干扰作用。本研究调查了三种光引发剂的雌激素活性:1-羟基环己基苯基酮(1-HCHPK)、2-苯甲酰苯甲酸甲酯(MBB)和2-甲基-4'-(甲硫基)-2-吗啉代苯丙酮(MTMP),它们被皮下注射到携带MCF-7乳腺癌细胞的小鼠异种移植瘤中。所得结果表明,1-HCHPK、MBB和MTMP促进了这些异种移植瘤中的乳腺肿瘤生长。用雌激素受体拮抗剂他莫昔芬进行预处理可阻断每种光引发剂的肿瘤生长促进作用。总体而言,目前的结果表明这三种光引发剂具有雌激素激动剂活性。此外,作为乳腺肿瘤生长的一个因素,这些光引发剂可能具有雌激素特性。

https://cdn.ncbi.nlm.nih.gov/pmc/blobs/314d/8426503/e35359da382f/gr5.jpg
https://cdn.ncbi.nlm.nih.gov/pmc/blobs/314d/8426503/cc3b06afb146/gr1.jpg
https://cdn.ncbi.nlm.nih.gov/pmc/blobs/314d/8426503/aea57f256fa0/gr2.jpg
https://cdn.ncbi.nlm.nih.gov/pmc/blobs/314d/8426503/42b63e1704a3/gr3.jpg
https://cdn.ncbi.nlm.nih.gov/pmc/blobs/314d/8426503/80c753f7f689/gr4.jpg
https://cdn.ncbi.nlm.nih.gov/pmc/blobs/314d/8426503/e35359da382f/gr5.jpg
https://cdn.ncbi.nlm.nih.gov/pmc/blobs/314d/8426503/cc3b06afb146/gr1.jpg
https://cdn.ncbi.nlm.nih.gov/pmc/blobs/314d/8426503/aea57f256fa0/gr2.jpg
https://cdn.ncbi.nlm.nih.gov/pmc/blobs/314d/8426503/42b63e1704a3/gr3.jpg
https://cdn.ncbi.nlm.nih.gov/pmc/blobs/314d/8426503/80c753f7f689/gr4.jpg
https://cdn.ncbi.nlm.nih.gov/pmc/blobs/314d/8426503/e35359da382f/gr5.jpg

相似文献

1
Three photoinitiators induce breast tumor growth in mouse xenografts with MCF-7 breast cancer cells.三种光引发剂在携带MCF-7乳腺癌细胞的小鼠异种移植模型中诱导乳腺肿瘤生长。
Curr Res Toxicol. 2021 Aug 27;2:322-328. doi: 10.1016/j.crtox.2021.08.004. eCollection 2021.
2
Photoinitiator-Initiated Estrogenic Activity in Human Breast Cancer Cell Line MCF-7.光引发剂引发人乳腺癌细胞系MCF-7中的雌激素活性。
J Toxicol Environ Health A. 2015;78(23-24):1450-60. doi: 10.1080/15287394.2015.1094431.
3
UV-irradiated 2-methyl-4'-(methylthio)-2-morpholinopropiophenone-containing injection solution produced frameshift mutations in the Ames mutagenicity assay.含 2-甲基-4'-(甲硫基)-2-吗啉基丙酰苯酮的紫外线照射注射液在艾姆斯致突变性检测中产生移码突变。
Environ Sci Pollut Res Int. 2018 Apr;25(10):10135-10140. doi: 10.1007/s11356-018-1539-8. Epub 2018 Feb 27.
4
Photoinitiators enhanced 1,2-dichloropropane-induced cytotoxicity in human normal embryonic lung fibroblasts cells in vitro.光引发剂增强了 1,2-二氯丙烷对人正常胚胎肺成纤维细胞的体外细胞毒性。
Environ Sci Pollut Res Int. 2015 Mar;22(6):4763-70. doi: 10.1007/s11356-014-3939-8. Epub 2014 Dec 12.
5
In vitro quantitative determination of the concentration of the polymerization agent methyl 2-benzoylbenzoate in intravenous injection solution and the cytotoxic effects of the chemical on normal human peripheral blood mononuclear cells.静脉注射溶液中聚合剂2-苯甲酰苯甲酸甲酯浓度的体外定量测定及其对正常人外周血单个核细胞的细胞毒性作用。
Environ Sci Pollut Res Int. 2016 May;23(10):10262-9. doi: 10.1007/s11356-016-6332-y. Epub 2016 Apr 5.
6
Quantitation and human monocyte cytotoxicity of the polymerization agent 1-hydroxycyclohexyl phenyl ketone (Irgacure 184) from three brands of aqueous injection solution.三种品牌水性注射液中聚合剂 1-羟基环己基苯基酮(Irgacure 184)的定量分析及其对人单核细胞的细胞毒性。
Biol Pharm Bull. 2012;35(10):1821-5. doi: 10.1248/bpb.b12-00210.
7
Cytotoxicity of the polymerization agent, 2-methyl-4'-(methylthio)-2-morpholinopropiophenone on human monocytes.聚合剂 2-甲基-4'-(甲基硫代)-2-吗啉基丙酰苯对人单核细胞的细胞毒性。
Biol Pharm Bull. 2012;35(2):256-9. doi: 10.1248/bpb.35.256.
8
Methylparaben stimulates tumor initiating cells in ER+ breast cancer models.对羟基苯甲酸甲酯在雌激素受体阳性乳腺癌模型中刺激肿瘤起始细胞。
J Appl Toxicol. 2017 Apr;37(4):417-425. doi: 10.1002/jat.3374. Epub 2016 Sep 1.
9
Novel multi-analyte method for detection of thirty photoinitiators in breakfast cereal and packaged juice.新型多分析物方法检测早餐麦片和包装果汁中的三十种光引发剂。
J Chromatogr B Analyt Technol Biomed Life Sci. 2019 Nov 1;1130-1131:121788. doi: 10.1016/j.jchromb.2019.121788. Epub 2019 Sep 12.
10
Estrogenic effects of genistein on the growth of estrogen receptor-positive human breast cancer (MCF-7) cells in vitro and in vivo.染料木黄酮对雌激素受体阳性人乳腺癌(MCF-7)细胞体外和体内生长的雌激素样作用。
Cancer Res. 1998 Sep 1;58(17):3833-8.

引用本文的文献

1
The Chorioallantoic Membrane Xenograft Assay as a Reliable Model for Investigating the Biology of Breast Cancer.绒毛膜尿囊膜异种移植试验作为研究乳腺癌生物学特性的可靠模型
Cancers (Basel). 2023 Mar 10;15(6):1704. doi: 10.3390/cancers15061704.

本文引用的文献

1
Endocrine disrupting chemicals: exposure, effects on human health, mechanism of action, models for testing and strategies for prevention.内分泌干扰化学物质:暴露、对人类健康的影响、作用机制、测试模型和预防策略。
Rev Endocr Metab Disord. 2020 Mar;21(1):127-147. doi: 10.1007/s11154-019-09521-z.
2
UV-irradiated 2-methyl-4'-(methylthio)-2-morpholinopropiophenone-containing injection solution produced frameshift mutations in the Ames mutagenicity assay.含 2-甲基-4'-(甲硫基)-2-吗啉基丙酰苯酮的紫外线照射注射液在艾姆斯致突变性检测中产生移码突变。
Environ Sci Pollut Res Int. 2018 Apr;25(10):10135-10140. doi: 10.1007/s11356-018-1539-8. Epub 2018 Feb 27.
3
Risk Factors and Preventions of Breast Cancer.
乳腺癌的风险因素与预防。
Int J Biol Sci. 2017 Nov 1;13(11):1387-1397. doi: 10.7150/ijbs.21635. eCollection 2017.
4
Carboxylic ester hydrolases: Classification and database derived from their primary, secondary, and tertiary structures.羧酸酯水解酶:基于其一级、二级和三级结构的分类及数据库
Protein Sci. 2016 Nov;25(11):1942-1953. doi: 10.1002/pro.3016. Epub 2016 Aug 31.
5
In vitro quantitative determination of the concentration of the polymerization agent methyl 2-benzoylbenzoate in intravenous injection solution and the cytotoxic effects of the chemical on normal human peripheral blood mononuclear cells.静脉注射溶液中聚合剂2-苯甲酰苯甲酸甲酯浓度的体外定量测定及其对正常人外周血单个核细胞的细胞毒性作用。
Environ Sci Pollut Res Int. 2016 May;23(10):10262-9. doi: 10.1007/s11356-016-6332-y. Epub 2016 Apr 5.
6
Photoinitiator-Initiated Estrogenic Activity in Human Breast Cancer Cell Line MCF-7.光引发剂引发人乳腺癌细胞系MCF-7中的雌激素活性。
J Toxicol Environ Health A. 2015;78(23-24):1450-60. doi: 10.1080/15287394.2015.1094431.
7
Review of endocrine disorders associated with environmental toxicants and possible involved mechanisms.与环境毒物相关的内分泌紊乱及其可能的作用机制综述。
Life Sci. 2016 Jan 15;145:265-73. doi: 10.1016/j.lfs.2015.10.022. Epub 2015 Oct 21.
8
Established breast cancer risk factors and risk of intrinsic tumor subtypes.已确定的乳腺癌风险因素与内在肿瘤亚型的风险
Biochim Biophys Acta. 2015 Aug;1856(1):73-85. doi: 10.1016/j.bbcan.2015.06.002. Epub 2015 Jun 10.
9
Photoinitiators in dentistry: a review.牙科中的光引发剂:综述
Prim Dent J. 2013 Oct;2(4):30-3. doi: 10.1308/205016814809859563.
10
The polymerization agent, 2-methyl-4'-(methylthio)-2-morpholinopropiophenone induces caspases-3/7 in human blood mononuclear cells in vitro.聚合剂 2-甲基-4'-(甲硫基)-2-吗啉丙基苯酮在体外诱导人血单核细胞中的胱天蛋白酶-3/7。
Biol Pharm Bull. 2013;36(10):1640-5. doi: 10.1248/bpb.b12-01032.