Suppr超能文献

一锅法三组分反应合成 6-元环稠合噻嗪-二羧酸酯和噻唑-嘧啶

Synthesis of 6-Membered-Ring Fused Thiazine-Dicarboxylates and Thiazole-Pyrimidines via One-Pot Three-Component Reactions.

机构信息

Advanced Materials Division, Mintek, Private Bag X3015, Randburg 2125, South Africa.

Molecular Sciences Institute, School of Chemistry, University of the Witwatersrand, Private Bag 3, PO Wits, Johannesburg 2050, South Africa.

出版信息

Molecules. 2021 Sep 10;26(18):5493. doi: 10.3390/molecules26185493.

Abstract

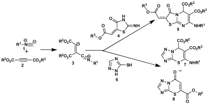
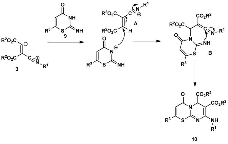
A facile and efficient one-pot three-component reaction method for the synthesis of thiazine-dicarboxylates is reported. Reaction of an isocyanide and dialkyl acetylenedicarboxylate with 2-amino-4-1,3-thiazin-4-one derivatives containing both an acidic proton and an internal nucleophile gave the products in good yields of 76-85%. The reactivity of dialkyl acetylenedicarboxylates was further tested in the synthesis of thiazole-pyrimidines where a two-component reaction of 2-aminothiazole with dialkyl acetylenedicarboxylates was successfully converted to a more efficient three-component reaction of a thiourea, α-haloketone and dialkyl acetylenedicarboxylate (DMAD/DEtAD) to give thiazole-pyrimidines in good yields of 70-91%.

摘要

本文报道了一种简便高效的一锅法三组分反应合成噻嗪-二羧酸酯的方法。异氰化物和二炔二羧酸酯与含有酸性质子和内部亲核试剂的 2-氨基-4-1,3-噻嗪-4-酮衍生物反应,以 76-85%的收率得到了产物。二炔二羧酸酯的反应性在噻唑嘧啶的合成中得到了进一步的测试,其中 2-氨基噻唑与二炔二羧酸酯的二组分反应成功转化为更有效的三组分反应,即硫脲、α-卤代酮和二炔二羧酸酯(DMAD/DEtAD)反应,以 70-91%的收率得到了噻唑嘧啶。

https://cdn.ncbi.nlm.nih.gov/pmc/blobs/a23d/8467237/d2bd2e445df7/molecules-26-05493-sch001.jpg

文献检索

告别复杂PubMed语法,用中文像聊天一样搜索,搜遍4000万医学文献。AI智能推荐,让科研检索更轻松。

立即免费搜索

文件翻译

保留排版,准确专业,支持PDF/Word/PPT等文件格式,支持 12+语言互译。

免费翻译文档

深度研究

AI帮你快速写综述,25分钟生成高质量综述,智能提取关键信息,辅助科研写作。

立即免费体验