School of Chemical Engineering, Institute of Engineering, Suranaree University of Technology, Nakhon Ratchasima 30000, Thailand.
Molecules. 2021 Sep 17;26(18):5641. doi: 10.3390/molecules26185641.
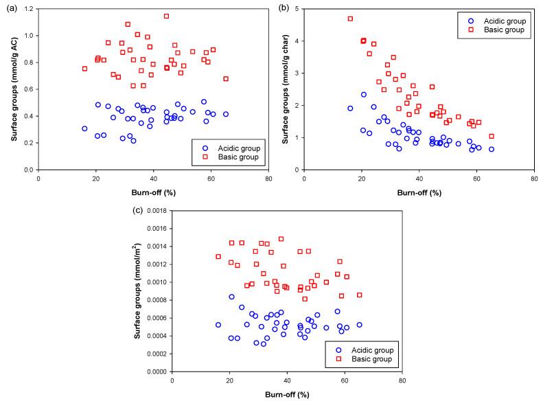
Pore development and the formation of oxygen functional groups were studied for activated carbon prepared from bamboo () using a two-step activation with CO, as functions of carbonization temperature and activation conditions (time and temperature). Results show that activated carbon produced from bamboo contains mostly micropores in the pore size range of 0.65 to 1.4 nm. All porous properties of activated carbons increased with the increase in the activation temperature over the range from 850 to 950 °C, but decreased in the temperature range of 950 to 1000 °C, due principally to the merging of neighboring pores. The increase in the activation time also increased the porous properties linearly from 60 to 90 min, which then dropped from 90 to 120 min. It was found that the carbonization temperature played an important role in determining the number and distribution of active sites for CO gasification during the activation process. Empirical equations were proposed to conveniently predict all important porous properties of the prepared activated carbons in terms of carbonization temperature and activation conditions. Oxygen functional groups formed during the carbonization and activation steps of activated carbon synthesis and their contents were dependent on the preparation conditions employed. Using Boehm's titration technique, only phenolic and carboxylic groups were detected for the acid functional groups in both the chars and activated carbons in varying amounts. Empirical correlations were also developed to estimate the total contents of the acid and basic groups in activated carbons in terms of the carbonization temperature, activation time and temperature.
研究了两步 CO 活化法制备竹基活性炭时,碳化温度和活化条件(时间和温度)对其孔结构发展和含氧官能团形成的影响。结果表明,竹基活性炭的孔径主要分布在 0.65 到 1.4nm 的微孔范围内。在 850 到 950°C 的活化温度范围内,所有多孔性能都随活化温度的升高而增加,但在 950 到 1000°C 的温度范围内却降低,主要是由于相邻孔的合并。活化时间从 60 分钟增加到 90 分钟时,多孔性能呈线性增加,从 90 分钟增加到 120 分钟时则下降。结果表明,碳化温度在活化过程中 CO 气化的活性位数量和分布中起着重要作用。提出了经验方程,可方便地根据碳化温度和活化条件来预测所制备的活性炭的所有重要多孔性能。在活性炭合成的碳化和活化步骤中形成的含氧官能团及其含量取决于所采用的制备条件。使用 Boehm 滴定技术,在炭和活性炭中均检测到了数量不等的酚类和羧酸类酸性官能团。还开发了经验相关性,可根据碳化温度、活化时间和温度来估算活性炭中酸性和碱性官能团的总量。