Suppr超能文献

基于 Ru(II)的光动力化疗试剂的发展。

The Development of Ru(II)-Based Photoactivated Chemotherapy Agents.

机构信息

Research Center for Pharmacodynamic Evaluation Engineering Technology of Chongqing, College of Pharmacy, Chongqing Medical University, Chongqing 400016, China.

Key Laboratory of Photochemical Conversion and Optoelectronic Materials, Technical Institute of Physics and Chemistry, Chinese Academy of Sciences, Beijing 100190, China.

出版信息

Molecules. 2021 Sep 18;26(18):5679. doi: 10.3390/molecules26185679.

Abstract

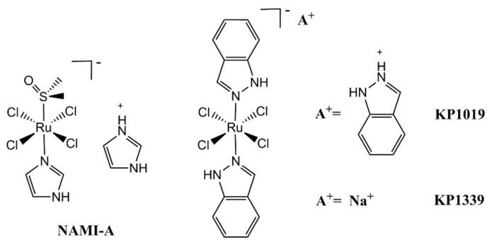
Photoactivated chemotherapy (PACT) is a novel cancer treatment method that has drawn increasing attention due to its high selectivity and low side effects by spatio-temporal control of irradiation. Compared with photodynamic therapy (PDT), oxygen-independent PACT is more suitable for treating hypoxic tumors. By finely tuning ligand structures and coordination configurations, many Ru(II) complexes can undergo photoinduced ligand dissociation, and the resulting Ru(II) aqua species and/or free ligands may have anticancer activity, showing their potential as PACT agents. In this mini-review, we summarized the progress in Ru(II)-based PACT agents, as well as challenges that researchers in this field still face.

摘要

光激活化疗(PACT)是一种新型的癌症治疗方法,通过时空控制照射,具有高选择性和低副作用,因此受到越来越多的关注。与光动力疗法(PDT)相比,非氧依赖性 PACT 更适合治疗缺氧肿瘤。通过精细调整配体结构和配位构型,许多 Ru(II) 配合物可以经历光诱导的配体解离,所得的 Ru(II) 水合物种和/或游离配体可能具有抗癌活性,显示出它们作为 PACT 剂的潜力。在这篇迷你综述中,我们总结了基于 Ru(II) 的 PACT 剂的研究进展,以及该领域研究人员仍面临的挑战。

https://cdn.ncbi.nlm.nih.gov/pmc/blobs/4c91/8465985/675db86e8536/molecules-26-05679-g001.jpg

文献检索

告别复杂PubMed语法,用中文像聊天一样搜索,搜遍4000万医学文献。AI智能推荐,让科研检索更轻松。

立即免费搜索

文件翻译

保留排版,准确专业,支持PDF/Word/PPT等文件格式,支持 12+语言互译。

免费翻译文档

深度研究

AI帮你快速写综述,25分钟生成高质量综述,智能提取关键信息,辅助科研写作。

立即免费体验