Suppr超能文献

越南中高原嘉莱省两个疟疾传播残留区的昆虫学调查。

Entomological survey in two communes with residual malaria transmission in Gia Lai Province in the central highlands of Vietnam.

机构信息

Vietnam People's Army Military, Institute of Preventive Medicine, Hanoi, Vietnam.

Gia Lai Center for Disease Control (CDC), Pleiku, Gia Lai, Vietnam.

出版信息

Malar J. 2021 Oct 16;20(1):403. doi: 10.1186/s12936-021-03941-6.

Abstract

BACKGROUND

In 2018, the National Malaria Control Programme in Vietnam switched from prioritizing malaria control to elimination. However, with the ongoing elimination programme, there are still areas where residual malaria transmission persists, including the central highlands. This entomological survey was conducted to evaluate Anopheles diversity and host-seeking activity of Anopheles vectors in two communes with very low malaria transmission in Gia Lai Province.

METHODS

Anopheles species were collected in Ia DReh commune and Ia KDam commune, Gia Lai Province in the central highlands of Vietnam. Collections were conducted using human-baited double net trap, light trap and manual aspiration collections around cattle sheds, in the dry and rainy season. Mosquito specimens were identified morphologically, and members of species complexes were distinguished molecularly. Mosquito night-feeding patterns were investigated during the dry and rainy seasons.

RESULTS

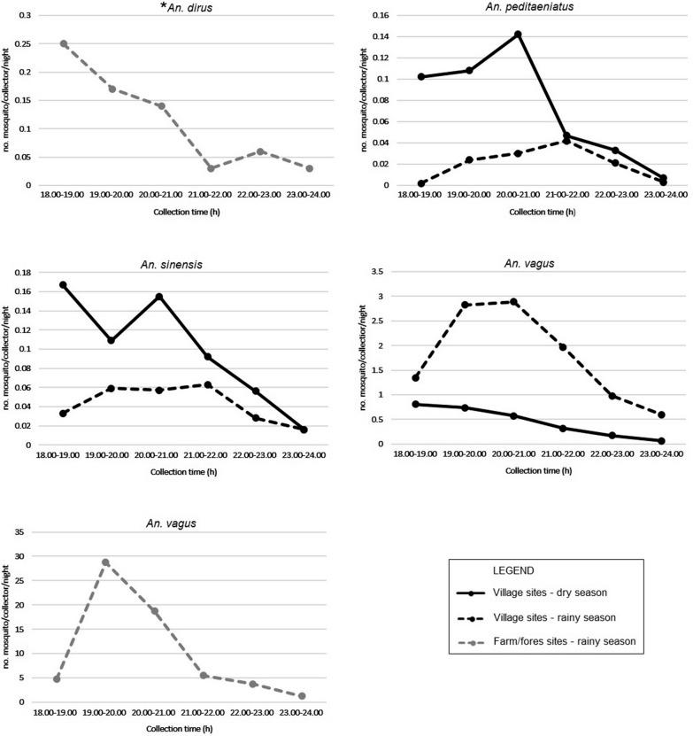
Overall, 18,835 specimens including 19 taxa were collected in Ia KDam and Ia DReh communes. These included the primary malaria vectors, Anopheles dirus and Anopheles minimus, and other secondary vector species. Anopheles dirus was observed to be an anthropophilic species, whereas An. minimus and a number of secondary vectors were observed to be zoophilic. Anopheles vagus was the dominant species, followed by Anopheles sinensis and Anopheles peditaeniatus. The majority of specimens were collected in the rainy season due to the relatively large number of An. vagus, while An. peditaeniatus, An. dirus, Anopheles kochi, Anopheles monstrosus and Anopheles tessellatus were collected in greater numbers during the dry season. The peak of host-seeking activity for An. dirus, An. sinensis, and An. vagus was between 18.00 and 19.00 h.

CONCLUSION

This study provided information on the diversity, seasonal prevalence and behaviour of Anopheles at the study sites. Identifying the diverse mosquito fauna in the central highlands of Vietnam allows species-specific control measures to be implemented by the National Programme to reduce malaria in areas of very low malaria transmission. The peak Anopheles host-seeking activity observed in this study was between 18.00 and 23.00 h, which highlights the need to better characterize Anopheles behaviour in this region of Vietnam to inform on vector control strategies.

摘要

背景

2018 年,越南国家疟疾控制规划从疟疾控制转向消除。然而,随着消除规划的持续进行,仍有一些地区存在持续的疟疾传播,包括中高原地区。本昆虫学调查旨在评估在越南中高原嘉莱省两个疟疾传播非常低的社区中,疟疾病媒按蚊的多样性和宿主搜索活动。

方法

在越南中高原嘉莱省的 Ia DReh 公社和 Ia KDam 公社,使用人诱双网捕集器、诱蚊灯和牛棚周围的手动抽吸收集法采集按蚊。在旱季和雨季进行蚊虫标本的形态学鉴定,并通过分子方法区分种复合体成员。在旱季和雨季调查蚊虫夜间觅食模式。

结果

总体而言,在 Ia KDam 和 Ia DReh 公社共收集到 18835 只标本,包括 19 个分类群。其中包括主要的疟疾媒介按蚊属(Anopheles)dirus 和 Anopheles minimus,以及其他次要媒介物种。观察到 Anopheles dirus 是一种嗜人物种,而 An. minimus 和一些次要媒介则是嗜动物物种。按蚊属(Anopheles)vagus 是优势种,其次是中华按蚊(Anopheles sinensis)和嗜人按蚊(Anopheles peditaeniatus)。由于大量的按蚊属(Anopheles)vagus,大多数标本是在雨季采集的,而在旱季采集的标本则更多,包括按蚊属(Anopheles)dirus、按蚊属(Anopheles)kochii、按蚊属(Anopheles)monstrosus 和按蚊属(Anopheles)tessellatus。按蚊属(Anopheles)dirus、中华按蚊(Anopheles sinensis)和按蚊属(Anopheles)vagus 的宿主搜索活动高峰期在 18.00 到 19.00 之间。

结论

本研究提供了研究地点按蚊多样性、季节性流行情况和行为的信息。确定越南中高原地区多样的蚊虫区系,使国家疟疾规划能够针对疟疾传播非常低的地区实施针对特定物种的控制措施,以减少疟疾。本研究观察到的按蚊宿主搜索活动高峰期在 18.00 到 23.00 之间,这突出表明需要更好地描述越南该地区按蚊的行为,以告知蚊虫控制策略。

https://cdn.ncbi.nlm.nih.gov/pmc/blobs/84d7/8520203/3ec291869177/12936_2021_3941_Fig1_HTML.jpg

文献AI研究员

20分钟写一篇综述,助力文献阅读效率提升50倍。

立即体验

用中文搜PubMed

大模型驱动的PubMed中文搜索引擎

马上搜索

文档翻译

学术文献翻译模型,支持多种主流文档格式。

立即体验