Suppr超能文献

微乳液中手性铑二烯配合物在不对称催化中极性与限域作用的相互影响

Interplay of Polarity and Confinement in Asymmetric Catalysis with Chiral Rh Diene Complexes in Microemulsions.

作者信息

Kirchhof Manuel, Abitaev Karina, Abouhaileh Abdulwahab, Gugeler Katrin, Frey Wolfgang, Zens Anna, Kästner Johannes, Sottmann Thomas, Laschat Sabine

机构信息

Institut für Organische Chemie, Universität Stuttgart, Pfaffenwaldring 55, 70569, Stuttgart, Germany.

Institut für Physikalische Chemie, Universität Stuttgart, Pfaffenwaldring 55, 70569, Stuttgart, Germany.

出版信息

Chemistry. 2021 Dec 6;27(68):16853-16870. doi: 10.1002/chem.202102752. Epub 2021 Nov 23.

Abstract

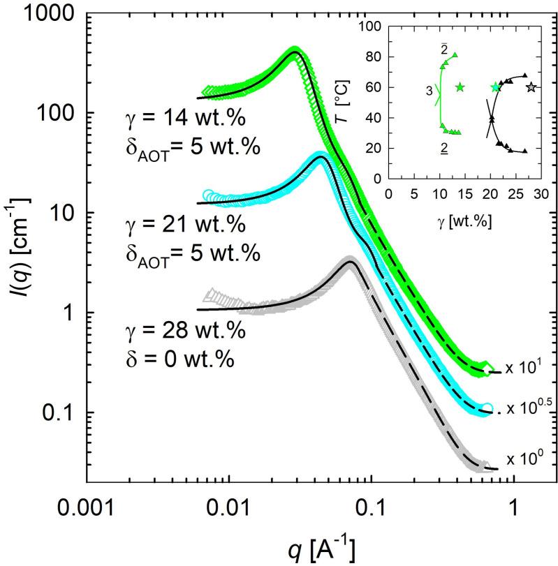
Microemulsions provide a unique opportunity to tailor the polarity and liquid confinement in asymmetric catalysis via nanoscale polar and nonpolar domains separated by a surfactant film. For chiral diene Rh complexes, the influence of counterion and surfactant film on the catalytic activity and enantioselectivity remained elusive. To explore this issue chiral norbornadiene Rh(X) complexes (X=OTf, OTs, OAc, PO F ) were synthesized and characterized by X-ray crystallography and theoretical calculations. These complexes were used in Rh-catalyzed 1,2-additions of phenylboroxine to N-tosylimine in microemulsions stabilized either exclusively by n-octyl-β-D-glucopyranoside (C G ) or a C G -film doped with anionic or cationic surfactants (AOT, SDS and DTAB). The Rh(OAc) complex showed the largest dependence on the composition of the microemulsion, yielding up to 59 % (90 %ee) for the surfactant film doped with 5 wt% of AOT as compared to 52 % (58 %ee) for neat C G at constant surfactant concentration. Larger domains, determined by SAXS analysis, enabled further increase in yield and selectivity while the reaction rate almost remained constant according to kinetic studies.

摘要

微乳液提供了一个独特的机会,通过由表面活性剂膜分隔的纳米级极性和非极性区域,在不对称催化中调整极性和液体限制。对于手性二烯铑配合物,抗衡离子和表面活性剂膜对催化活性和对映选择性的影响仍然难以捉摸。为了探讨这个问题,合成了手性降冰片二烯铑(X)配合物(X = OTf、OTs、OAc、POF),并通过X射线晶体学和理论计算对其进行了表征。这些配合物用于在仅由正辛基-β-D-吡喃葡萄糖苷(CG)或掺杂有阴离子或阳离子表面活性剂(AOT、SDS和DTAB)的CG膜稳定的微乳液中,铑催化苯基硼酸硼酯与N-对甲苯磺酰亚胺的1,2-加成反应。在恒定表面活性剂浓度下,铑(OAc)配合物对微乳液组成的依赖性最大,对于掺杂5 wt% AOT的表面活性剂膜,产率高达59%(对映体过量90%),而对于纯CG,产率为52%(对映体过量58%)。根据小角X射线散射(SAXS)分析确定的更大区域,能够进一步提高产率和选择性,而根据动力学研究,反应速率几乎保持不变。

https://cdn.ncbi.nlm.nih.gov/pmc/blobs/d047/9299057/1b8ca9b45cbc/CHEM-27-16853-g019.jpg

文献检索

告别复杂PubMed语法,用中文像聊天一样搜索,搜遍4000万医学文献。AI智能推荐,让科研检索更轻松。

立即免费搜索

文件翻译

保留排版,准确专业,支持PDF/Word/PPT等文件格式,支持 12+语言互译。

免费翻译文档

深度研究

AI帮你快速写综述,25分钟生成高质量综述,智能提取关键信息,辅助科研写作。

立即免费体验