Suppr超能文献

实验性开采技术溶胶中可食用植物对潜在有毒元素的吸收:初步评估。

Uptake of potentially toxic elements by edible plants in experimental mining Technosols: preliminary assessment.

机构信息

Department of Agricultural Chemistry, Geology and Pedology, International Excellence Campus "Mare Nostrum", University of Murcia, Murcia, Spain.

Department of Petrology and Geochemistry, Faculty of Geology, Moncloa Campus of International Excellence, Complutense University of Madrid, Madrid, Spain.

出版信息

Environ Geochem Health. 2022 May;44(5):1649-1665. doi: 10.1007/s10653-021-01091-x. Epub 2021 Oct 21.

Abstract

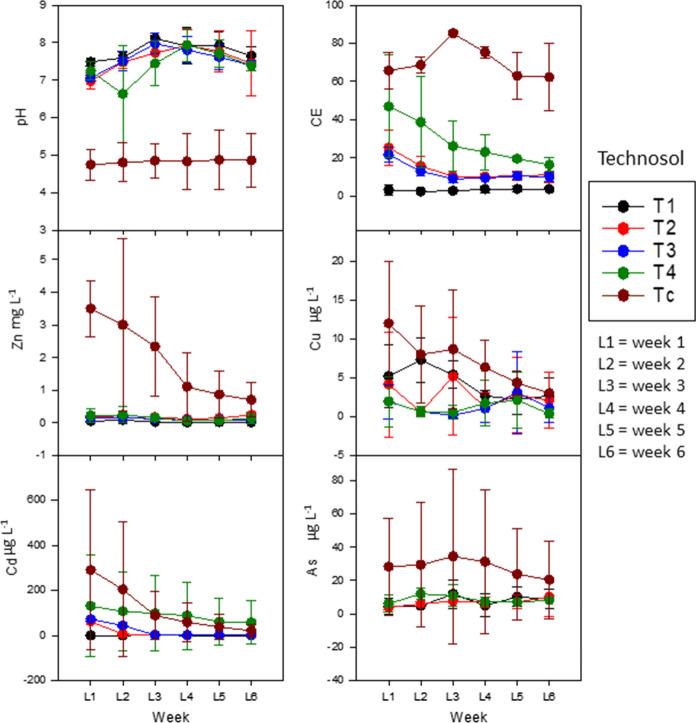
A study was carried out to evaluate the absorption of potentially toxic elements from mining Technosols by three types of vegetable plants (broccoli (Brassica oleracea var. italica), lettuce (Lactuca sativa) and onion (Allium cepa)), the different parts of which are intended for human and farm animal consumption (leaves, roots, edible parts). The preliminary results obtained highlight the importance of the design of the mining Technosols used for agricultural purposes, obtained from soils and sediments of mining origin and amended with residues of high calcium carbonate concentrations (limestone filler and construction and demolition wastes). The experiment was carried out in a greenhouse, and the total metal(loid)s concentration (As, Pb, Cd, Cu, Fe, Mn and Zn) of the soil, rhizosphere, aqueous leachates and plant samples was monitored, the translocation and bioconcentration factors (TF and BCF, respectively) being calculated. The characterization of the soils included a mobilization study in media simulating different environmental conditions that can affect these soils and predicting the differences in behavior of each Technosol. The results obtained showed that the levels of potentially toxic elements present in the cultivated species are within the range of values mentioned in the literature when they were cultivated in soils with calcareous amendments. However, when the plants were grown in contaminated soils, the potentially toxic elements levels varied greatly according to the species, being higher in onions than in lettuce. Experiments with the use of lime filler or construction and demolition wastes for soil remediation result in crops that, in principle, do not present health risks and are similar in development to those grown on non-contaminated soil.

摘要

进行了一项研究,以评估三种蔬菜植物(西兰花( Brassica oleracea var.italica )、生菜( Lactuca sativa )和洋葱( Allium cepa ))从采矿 Technosols 中吸收潜在有毒元素的情况,这些植物的不同部分旨在供人类和农场动物食用(叶子、根、可食用部分)。初步结果强调了为农业目的设计采矿 Technosols 的重要性,这些 Technosols 是从采矿来源的土壤和沉积物中获得的,并添加了高碳酸钙浓度的残留物(石灰石填料和建筑和拆除废物)。实验在温室中进行,监测了土壤、根际、水浸出液和植物样本中的总金属(类)浓度(As、Pb、Cd、Cu、Fe、Mn 和 Zn),并计算了迁移和生物浓缩因子(TF 和 BCF)。土壤的特征化包括在模拟可能影响这些土壤的不同环境条件的介质中的移动性研究,以及预测每个 Technosol 行为的差异。研究结果表明,在所研究的物种中,当在含有钙质添加剂的土壤中种植时,存在的潜在有毒元素水平在文献中提到的范围内。然而,当植物在受污染的土壤中生长时,潜在有毒元素的水平根据物种而有很大差异,洋葱中的含量高于生菜。使用石灰填料或建筑和拆除废物进行土壤修复的实验结果表明,这些作物原则上不会带来健康风险,并且在发育方面与在非污染土壤上生长的作物相似。

https://cdn.ncbi.nlm.nih.gov/pmc/blobs/ae2e/9033688/39cca260f491/10653_2021_1091_Fig1_HTML.jpg

文献检索

告别复杂PubMed语法,用中文像聊天一样搜索,搜遍4000万医学文献。AI智能推荐,让科研检索更轻松。

立即免费搜索

文件翻译

保留排版,准确专业,支持PDF/Word/PPT等文件格式,支持 12+语言互译。

免费翻译文档

深度研究

AI帮你快速写综述,25分钟生成高质量综述,智能提取关键信息,辅助科研写作。

立即免费体验