Betsch Cornelia, Korn Lars, Burgard Tanja, Gaissmaier Wolfgang, Felgendreff Lisa, Eitze Sarah, Sprengholz Philipp, Böhm Robert, Stollorz Volker, Ramharter Michael, Promies Nikolai, De Bock Freia, Schmid Philipp, Renner Britta, Wieler Lothar H, Bosnjak Michael
University of Erfurt, Erfurt, Germany.
Department of Implementation Science, Bernhard Nocht Institute for Tropical Medicine, Hamburg, Germany.
Euro Surveill. 2021 Oct;26(42). doi: 10.2807/1560-7917.ES.2021.26.42.2001900.
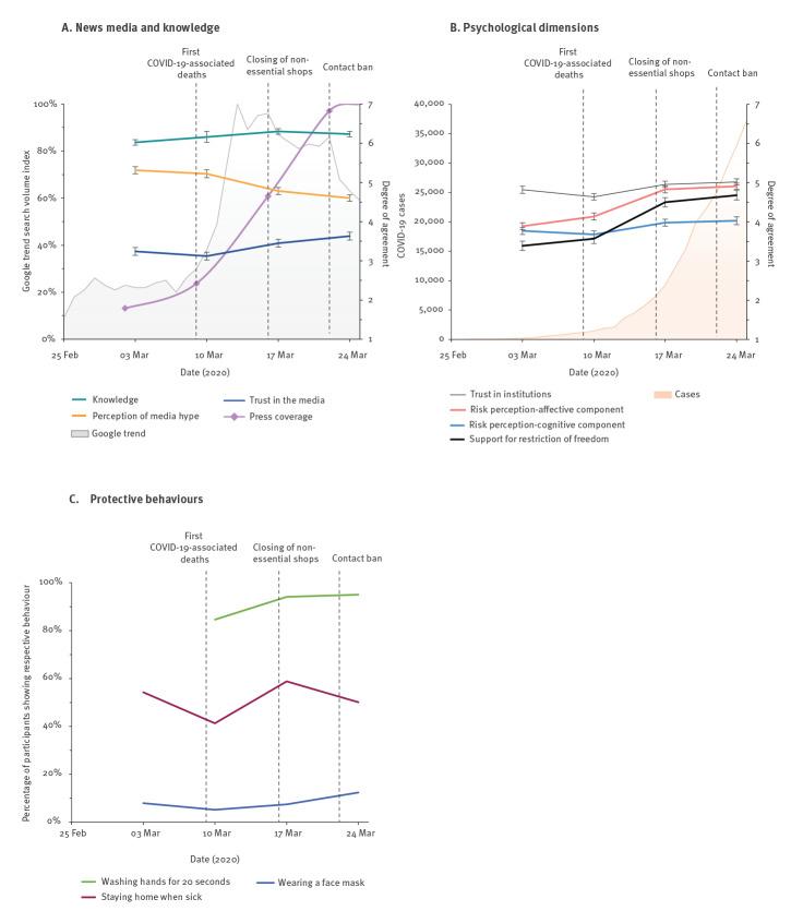
BackgroundDuring the COVID-19 pandemic, public perceptions and behaviours have had to adapt rapidly to new risk scenarios and radical behavioural restrictions.AimTo identify major drivers of acceptance of protective behaviours during the 4-week transition from virtually no COVID-19 cases to the nationwide lockdown in Germany (3-25 March 2020).MethodsA serial cross-sectional online survey was administered weekly to ca 1,000 unique individuals for four data collection rounds in March 2020 using non-probability quota samples, representative of the German adult population between 18 and 74 years in terms of age × sex and federal state (n = 3,910). Acceptance of restrictions was regressed on sociodemographic variables, time and psychological variables, e.g. trust, risk perceptions, self-efficacy. Extraction of homogenous clusters was based on knowledge and behaviour.ResultsAcceptance of restrictive policies increased with participants' age and employment in the healthcare sector; cognitive and particularly affective risk perceptions were further significant predictors. Acceptance increased over time, as trust in institutions became more relevant and trust in media became less relevant. The cluster analysis further indicated that having a higher education increased the gap between knowledge and behaviour. Trust in institutions was related to conversion of knowledge into action.ConclusionIdentifying relevant principles that increase acceptance will remain crucial to the development of strategies that help adjust behaviour to control the pandemic, possibly for years to come. Based on our findings, we provide operational recommendations for health authorities regarding data collection, health communication and outreach.
背景
在新冠疫情期间,公众的认知和行为不得不迅速适应新的风险情况以及严格的行为限制措施。
目的
确定在德国从几乎没有新冠病例到全国封锁的4周过渡期间(2020年3月3日至25日),促使人们接受防护行为的主要驱动因素。
方法
2020年3月,采用非概率配额抽样,每周对约1000名不同个体进行一系列横断面在线调查,共进行四轮数据收集,样本在年龄×性别和联邦州方面代表德国18至74岁的成年人口(n = 3910)。将对限制措施的接受程度作为因变量,对社会人口统计学变量、时间和心理变量(如信任、风险认知、自我效能感)进行回归分析。基于知识和行为提取同质聚类。
结果
对限制性政策的接受程度随着参与者的年龄以及在医疗保健部门的工作经历而增加;认知风险感知,尤其是情感风险感知是进一步的重要预测因素。随着时间推移,接受程度有所提高,因为对机构的信任变得更加重要,而对媒体的信任变得不那么重要。聚类分析进一步表明,受教育程度较高会加大知识与行为之间的差距。对机构的信任与将知识转化为行动有关。
结论
确定提高接受度的相关原则对于制定有助于调整行为以控制疫情的策略(可能在未来数年)仍将至关重要。基于我们的研究结果,我们为卫生当局提供了关于数据收集、健康宣传和推广的操作性建议。