• 文献检索
  • 文档翻译
  • 深度研究
  • 学术资讯
  • Suppr Zotero 插件Zotero 插件
  • 邀请有礼
  • 套餐&价格
  • 历史记录
应用&插件
Suppr Zotero 插件Zotero 插件浏览器插件Mac 客户端Windows 客户端微信小程序
定价
高级版会员购买积分包购买API积分包
服务
文献检索文档翻译深度研究API 文档MCP 服务
关于我们
关于 Suppr公司介绍联系我们用户协议隐私条款
关注我们

Suppr 超能文献

核心技术专利:CN118964589B侵权必究
粤ICP备2023148730 号-1Suppr @ 2026

文献检索

告别复杂PubMed语法,用中文像聊天一样搜索,搜遍4000万医学文献。AI智能推荐,让科研检索更轻松。

立即免费搜索

文件翻译

保留排版,准确专业,支持PDF/Word/PPT等文件格式,支持 12+语言互译。

免费翻译文档

深度研究

AI帮你快速写综述,25分钟生成高质量综述,智能提取关键信息,辅助科研写作。

立即免费体验

澳大利亚婴儿从母乳中摄入的常量和微量元素:未达到国家建议水平。

Macro- and Trace-Element Intake from Human Milk in Australian Infants: Inadequacy with Respect to National Recommendations.

作者信息

Bilston-John Sabrina H, Narayanan Ardra, Lai Ching T, Rea Alethea, Joseph John, Geddes Donna T

机构信息

School of Molecular Sciences, The University of Western Australia, 35 Stirling Highway, M310 Crawley, Perth 6009, Australia.

School of Mathematics and Statistics, Murdoch University, Perth 6150, Australia.

出版信息

Nutrients. 2021 Oct 9;13(10):3548. doi: 10.3390/nu13103548.

DOI:10.3390/nu13103548
PMID:34684549
原文链接:https://pmc.ncbi.nlm.nih.gov/articles/PMC8537127/
Abstract

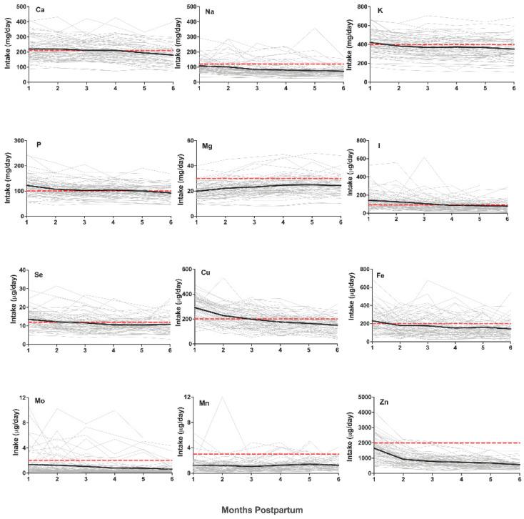
Longitudinal variations of macro- and trace elements in human milk (HM) are not well characterised, and therefore, the recommendations for intake for Australian infants require more evidence to ensure accuracy. We aimed to investigate the longitudinal variation of HM macro- and trace-element concentrations (1-12 months) and infant intake (1-6 months) and to investigate the relationships between intake and infant growth parameters at 3 and 6 months, and determine if intake was sufficient when compared to national guidelines. HM samples were collected monthly for the first 6 months and then at 9 and 12 months postpartum from mother-infant dyads ( = 83). Test-weighing was used to determine the volume of HM consumed daily. Element concentrations (Na, Ca, K, Mg, P, I, Se, Zn, Cu, Mn, Mo, and Fe) were measured using ICP-MS, and intake was calculated using the measured concentrations and the volume of HM consumed. The average intake of HM was 776.3 ± 24.0 mL for the infants. Changes in concentration from months 1 to 12 postpartum were observed for all the measured micronutrients (all < 0.05). The calculated intakes of all the macro- and trace elements showed that 0% to 82% of infants met the current adequate recommendations at varying periods of lactation. The calculated macro- and trace-element intakes were below the adequate intake recommendations, suggesting that they are not reflective of healthy infant requirements. These findings suggest the need for larger studies using sensitive analytical techniques and the revision of current recommendations for breastfed infants.

摘要

人乳(HM)中常量和微量元素的纵向变化特征尚不明确,因此,澳大利亚婴儿摄入量的建议需要更多证据来确保准确性。我们旨在研究人乳中常量和微量元素浓度(1至12个月)以及婴儿摄入量(1至6个月)的纵向变化,并研究摄入量与3个月和6个月时婴儿生长参数之间的关系,以及与国家指南相比确定摄入量是否充足。在产后的前6个月每月收集人乳样本,然后在9个月和12个月时从母婴二元组中收集( = 83)。采用试重法确定每日摄入的人乳量。使用电感耦合等离子体质谱法(ICP-MS)测量元素浓度(钠、钙、钾、镁、磷、碘、硒、锌、铜、锰、钼和铁),并根据测量浓度和摄入的人乳量计算摄入量。婴儿人乳的平均摄入量为776.3±24.0毫升。观察到所有测量的微量营养素在产后1至12个月期间浓度均有变化(所有 < 0.05)。所有常量和微量元素的计算摄入量表明,在不同哺乳期,0%至82%的婴儿达到了当前的充足摄入量建议。计算出的常量和微量元素摄入量低于充足摄入量建议,表明它们不能反映健康婴儿的需求。这些发现表明需要使用灵敏分析技术进行更大规模的研究,并修订目前对母乳喂养婴儿的建议。

https://cdn.ncbi.nlm.nih.gov/pmc/blobs/babf/8537127/b90d94080e87/nutrients-13-03548-g002.jpg
https://cdn.ncbi.nlm.nih.gov/pmc/blobs/babf/8537127/724a38c9f5e5/nutrients-13-03548-g001.jpg
https://cdn.ncbi.nlm.nih.gov/pmc/blobs/babf/8537127/b90d94080e87/nutrients-13-03548-g002.jpg
https://cdn.ncbi.nlm.nih.gov/pmc/blobs/babf/8537127/724a38c9f5e5/nutrients-13-03548-g001.jpg
https://cdn.ncbi.nlm.nih.gov/pmc/blobs/babf/8537127/b90d94080e87/nutrients-13-03548-g002.jpg

相似文献

1
Macro- and Trace-Element Intake from Human Milk in Australian Infants: Inadequacy with Respect to National Recommendations.澳大利亚婴儿从母乳中摄入的常量和微量元素:未达到国家建议水平。
Nutrients. 2021 Oct 9;13(10):3548. doi: 10.3390/nu13103548.
2
Daily and within-feed variation of macro- and trace-element concentrations in human milk and implications for sampling.人乳中宏量和微量元素浓度的日变化和饲料内变化及其采样意义。
Food Chem. 2021 Nov 30;363:130179. doi: 10.1016/j.foodchem.2021.130179. Epub 2021 Jun 1.
3
Minerals and Trace Elements in Human Breast Milk Are Associated with Guatemalan Infant Anthropometric Outcomes within the First 6 Months.人乳中的矿物质和微量元素与危地马拉婴儿头6个月内的人体测量结果相关。
J Nutr. 2016 Oct;146(10):2067-2074. doi: 10.3945/jn.116.232223. Epub 2016 Aug 24.
4
Human milk macro- and trace-elements: Simultaneous analysis in sub-milliliter amounts by ICP-MS and application to assessing acute supplementation effects.人乳中的常量和微量元素:通过电感耦合等离子体质谱法对亚毫升量进行同步分析及其在评估急性补充效果中的应用。
Heliyon. 2024 Jul 16;10(16):e34709. doi: 10.1016/j.heliyon.2024.e34709. eCollection 2024 Aug 30.
5
Daily dietary intake of copper, zinc, and selenium of exclusively breast-fed infants of middle-class women in Burundi, Africa.非洲布隆迪中产阶级妇女纯母乳喂养婴儿的铜、锌和硒每日膳食摄入量。
Biol Trace Elem Res. 1995 Aug-Sep;49(2-3):151-9. doi: 10.1007/BF02788964.
6
Changes in the concentrations of trace elements in human milk during lactation.哺乳期人乳中微量元素浓度的变化。
J Trace Elem Med Biol. 1998 Nov;12(3):159-76. doi: 10.1016/s0946-672x(98)80005-9.
7
Dietary supplements for the lactating mother: influence on the trace element content of milk.哺乳期母亲的膳食补充剂:对乳汁中微量元素含量的影响。
Acta Paediatr Suppl. 1999 Aug;88(430):7-13. doi: 10.1111/j.1651-2227.1999.tb01294.x.
8
Minor and trace elements in human milk from Guatemala, Hungary, Nigeria, Philippines, Sweden, and Zaire. Results from a WHO/IAEA joint project.危地马拉、匈牙利、尼日利亚、菲律宾、瑞典和扎伊尔人乳中的微量元素。世界卫生组织/国际原子能机构联合项目的结果。
Biol Trace Elem Res. 1991 Apr;29(1):51-75. doi: 10.1007/BF03032674.
9
Anthropometry before Day 46 and Growth Velocity before 6 Months of Guatemalan Breastfed Infants Are Associated with Subclinical Mastitis and Milk Cytokines, Minerals, and Trace Elements.危地马拉母乳喂养婴儿第 46 天前的人体测量学和 6 个月前的生长速度与亚临床乳腺炎及乳汁细胞因子、矿物质和微量元素有关。
J Nutr. 2019 Sep 1;149(9):1651-1659. doi: 10.1093/jn/nxz109.
10
Metals and trace element concentrations in breast milk of first time healthy mothers: a biological monitoring study.母乳中首次健康母亲的金属和微量元素浓度:一项生物监测研究。
Environ Health. 2012 Dec 14;11:92. doi: 10.1186/1476-069X-11-92.

引用本文的文献

1
Study on Vitamin K Levels in Mature Milk of Chinese Lactating Mothers.中国哺乳期母亲成熟乳中维生素 K 水平的研究。
Nutrients. 2024 Oct 2;16(19):3351. doi: 10.3390/nu16193351.
2
Human Milk Micronutrients and Child Growth and Body Composition in the First 2 years: A Systematic Review.人乳微量营养素与儿童头 2 年生长和身体成分:系统评价。
Adv Nutr. 2024 Jan;15(1):100082. doi: 10.1016/j.advnut.2023.06.005. Epub 2023 Jun 13.
3
Major and trace mineral composition of milk from lactating women following vegan, vegetarian and omnivore diets.

本文引用的文献

1
Daily and within-feed variation of macro- and trace-element concentrations in human milk and implications for sampling.人乳中宏量和微量元素浓度的日变化和饲料内变化及其采样意义。
Food Chem. 2021 Nov 30;363:130179. doi: 10.1016/j.foodchem.2021.130179. Epub 2021 Jun 1.
2
Human Milk as the First Source of Micronutrients.人乳是微量营养素的第一来源。
Nestle Nutr Inst Workshop Ser. 2020;93:67-76. doi: 10.1159/000503359. Epub 2020 Jan 28.
3
Micronutrient intakes of lactating mothers and their association with breast milk concentrations and micronutrient adequacy of exclusively breastfed Indonesian infants.
哺乳期妇女食用素食、素食和杂食饮食后的牛奶中的主要和痕量矿物质组成。
Br J Nutr. 2023 Sep 28;130(6):1005-1012. doi: 10.1017/S0007114522004007. Epub 2022 Dec 23.
哺乳期母亲的微量营养素摄入量及其与母乳浓度和纯母乳喂养印度尼西亚婴儿微量营养素充足性的关系。
Am J Clin Nutr. 2019 Aug 1;110(2):391-400. doi: 10.1093/ajcn/nqz047.
4
Limitations of the Evidence Base Used to Set Recommended Nutrient Intakes for Infants and Lactating Women.用于设定婴儿和哺乳期妇女推荐营养素摄入量的证据基础的局限性。
Adv Nutr. 2018 May 1;9(suppl_1):295S-312S. doi: 10.1093/advances/nmy019.
5
Overview of Nutrients in Human Milk.人乳中的营养成分概述。
Adv Nutr. 2018 May 1;9(suppl_1):278S-294S. doi: 10.1093/advances/nmy022.
6
Introduction to Current Knowledge on Micronutrients in Human Milk: Adequacy, Analysis, and Need for Research.人乳中微量营养素的当前知识介绍:充足性、分析及研究需求
Adv Nutr. 2018 May 1;9(suppl_1):275S-277S. doi: 10.1093/advances/nmy018.
7
Maternal Circulating Vitamin Status and Colostrum Vitamin Composition in Healthy Lactating Women-A Systematic Approach.健康哺乳期妇女的母体循环维生素状况和初乳维生素组成:系统方法。
Nutrients. 2018 May 28;10(6):687. doi: 10.3390/nu10060687.
8
Magnesium: Nutrition and Homoeostasis.镁:营养与稳态。
AIMS Public Health. 2016 May 23;3(2):329-340. doi: 10.3934/publichealth.2016.2.329. eCollection 2016.
9
Development of iron homeostasis in infants and young children.婴幼儿铁稳态的发展
Am J Clin Nutr. 2017 Dec;106(Suppl 6):1575S-1580S. doi: 10.3945/ajcn.117.155820. Epub 2017 Oct 25.
10
Breastmilk Production in the First 4 Weeks after Birth of Term Infants.足月儿出生后前4周的母乳分泌情况
Nutrients. 2016 Nov 25;8(12):756. doi: 10.3390/nu8120756.