Suppr超能文献

基于机器学习算法的妇科腹腔镜单孔手术预测模型

Prediction model of laparoendoscopic single-site surgery in gynecology using machine learning algorithm.

作者信息

Ma Jun, Yang Jiani, Cheng Shanshan, Jin Yue, Zhang Nan, Wang Chao, Wang Yu

机构信息

Department of Obstetrics and Gynecology, Renji Hospital, School of Medicine, Shanghai Jiaotong University, Shanghai, China.

出版信息

Wideochir Inne Tech Maloinwazyjne. 2021 Sep;16(3):587-596. doi: 10.5114/wiitm.2021.106081. Epub 2021 May 14.

Abstract

INTRODUCTION

Minimally invasive surgery has been widely used in gynecology. The laparoendoscopic single-site surgery (LESS) risk prediction model can provide evidence-based references for preoperative surgical procedure selection.

AIM

To determine whether the patients are suitable for LESS and to provide guidance for the clinical operation plan, we aimed to compare the clinical outcomes of LESS and conventional laparoscopic surgery (CLS) in gynecology. We constructed a LESS risk prediction model and predicted surgical conditions for the preoperative evaluation system.

MATERIAL AND METHODS

A retrospective analysis was carried out among patients undergoing LESS (n = 1019) and CLS (n = 1055). Various clinical indicators were compared. Multiple machine model algorithms were evaluated. The optimal results were chosen as the model to form the risk prediction model.

RESULTS

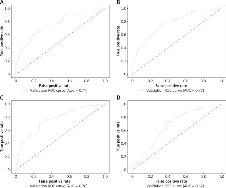
The LESS group showed advantages in the postoperative 12/24 h visual analog scale and Vancouver scar score compared with the CLS group (p < 0.05). The comparisons in other clinical indicators between the two groups showed that each group had advantages and the difference was statistically significant (p < 0.05), including operative time, estimated blood loss, and hospital stay. We evaluated the predictive value for various models using AUC values of 0.77, 0.77, 0.76, and 0.67 for XGBoost, random forest, GBDT, and logistic regression, respectively. The decision tree model was shown to be the optimal model.

CONCLUSIONS

LESS can reduce postoperative pain, shorten hospital stay and make scars acceptable. The risk prediction model based on a machine learning algorithm has manifested a high degree of accuracy and can satisfy the doctors' demand for individualized preoperative evaluation and surgical safety in LESS.

摘要

引言

微创手术已在妇科广泛应用。腹腔镜单孔手术(LESS)风险预测模型可为术前手术方案选择提供循证参考。

目的

为确定患者是否适合LESS并为临床手术计划提供指导,我们旨在比较LESS与传统腹腔镜手术(CLS)在妇科的临床结局。我们构建了LESS风险预测模型,并为术前评估系统预测手术情况。

材料与方法

对接受LESS(n = 1019)和CLS(n = 1055)的患者进行回顾性分析。比较了各种临床指标。评估了多种机器学习算法模型。选择最优结果作为模型以形成风险预测模型。

结果

与CLS组相比,LESS组在术后12/24小时视觉模拟评分和温哥华瘢痕评分方面显示出优势(p < 0.05)。两组其他临床指标的比较表明,每组都有优势且差异具有统计学意义(p < 0.05),包括手术时间、估计失血量和住院时间。我们分别使用XGBoost、随机森林、梯度提升决策树(GBDT)和逻辑回归的AUC值0.77、0.77、0.76和0.67评估了各种模型的预测价值。决策树模型被证明是最优模型。

结论

LESS可减轻术后疼痛,缩短住院时间并使瘢痕可接受。基于机器学习算法的风险预测模型已显示出高度准确性,并且可以满足医生对LESS个体化术前评估和手术安全性的需求。

https://cdn.ncbi.nlm.nih.gov/pmc/blobs/ff5b/8512514/f5ddea920947/WIITM-16-44048-g001.jpg

相似文献

1
Prediction model of laparoendoscopic single-site surgery in gynecology using machine learning algorithm.
Wideochir Inne Tech Maloinwazyjne. 2021 Sep;16(3):587-596. doi: 10.5114/wiitm.2021.106081. Epub 2021 May 14.
3
Robotic laparoendoscopic single-site compared with robotic multi-port sacrocolpopexy for apical compartment prolapse.
Am J Obstet Gynecol. 2020 Apr;222(4):358.e1-358.e11. doi: 10.1016/j.ajog.2019.09.048. Epub 2019 Oct 4.
4
Predicting postoperative delirium after microvascular decompression surgery with machine learning.
J Clin Anesth. 2020 Nov;66:109896. doi: 10.1016/j.jclinane.2020.109896. Epub 2020 Jun 3.
5
7
Comparison between Laparoendoscopic Single-Site and Conventional Laparoscopic Surgery in Mature Cystic Teratoma of the Ovary.
Gynecol Minim Invasive Ther. 2019 Oct 24;8(4):155-159. doi: 10.4103/GMIT.GMIT_3_19. eCollection 2019 Oct-Dec.
8
[Comparison of machine learning method and logistic regression model in prediction of acute kidney injury in severely burned patients].
Zhonghua Shao Shang Za Zhi. 2018 Jun 20;34(6):343-348. doi: 10.3760/cma.j.issn.1009-2587.2018.06.006.
9
Machine learning-based preoperative predictive analytics for lumbar spinal stenosis.
Neurosurg Focus. 2019 May 1;46(5):E5. doi: 10.3171/2019.2.FOCUS18723.

本文引用的文献

1
Machine learning and treatment outcome prediction for oral cancer.
J Oral Pathol Med. 2020 Nov;49(10):977-985. doi: 10.1111/jop.13089. Epub 2020 Aug 20.
2
Machine learning based prediction of perioperative blood loss in orthognathic surgery.
J Craniomaxillofac Surg. 2019 Nov;47(11):1676-1681. doi: 10.1016/j.jcms.2019.08.005. Epub 2019 Aug 30.
3
Gradient Boosting Decision Tree-Based Method for Predicting Interactions Between Target Genes and Drugs.
Front Genet. 2019 May 31;10:459. doi: 10.3389/fgene.2019.00459. eCollection 2019.
4
Explainable machine-learning predictions for the prevention of hypoxaemia during surgery.
Nat Biomed Eng. 2018 Oct;2(10):749-760. doi: 10.1038/s41551-018-0304-0. Epub 2018 Oct 10.
6
Meta-analysis of single-port versus conventional laparoscopic cholecystectomy comparing body image and cosmesis.
Br J Surg. 2017 Aug;104(9):1141-1159. doi: 10.1002/bjs.10574. Epub 2017 Jun 1.
7
Molecular Signature for Lymphatic Invasion Associated with Survival of Epithelial Ovarian Cancer.
Cancer Res Treat. 2018 Apr;50(2):461-473. doi: 10.4143/crt.2017.104. Epub 2017 May 22.
10
Laparoendoscopic single-site versus conventional laparoscopic surgery for ovarian mature cystic teratoma.
Obstet Gynecol Sci. 2015 Jul;58(4):294-301. doi: 10.5468/ogs.2015.58.4.294. Epub 2015 Jul 16.

文献AI研究员

20分钟写一篇综述,助力文献阅读效率提升50倍。

立即体验

用中文搜PubMed

大模型驱动的PubMed中文搜索引擎

马上搜索

文档翻译

学术文献翻译模型,支持多种主流文档格式。

立即体验