Suppr超能文献

心血管生物标志物作为慢性恰加斯心肌病不良结局的预测因子。

Cardiovascular biomarkers as predictors of adverse outcomes in chronic Chagas cardiomyopathy.

机构信息

Heart Failure and Cardiac Transplant Division, Fundación Cardiovascular de Colombia, Floridablanca, Colombia.

Public Health and Epidemiological Studies Group, Cardiovascular Foundation of Colombia, Floridablanca, Colombia.

出版信息

PLoS One. 2021 Oct 28;16(10):e0258622. doi: 10.1371/journal.pone.0258622. eCollection 2021.

Abstract

BACKGROUND

Chronic Chagas Cardiomyopathy (CCM) is a unique form of cardiomyopathy compared to other etiologies of heart failure. In CCM, risk prediction based on biomarkers has not been well-studied. We assessed the prognostic value of a biomarker panel to predict a composite outcome (CO), including the need for heart transplantation, use of left ventricular assist devices, and mortality.

METHODS

Prospective cohort study of 100 adults with different stages of CCM. Serum concentrations of amino-terminal pro-B type natriuretic peptide (NT-proBNP), galectin-3 (Gal-3), neutrophil gelatinase-associated lipocalin (NGAL), high sensitivity troponin T (hs-cTnT), soluble (sST2), and cystatin-C (Cys-c) were measured. Survival analyses were performed using Cox proportional hazard models.

RESULTS

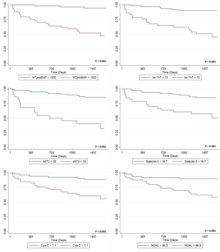
During a median follow-up of 52 months, the mortality rate was 20%, while the CO was observed in 25% of the patients. Four biomarkers (NT-proBNP, hs-cTnT, sST2, and Cys-C) were associated with the CO; concentrations of NT-proBNP and hs-cTnT were associated with the highest AUC (85.1 and 85.8, respectively). Combining these two biomarkers above their selected cut-off values significantly increased risk for the CO (HR 3.18; 95%CI 1.31-7.79). No events were reported in the patients in whom the two biomarkers were under the cut-off values, and when both levels were above cut-off values, the CO was observed in 60.71%.

CONCLUSION

The combination of NT-proBNP and hs-TnT above their selected cut-off values is associated with a 3-fold increase in the risk of the composite outcome among CCM patients. The use of cardiac biomarkers may improve prognostic evaluation of patients with CCM.

摘要

背景

与其他心力衰竭病因相比,慢性恰加斯心肌病(CCM)是一种独特形式的心肌病。在 CCM 中,基于生物标志物的风险预测尚未得到充分研究。我们评估了生物标志物组合预测复合结局(CO)的预后价值,包括需要心脏移植、使用左心室辅助装置和死亡率。

方法

对 100 例不同阶段 CCM 成人进行前瞻性队列研究。测量血清氨基末端 pro-B 型利钠肽(NT-proBNP)、半乳糖凝集素-3(Gal-3)、中性粒细胞明胶酶相关脂质运载蛋白(NGAL)、高敏肌钙蛋白 T(hs-cTnT)、可溶性(sST2)和胱抑素 C(Cys-c)的浓度。使用 Cox 比例风险模型进行生存分析。

结果

在中位随访 52 个月期间,死亡率为 20%,而 25%的患者出现 CO。有 4 种生物标志物(NT-proBNP、hs-cTnT、sST2 和 Cys-C)与 CO 相关;NT-proBNP 和 hs-cTnT 的浓度与最高 AUC 相关(分别为 85.1 和 85.8)。将这两种生物标志物的浓度高于其选定的截断值相结合,显著增加了 CO 的风险(HR 3.18;95%CI 1.31-7.79)。在两种生物标志物均低于截断值的患者中未报告任何事件,而当两种水平均高于截断值时,CO 发生率为 60.71%。

结论

NT-proBNP 和 hs-TnT 高于其选定截断值的组合与 CCM 患者 CO 风险增加 3 倍相关。心脏生物标志物的使用可能会改善 CCM 患者的预后评估。

https://cdn.ncbi.nlm.nih.gov/pmc/blobs/61c5/8553084/a685db30b6df/pone.0258622.g001.jpg

文献检索

告别复杂PubMed语法,用中文像聊天一样搜索,搜遍4000万医学文献。AI智能推荐,让科研检索更轻松。

立即免费搜索

文件翻译

保留排版,准确专业,支持PDF/Word/PPT等文件格式,支持 12+语言互译。

免费翻译文档

深度研究

AI帮你快速写综述,25分钟生成高质量综述,智能提取关键信息,辅助科研写作。

立即免费体验