• 文献检索
  • 文档翻译
  • 深度研究
  • 学术资讯
  • Suppr Zotero 插件Zotero 插件
  • 邀请有礼
  • 套餐&价格
  • 历史记录
应用&插件
Suppr Zotero 插件Zotero 插件浏览器插件Mac 客户端Windows 客户端微信小程序
定价
高级版会员购买积分包购买API积分包
服务
文献检索文档翻译深度研究API 文档MCP 服务
关于我们
关于 Suppr公司介绍联系我们用户协议隐私条款
关注我们

Suppr 超能文献

核心技术专利:CN118964589B侵权必究
粤ICP备2023148730 号-1Suppr @ 2026

文献检索

告别复杂PubMed语法,用中文像聊天一样搜索,搜遍4000万医学文献。AI智能推荐,让科研检索更轻松。

立即免费搜索

文件翻译

保留排版,准确专业,支持PDF/Word/PPT等文件格式,支持 12+语言互译。

免费翻译文档

深度研究

AI帮你快速写综述,25分钟生成高质量综述,智能提取关键信息,辅助科研写作。

立即免费体验

蛋白质补充结合抗阻运动训练可改善患有巴斯综合征的青少年晚期及青年成年人的骨骼肌力量并提高生活质量:一项初步研究。

Resistance exercise training with protein supplementation improves skeletal muscle strength and improves quality of life in late adolescents and young adults with Barth syndrome: A pilot study.

作者信息

Bohnert Kathryn L, Ditzenberger Grace, Bittel Adam J, de las Fuentes Lisa, Corti Manuela, Pacak Christina A, Taylor Carolyn, Byrne Barry J, Reeds Dominic N, Cade W Todd

机构信息

Program in Physical Therapy Washington University School of Medicine St. Louis Missouri USA.

Doctor of Physical Therapy Division Duke University School of Medicine Durham North Carolina USA.

出版信息

JIMD Rep. 2021 Aug 9;62(1):74-84. doi: 10.1002/jmd2.12244. eCollection 2021 Nov.

DOI:10.1002/jmd2.12244
PMID:34765401
原文链接:https://pmc.ncbi.nlm.nih.gov/articles/PMC8574175/
Abstract

BACKGROUND

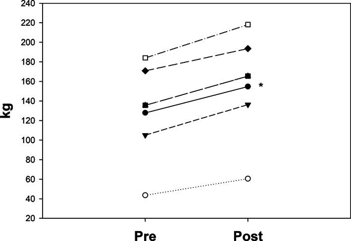
Muscle weakness and exercise intolerance contribute to reduced quality of life (QOL) in Barth syndrome (BTHS). Our group previously found that 12 weeks of resistance exercise training (RET) improved muscle strength, however, did not increase muscle (lean) mass or QOL in n = 3 young adults with BTHS. The overall objective of this pilot study was to examine the safety and effectiveness of RET plus daily protein supplementation (RET + protein) on muscle strength, skeletal muscle mass, exercise tolerance, cardiac function, and QOL in late adolescents/young adults with BTHS.

METHODS

Participants with BTHS (n = 5, age 27 ± 7) performed 12 weeks of supervised RET (60 minutes per session, three sessions/week) and consumed 42 g/day of whey protein. Muscle strength, muscle mass, exercise capacity, cardiac function, and health-related QOL were assessed pre-post intervention.

RESULTS

RET + protein was safe, increased muscle strength and quality of life, and tended to increase lean mass.

CONCLUSIONS

RET + protein appears safe, increases muscle strength and quality of life and tends to increase lean mass. Larger studies are needed to confirm these findings and to fully determine the effects of RET + protein in individuals with BTHS.

摘要

背景

肌肉无力和运动不耐受会导致巴特综合征(BTHS)患者的生活质量(QOL)下降。我们团队之前发现,为期12周的抗阻运动训练(RET)可改善n = 3名BTHS年轻成人的肌肉力量,但并未增加肌肉(瘦体重)质量或生活质量。这项初步研究的总体目标是检验RET加每日蛋白质补充剂(RET + 蛋白质)对晚期青少年/BTHS年轻成人的肌肉力量、骨骼肌质量、运动耐力、心脏功能和生活质量的安全性和有效性。

方法

BTHS患者(n = 5,年龄27±7岁)进行了12周的监督下RET(每次60分钟,每周三次),并每天摄入42克乳清蛋白。在干预前后评估肌肉力量、肌肉质量、运动能力、心脏功能和与健康相关的生活质量。

结果

RET + 蛋白质是安全的,可增加肌肉力量和生活质量,并倾向于增加瘦体重。

结论

RET + 蛋白质似乎是安全的,可增加肌肉力量和生活质量,并倾向于增加瘦体重。需要进行更大规模的研究来证实这些发现,并全面确定RET + 蛋白质对BTHS患者的影响。

https://cdn.ncbi.nlm.nih.gov/pmc/blobs/a2e0/8574175/7b89a57488ef/JMD2-62-74-g002.jpg
https://cdn.ncbi.nlm.nih.gov/pmc/blobs/a2e0/8574175/00860a7b8424/JMD2-62-74-g001.jpg
https://cdn.ncbi.nlm.nih.gov/pmc/blobs/a2e0/8574175/7b89a57488ef/JMD2-62-74-g002.jpg
https://cdn.ncbi.nlm.nih.gov/pmc/blobs/a2e0/8574175/00860a7b8424/JMD2-62-74-g001.jpg
https://cdn.ncbi.nlm.nih.gov/pmc/blobs/a2e0/8574175/7b89a57488ef/JMD2-62-74-g002.jpg

相似文献

1
Resistance exercise training with protein supplementation improves skeletal muscle strength and improves quality of life in late adolescents and young adults with Barth syndrome: A pilot study.蛋白质补充结合抗阻运动训练可改善患有巴斯综合征的青少年晚期及青年成年人的骨骼肌力量并提高生活质量:一项初步研究。
JIMD Rep. 2021 Aug 9;62(1):74-84. doi: 10.1002/jmd2.12244. eCollection 2021 Nov.
2
Reduced Muscle Strength in Barth Syndrome May Be Improved by Resistance Exercise Training: A Pilot Study.阻力运动训练可能改善巴氏综合征患者的肌肉力量减弱:一项初步研究。
JIMD Rep. 2018;41:63-72. doi: 10.1007/8904_2018_102. Epub 2018 Apr 14.
3
Impaired cardiac and skeletal muscle bioenergetics in children, adolescents, and young adults with Barth syndrome.患有巴斯综合征的儿童、青少年和年轻人的心肌和骨骼肌生物能量学受损。
Physiol Rep. 2017 Feb;5(3). doi: 10.14814/phy2.13130.
4
Endurance Exercise Training in Young Adults with Barth Syndrome: A Pilot Study.针对患有巴斯综合征的年轻成年人的耐力运动训练:一项初步研究。
JIMD Rep. 2017;32:15-24. doi: 10.1007/8904_2016_553. Epub 2016 Jun 11.
5
Effectiveness of Whey Protein Supplementation during Resistance Exercise Training on Skeletal Muscle Mass and Strength in Older People with Sarcopenia: A Systematic Review and Meta-Analysis.乳清蛋白补充剂在抗阻运动训练对伴有肌少症的老年人骨骼肌量和力量的有效性:系统评价和荟萃分析。
Nutrients. 2023 Aug 2;15(15):3424. doi: 10.3390/nu15153424.
6
Protein Supplementation Has Minimal Effects on Muscle Adaptations during Resistance Exercise Training in Young Men: A Double-Blind Randomized Clinical Trial.蛋白质补充对年轻男性抗阻运动训练期间的肌肉适应影响极小:一项双盲随机临床试验
J Nutr. 2016 Sep;146(9):1660-9. doi: 10.3945/jn.116.231803. Epub 2016 Jul 27.
7
A double-blind placebo controlled trial into the impacts of HMB supplementation and exercise on free-living muscle protein synthesis, muscle mass and function, in older adults.一项双盲安慰剂对照试验,研究 HMB 补充剂和运动对老年人自由生活肌肉蛋白质合成、肌肉质量和功能的影响。
Clin Nutr. 2019 Oct;38(5):2071-2078. doi: 10.1016/j.clnu.2018.09.025. Epub 2018 Sep 27.
8
Impaired cardiac reserve and severely diminished skeletal muscle O₂ utilization mediate exercise intolerance in Barth syndrome.心脏储备功能受损和骨骼肌氧利用严重减少介导巴特综合征的运动不耐受。
Am J Physiol Heart Circ Physiol. 2011 Nov;301(5):H2122-9. doi: 10.1152/ajpheart.00479.2010. Epub 2011 Aug 26.
9
Quality of life in Barth syndrome.巴特综合征患者的生活质量
Ther Adv Rare Dis. 2022 Jun 11;3:26330040221093743. doi: 10.1177/26330040221093743. eCollection 2022 Jan-Dec.
10
Effects of 12 Weeks of Hypertrophy Resistance Exercise Training Combined with Collagen Peptide Supplementation on the Skeletal Muscle Proteome in Recreationally Active Men.12 周抗阻力量训练联合补充胶原蛋白肽对活跃男性骨骼肌蛋白质组的影响。
Nutrients. 2019 May 14;11(5):1072. doi: 10.3390/nu11051072.

引用本文的文献

1
Clinical effect of anti-resistance exercise combined with nutritional intervention in the treatment of elderly patients with sarcopenia.抗阻运动联合营养干预治疗老年肌少症患者的临床效果。
Medicine (Baltimore). 2024 Sep 13;103(37):e39472. doi: 10.1097/MD.0000000000039472.
2
Activation of the integrated stress response rewires cardiac metabolism in Barth syndrome.整合应激反应激活巴尔综合征中心脏代谢重编程。
Basic Res Cardiol. 2023 Nov 6;118(1):47. doi: 10.1007/s00395-023-01017-x.

本文引用的文献

1
Myocardial glucose and fatty acid metabolism is altered and associated with lower cardiac function in young adults with Barth syndrome.患有巴特综合征的年轻成年人的心肌葡萄糖和脂肪酸代谢发生改变,并与心功能降低相关。
J Nucl Cardiol. 2021 Aug;28(4):1649-1659. doi: 10.1007/s12350-019-01933-3. Epub 2019 Nov 8.
2
The effect of protein and essential amino acid supplementation on muscle strength and performance in patients with chronic heart failure: a systematic review.蛋白质和必需氨基酸补充剂对慢性心力衰竭患者肌肉力量和运动能力的影响:一项系统评价
Eur J Nutr. 2020 Aug;59(5):1785-1801. doi: 10.1007/s00394-019-02108-z. Epub 2019 Oct 28.
3
Blunted fat oxidation upon submaximal exercise is partially compensated by enhanced glucose metabolism in children, adolescents, and young adults with Barth syndrome.
在最大运动强度下,巴特综合征患儿、青少年和青年的脂肪氧化作用减弱,但葡萄糖代谢增强,部分代偿了这一现象。
J Inherit Metab Dis. 2019 May;42(3):480-493. doi: 10.1002/jimd.12094. Epub 2019 Apr 11.
4
Functional exercise capacity, strength, balance and motion reaction time in Barth syndrome.巴特综合征的功能运动能力、力量、平衡和运动反应时间。
Orphanet J Rare Dis. 2019 Jan 22;14(1):37. doi: 10.1186/s13023-019-1006-8.
5
Effects of exercise modalities on central hemodynamics, arterial stiffness and cardiac function in cardiovascular disease: Systematic review and meta-analysis of randomized controlled trials.运动方式对心血管疾病中心血液动力学、动脉僵硬度和心功能的影响:随机对照试验的系统评价和荟萃分析。
PLoS One. 2018 Jul 23;13(7):e0200829. doi: 10.1371/journal.pone.0200829. eCollection 2018.
6
Reduced Muscle Strength in Barth Syndrome May Be Improved by Resistance Exercise Training: A Pilot Study.阻力运动训练可能改善巴氏综合征患者的肌肉力量减弱:一项初步研究。
JIMD Rep. 2018;41:63-72. doi: 10.1007/8904_2018_102. Epub 2018 Apr 14.
7
A systematic review, meta-analysis and meta-regression of the effect of protein supplementation on resistance training-induced gains in muscle mass and strength in healthy adults.蛋白质补充对健康成年人抗阻训练引起的肌肉量和力量增加影响的系统评价、荟萃分析和荟萃回归
Br J Sports Med. 2018 Mar;52(6):376-384. doi: 10.1136/bjsports-2017-097608. Epub 2017 Jul 11.
8
Impaired cardiac and skeletal muscle bioenergetics in children, adolescents, and young adults with Barth syndrome.患有巴斯综合征的儿童、青少年和年轻人的心肌和骨骼肌生物能量学受损。
Physiol Rep. 2017 Feb;5(3). doi: 10.14814/phy2.13130.
9
The effects of resistance training on muscle strength, quality of life and aerobic capacity in patients with chronic heart failure - A meta-analysis.阻力训练对慢性心力衰竭患者肌肉力量、生活质量和有氧运动能力的影响——一项荟萃分析。
Int J Cardiol. 2017 Jan 15;227:413-423. doi: 10.1016/j.ijcard.2016.11.023. Epub 2016 Nov 7.
10
Supplementation of l-Alanyl-l-Glutamine and Fish Oil Improves Body Composition and Quality of Life in Patients With Chronic Heart Failure.补充L-丙氨酰-L-谷氨酰胺和鱼油可改善慢性心力衰竭患者的身体成分和生活质量。
Circ Heart Fail. 2015 Nov;8(6):1077-87. doi: 10.1161/CIRCHEARTFAILURE.115.002073. Epub 2015 Aug 12.