• 文献检索
  • 文档翻译
  • 深度研究
  • 学术资讯
  • Suppr Zotero 插件Zotero 插件
  • 邀请有礼
  • 套餐&价格
  • 历史记录
应用&插件
Suppr Zotero 插件Zotero 插件浏览器插件Mac 客户端Windows 客户端微信小程序
定价
高级版会员购买积分包购买API积分包
服务
文献检索文档翻译深度研究API 文档MCP 服务
关于我们
关于 Suppr公司介绍联系我们用户协议隐私条款
关注我们

Suppr 超能文献

核心技术专利:CN118964589B侵权必究
粤ICP备2023148730 号-1Suppr @ 2026

文献检索

告别复杂PubMed语法,用中文像聊天一样搜索,搜遍4000万医学文献。AI智能推荐,让科研检索更轻松。

立即免费搜索

文件翻译

保留排版,准确专业,支持PDF/Word/PPT等文件格式,支持 12+语言互译。

免费翻译文档

深度研究

AI帮你快速写综述,25分钟生成高质量综述,智能提取关键信息,辅助科研写作。

立即免费体验

二维(2D)和三维(3D)超声在孕早期和孕中期母犬妊娠龄估计中的比较。

Comparison of two-dimensional (2D) and three-dimensional (3D) ultrasonography for gestational ageing in the early to mid-pregnant bitch.

机构信息

Clinic of Reproductive Medicine, Vetsuisse Faculty, University of Zurich, Zurich, Switzerland.

Department of Small Animal Clinical Sciences, Virginia-Maryland College of Veterinary Medicine, Blacksburg, Virginia, USA.

出版信息

Reprod Domest Anim. 2022 Mar;57(3):235-245. doi: 10.1111/rda.14045. Epub 2021 Nov 25.

DOI:10.1111/rda.14045
PMID:34779061
原文链接:https://pmc.ncbi.nlm.nih.gov/articles/PMC9299254/
Abstract

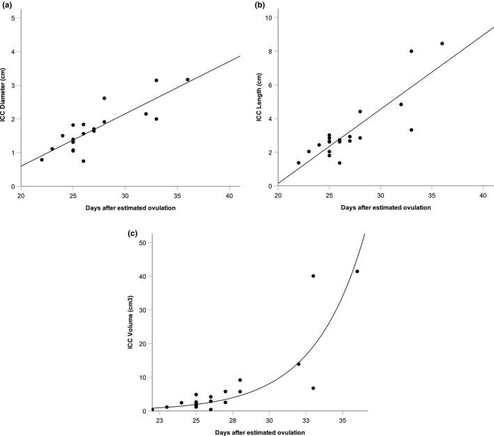
Accuracy of prediction of the day of parturition in the bitch decreases with advancing pregnancy. We hypothesized that three-dimensional (3D) volume ultrasonography may be superior for gestational ageing than 2D measurements. Thirty-two pregnancy examinations were performed in 25 bitches of different breeds 21-34 days after the first mating. Ovulation date from serum progesterone concentrations was estimated for 15 bitches, and parturition date was recorded for all dogs. Inner chorionic cavity (ICC) diameters and ICC length of the conceptus were measured by 2D B-mode, and ICC volume by 3D ultrasonography (Voluson i, GE Healthcare). Linear or exponential regressions between ICC measurements and time, i.e. days after estimated ovulation or days before parturition, were performed with significance set at p < .05. ICC volume increased exponentially over time, while ICC diameter showed a linear growth. ICC volume had similar accuracy (R  = .718, p < .001) to ICC diameter and ICC length (R  = .707 and R  = .728, p < .001) when analysed in relation to days after estimated ovulation or in relation to days before parturition (R  = .818, R  = .800 and R  = .810, p < .001 respectively). There were strong (R  ≥ .875) significant associations between all ICC measurements. In conclusion, ICC volume did not improve canine gestational ageing accuracy, which supports the continued use of the ICC diameter, particularly in light of the difficulty in obtaining 3D measurements. On the basis of ICC volume, the growth of the canine conceptus appeared to be exponential already during the first half of pregnancy.

摘要

预测母犬分娩日期的准确性会随着怀孕时间的延长而降低。我们假设三维(3D)体积超声检查在妊娠龄估计方面可能优于二维测量。对 25 只不同品种的母犬在首次交配后 21-34 天进行了 32 次妊娠检查。对 15 只母犬的血清孕酮浓度进行了排卵日期估计,并记录了所有犬的分娩日期。通过 2D B 模式测量内绒毛腔(ICC)直径和胚胎 ICC 长度,并通过 3D 超声(GE Healthcare 的 Voluson i)测量 ICC 体积。对 ICC 测量值与时间(即估计排卵后的天数或分娩前的天数)之间的线性或指数回归进行分析,显著性水平设为 p <.05。ICC 体积随时间呈指数增长,而 ICC 直径呈线性增长。当分析与估计排卵后的天数或分娩前的天数的关系时,ICC 体积与 ICC 直径和 ICC 长度具有相似的准确性(R ² =.718,p <.001)(R ² =.707 和 R ² =.728,p <.001)(R ² =.818,R ² =.800 和 R ² =.810,p <.001 分别)。所有 ICC 测量值之间均存在强相关(R ≥.875)。总之,ICC 体积并没有提高犬妊娠龄估计的准确性,这支持继续使用 ICC 直径,特别是考虑到获得 3D 测量值的困难。根据 ICC 体积,犬胚胎的生长在妊娠的前半段似乎已经呈指数增长。

https://cdn.ncbi.nlm.nih.gov/pmc/blobs/6f5a/9299254/b1680a2aa5fb/RDA-57-235-g005.jpg
https://cdn.ncbi.nlm.nih.gov/pmc/blobs/6f5a/9299254/7bdcc287853c/RDA-57-235-g006.jpg
https://cdn.ncbi.nlm.nih.gov/pmc/blobs/6f5a/9299254/ebfe1a7249cf/RDA-57-235-g002.jpg
https://cdn.ncbi.nlm.nih.gov/pmc/blobs/6f5a/9299254/8a49c00f3699/RDA-57-235-g004.jpg
https://cdn.ncbi.nlm.nih.gov/pmc/blobs/6f5a/9299254/a240c56f675f/RDA-57-235-g001.jpg
https://cdn.ncbi.nlm.nih.gov/pmc/blobs/6f5a/9299254/582bc48d9e8e/RDA-57-235-g003.jpg
https://cdn.ncbi.nlm.nih.gov/pmc/blobs/6f5a/9299254/b1680a2aa5fb/RDA-57-235-g005.jpg
https://cdn.ncbi.nlm.nih.gov/pmc/blobs/6f5a/9299254/7bdcc287853c/RDA-57-235-g006.jpg
https://cdn.ncbi.nlm.nih.gov/pmc/blobs/6f5a/9299254/ebfe1a7249cf/RDA-57-235-g002.jpg
https://cdn.ncbi.nlm.nih.gov/pmc/blobs/6f5a/9299254/8a49c00f3699/RDA-57-235-g004.jpg
https://cdn.ncbi.nlm.nih.gov/pmc/blobs/6f5a/9299254/a240c56f675f/RDA-57-235-g001.jpg
https://cdn.ncbi.nlm.nih.gov/pmc/blobs/6f5a/9299254/582bc48d9e8e/RDA-57-235-g003.jpg
https://cdn.ncbi.nlm.nih.gov/pmc/blobs/6f5a/9299254/b1680a2aa5fb/RDA-57-235-g005.jpg

相似文献

1
Comparison of two-dimensional (2D) and three-dimensional (3D) ultrasonography for gestational ageing in the early to mid-pregnant bitch.二维(2D)和三维(3D)超声在孕早期和孕中期母犬妊娠龄估计中的比较。
Reprod Domest Anim. 2022 Mar;57(3):235-245. doi: 10.1111/rda.14045. Epub 2021 Nov 25.
2
Specific fetometric formulas of ICC and BP for calculating the parturition date in the miniature breeds of canine.用于计算小型犬种分娩日期的特定胎儿测量公式,包括头臀长(ICC)和双顶径(BP)。
Reprod Domest Anim. 2018 Apr;53(2):545-549. doi: 10.1111/rda.13143. Epub 2018 Feb 5.
3
Ultrasonographic fetometry formulas of inner chorionic cavity diameter and biparietal diameter for medium-sized dogs can be used in giant breeds.中型犬的绒毛膜内腔直径和双顶径的超声测量公式可用于大型犬种。
Theriogenology. 2015 Sep 15;84(5):779-83. doi: 10.1016/j.theriogenology.2015.05.012. Epub 2015 May 19.
4
Predicting the Parturition Date in Bitches of Different Body Weight by Ultrasonographic Measurements of Inner Chorionic Cavity Diameter and Biparietal Diameter.通过超声测量犬的绒毛膜内腔直径和双顶径预测不同体重母犬的分娩日期
Reprod Domest Anim. 2014 Apr;49(2):292-6. doi: 10.1111/rda.12271. Epub 2014 Jan 31.
5
Comparison of the accuracy of two ultrasonographic measurements in predicting the parturition date in the bitch.两种超声测量方法在预测母犬分娩日期准确性方面的比较。
J Small Anim Pract. 2006 Nov;47(11):670-3. doi: 10.1111/j.1748-5827.2006.00108.x.
6
Evaluation of embryo-foetal biometry and its correlation with parturition date in Toy Poodle bitches.玩具贵宾犬母犬的胚胎-胎儿生物测量及其与分娩日期的相关性评估。
Reprod Domest Anim. 2024 Jun;59(6):e14621. doi: 10.1111/rda.14621.
7
Clinical use of fetal measurements to determine the whelping day in German shepherd breed bitches.利用胎儿测量来确定德国牧羊犬母犬分娩日期的临床应用。
Anim Reprod Sci. 2017 Sep;184:110-119. doi: 10.1016/j.anireprosci.2017.07.005. Epub 2017 Jul 12.
8
Breed-specific fetal biometry and factors affecting the prediction of whelping date in the German shepherd dog.特定品种的胎儿生物测量及影响德国牧羊犬分娩日期预测的因素。
Anim Reprod Sci. 2015 Jan;152:117-22. doi: 10.1016/j.anireprosci.2014.11.018. Epub 2014 Dec 4.
9
Establishment of the prediction table of parturition day with ultrasonography in small pet dogs.小型宠物犬超声检查分娩日期预测表的建立。
J Vet Med Sci. 2001 Jul;63(7):715-21. doi: 10.1292/jvms.63.715.
10
Accuracy of canine parturition date prediction using fetal measurements obtained by ultrasonography.使用超声检查获得的胎儿测量值预测犬分娩日期的准确性。
Theriogenology. 2003 Oct 15;60(7):1309-17. doi: 10.1016/s0093-691x(03)00146-8.

本文引用的文献

1
Support vector regression algorithm modeling to predict the parturition date of small - to medium-sized dogs using maternal weight and fetal biparietal diameter.支持向量回归算法建模,利用母犬体重和胎儿双顶径预测中小型犬的分娩日期。
Vet World. 2021 Apr;14(4):829-834. doi: 10.14202/vetworld.2021.829-834. Epub 2021 Apr 2.
2
Fetal weight estimation by automated three-dimensional limb volume model in late third trimester compared to two-dimensional model: a cross-sectional prospective observational study.应用三维肢体体积模型自动估计妊娠晚期胎儿体重与二维模型的比较:一项横断面前瞻性观察研究。
BMC Pregnancy Childbirth. 2021 May 8;21(1):365. doi: 10.1186/s12884-021-03830-5.
3
Usefulness of Maternal and Fetal Parameters for the Prediction of Parturition Date in Dogs.
母犬和胎儿参数对预测犬分娩日期的有用性。
Animals (Basel). 2021 Mar 19;11(3):878. doi: 10.3390/ani11030878.
4
Estimated date of delivery in Chihuahua breed bitches, based on embryo-fetal biometry, assessed by ultrasonography.基于超声检查评估的胚胎-胎儿生物测量法,对奇瓦瓦犬种母犬的预计分娩日期。
Anim Reprod. 2020 Aug 4;17(3):e20200037. doi: 10.1590/1984-3143-AR2020-0037.
5
Transrectal three-dimensional fetal volumetry and crown-rump length measurement during early gestation in mares: Intra- and inter-observer reliability and agreement.母马妊娠早期经直肠三维胎儿容积测定及头臀长测量:观察者内及观察者间的可靠性和一致性
Theriogenology. 2019 Mar 1;126:266-271. doi: 10.1016/j.theriogenology.2018.11.012. Epub 2018 Nov 16.
6
Normal progesterone profiles during estrus in the bitch: A prospective analysis of 1420 estrous cycles.母犬发情期的正常孕酮水平:对1420个发情周期的前瞻性分析。
Theriogenology. 2019 Feb;125:37-42. doi: 10.1016/j.theriogenology.2018.10.018. Epub 2018 Oct 22.
7
Gestational Aging and Determination of Parturition Date in the Bitch and Queen Using Ultrasonography and Radiography.使用超声检查和X线摄影术确定母犬和母猫的妊娠年龄及分娩日期
Vet Clin North Am Small Anim Pract. 2018 Jul;48(4):617-638. doi: 10.1016/j.cvsm.2018.02.008. Epub 2018 Apr 17.
8
Is the biparietal diameter of fetuses in late gestation too variable to predict readiness for cesarean section in dogs?妊娠晚期犬胎儿的双顶径是否变化太大以至于无法预测剖宫产的时机?
Theriogenology. 2018 Jun;113:50-55. doi: 10.1016/j.theriogenology.2018.02.005. Epub 2018 Feb 10.
9
Specific fetometric formulas of ICC and BP for calculating the parturition date in the miniature breeds of canine.用于计算小型犬种分娩日期的特定胎儿测量公式,包括头臀长(ICC)和双顶径(BP)。
Reprod Domest Anim. 2018 Apr;53(2):545-549. doi: 10.1111/rda.13143. Epub 2018 Feb 5.
10
Timing of fertile period for successful pregnancy in American Bully dogs.美国恶霸犬成功受孕的排卵期时间
Theriogenology. 2017 Dec;104:49-54. doi: 10.1016/j.theriogenology.2017.07.034. Epub 2017 Jul 26.