Suppr超能文献

碳酸酐酶 IX 和 XII 的药理学抑制增强低氧条件下急性髓系白血病细胞的靶向性。

Pharmacological inhibition of Carbonic Anhydrase IX and XII to enhance targeting of acute myeloid leukaemia cells under hypoxic conditions.

机构信息

Melvin and Bren Simon Comprehensive Cancer Center, Indiana University, Indianapolis, Indiana, USA.

Department of Molecular Biology and Biotechnology, Faculty of Biology and Geology, Babes-Bolyai University, Cluj-Napoca, Romania.

出版信息

J Cell Mol Med. 2021 Dec;25(24):11039-11052. doi: 10.1111/jcmm.17027. Epub 2021 Nov 17.

Abstract

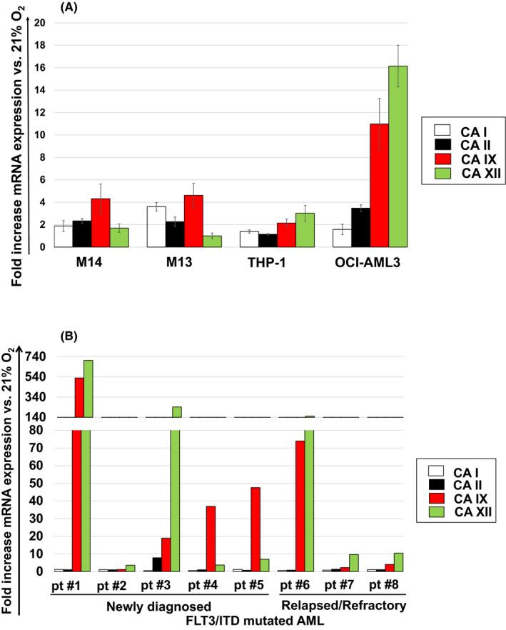
Acute myeloid leukaemia (AML) is an aggressive form of blood cancer that carries a dismal prognosis. Several studies suggest that the poor outcome is due to a small fraction of leukaemic cells that elude treatment and survive in specialised, oxygen (O )-deprived niches of the bone marrow. Although several AML drug targets such as FLT3, IDH1/2 and CD33 have been established in recent years, survival rates remain unsatisfactory, which indicates that other, yet unrecognized, mechanisms influence the ability of AML cells to escape cell death and to proliferate in hypoxic environments. Our data illustrates that Carbonic Anhydrases IX and XII (CA IX/XII) are critical for leukaemic cell survival in the O -deprived milieu. CA IX and XII function as transmembrane proteins that mediate intracellular pH under low O conditions. Because maintaining a neutral pH represents a key survival mechanism for tumour cells in O -deprived settings, we sought to elucidate the role of dual CA IX/XII inhibition as a novel strategy to eliminate AML cells under hypoxic conditions. Our findings demonstrate that the dual CA IX/XII inhibitor FC531 may prove to be of value as an adjunct to chemotherapy for the treatment of AML.

摘要

急性髓系白血病(AML)是一种侵袭性血液癌症,预后不良。多项研究表明,这种不良预后是由于一小部分白血病细胞逃避治疗并在骨髓中专门的、缺氧(O )剥夺的龛位中存活所致。尽管近年来已经确定了几种 AML 药物靶点,如 FLT3、IDH1/2 和 CD33,但生存率仍然不尽如人意,这表明其他尚未被识别的机制影响 AML 细胞逃避细胞死亡并在缺氧环境中增殖的能力。我们的数据表明,碳酸酐酶 IX 和 XII(CA IX/XII)对于缺氧环境中的白血病细胞存活至关重要。CA IX 和 XII 作为跨膜蛋白发挥作用,在低 O 条件下调节细胞内 pH。由于在缺氧环境中保持中性 pH 值是肿瘤细胞的关键存活机制,我们试图阐明双重 CA IX/XII 抑制作为一种消除缺氧条件下 AML 细胞的新策略的作用。我们的研究结果表明,双重 CA IX/XII 抑制剂 FC531 可能在联合化疗治疗 AML 方面具有一定的价值。

https://cdn.ncbi.nlm.nih.gov/pmc/blobs/6b49/8650039/40479d0d6d00/JCMM-25-11039-g003.jpg

文献检索

告别复杂PubMed语法,用中文像聊天一样搜索,搜遍4000万医学文献。AI智能推荐,让科研检索更轻松。

立即免费搜索

文件翻译

保留排版,准确专业,支持PDF/Word/PPT等文件格式,支持 12+语言互译。

免费翻译文档

深度研究

AI帮你快速写综述,25分钟生成高质量综述,智能提取关键信息,辅助科研写作。

立即免费体验