Suppr超能文献

基于动机的短期远程医疗干预对互联网使用障碍个体的疗效——一项试点研究。

Efficacy of short-term telemedicine motivation-based intervention for individuals with Internet Use Disorder - A pilot-study.

作者信息

Bottel Laura, Brand Matthias, Dieris-Hirche Jan, Herpertz Stephan, Timmesfeld Nina, Te Wildt Bert Theodor

机构信息

1 Ruhr University Bochum, LWL-University Hospital, Department of Psychosomatic Medicine and Psychotherapy, Bochum, Germany.

3 General Psychology: Cognition and Center for Behavioral Addiction Research (CeBAR), University of Duisburg-Essen, Duisburg, Germany.

出版信息

J Behav Addict. 2021 Nov 17;10(4):1005-14. doi: 10.1556/2006.2021.00071.

Abstract

BACKGROUND

Internet Use Disorders (IUD) cover a range of online-related behavioral addictions, which are acknowledged and strengthened by the inclusion of (online) gaming disorder in the ICD-11 by the World Health Organization. Internet-based telemedicine interventions offer the possibility to reach out for individuals with IUD where the disorder emerges, in order to enhance their motivation to change their Internet use behavior.

METHODS

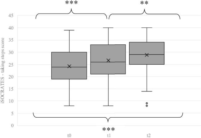
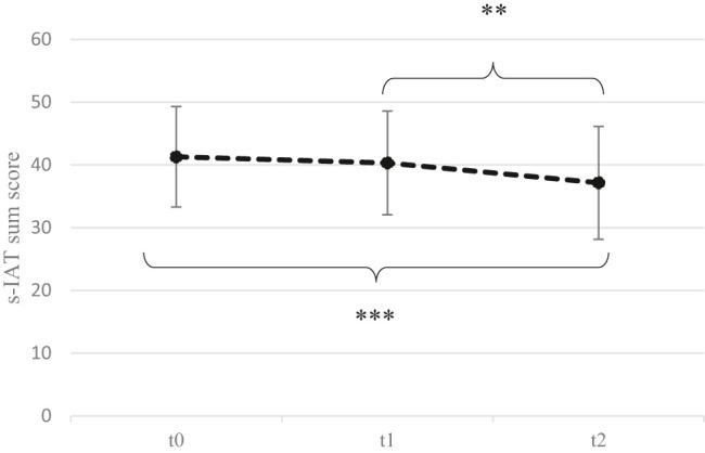
In the course of the short-term telemedicine motivation-based intervention, adult participants took part in two webcam-based counselling sessions based on Motivational Interviewing techniques. Two weeks after the first webcam-based counselling session the second took place. Participants completed questionnaires regarding the motivation to change their Internet use behavior (iSOCRATES) and symptoms of IUD (s-IAT) at three times of measurement: t0 (pre-intervention), t1 (mid-intervention) and t2 (post-intervention).

RESULTS

73 affected individuals (83.6% male, average age 35 years (SD = 12.49) took part in the whole intervention including the questionnaire-based post intervention survey (t2). Over the course of the telemedicine intervention, a significant increase in the motivation to change with regard to the own Internet use behavior as well as a significant reduction in the symptom severity of an IUD and duration of Internet use (reduction of 2 hrs/d) were shown.

CONCLUSION

The telemedicine pilot study shows that online-based consultation can be effective and helpful for individuals with IUD. Therefore, such a telemedicine intervention may be a suitable extension to the already existing analogous care system.

摘要

背景

互联网使用障碍(IUD)涵盖一系列与网络相关的行为成瘾,世界卫生组织将(在线)游戏障碍纳入《国际疾病分类第11版》(ICD - 11),这使得这些行为成瘾得到了认可和强化。基于互联网的远程医疗干预为接触患有IUD的个体提供了可能性,这些个体在出现该障碍的地方接受干预,以增强他们改变互联网使用行为的动机。

方法

在基于远程医疗动机的短期干预过程中,成年参与者参加了两次基于网络摄像头的咨询会议,这些会议采用动机性访谈技术。在第一次基于网络摄像头的咨询会议两周后进行了第二次会议。参与者在三个测量时间点完成了关于改变互联网使用行为的动机(iSOCRATES)和IUD症状(s - IAT)的问卷:t0(干预前)、t1(干预中期)和t2(干预后)。

结果

73名受影响个体(83.6%为男性,平均年龄35岁(标准差 = 12.49))参加了包括基于问卷的干预后调查(t2)在内的整个干预。在远程医疗干预过程中,个体改变自身互联网使用行为的动机显著增加,同时IUD的症状严重程度和互联网使用时长显著降低(每天减少2小时)。

结论

远程医疗试点研究表明,基于网络的咨询对患有IUD的个体可能是有效且有帮助的。因此,这种远程医疗干预可能是对现有类似护理系统的合适扩展。

https://cdn.ncbi.nlm.nih.gov/pmc/blobs/f752/8987429/3f4142eb9827/jba-10-1005-g001.jpg

文献检索

告别复杂PubMed语法,用中文像聊天一样搜索,搜遍4000万医学文献。AI智能推荐,让科研检索更轻松。

立即免费搜索

文件翻译

保留排版,准确专业,支持PDF/Word/PPT等文件格式,支持 12+语言互译。

免费翻译文档

深度研究

AI帮你快速写综述,25分钟生成高质量综述,智能提取关键信息,辅助科研写作。

立即免费体验