Leoni Fabio, Calero Carles, Franzese Giancarlo
Department of Physics, Sapienza University of Rome, Piazzale Aldo Moro 5, 00185 Rome, Italy.
Secció de Física Estadística i Interdisciplinària-Departament de Física de la Matèria Condensada, Institut de Nanociència i Nanotecnologia (IN2UB), Universitat de Barcelona, Carrer Martí i Franquès 1, 08028 Barcelona, Spain.
ACS Nano. 2021 Dec 28;15(12):19864-19876. doi: 10.1021/acsnano.1c07381. Epub 2021 Nov 22.
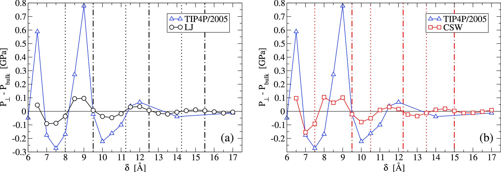
Nanoconfinement can drastically change the behavior of liquids, puzzling us with counterintuitive properties. It is relevant in applications, including decontamination and crystallization control. However, it still lacks a systematic analysis for fluids with different bulk properties. Here we address this gap. We compare, by molecular dynamics simulations, three different liquids in a graphene slit pore: (1) A simple fluid, such as argon, described by a Lennard-Jones potential; (2) an anomalous fluid, such as a liquid metal, modeled with an isotropic core-softened potential; and (3) water, the prototypical anomalous liquid, with directional HBs. We study how the slit-pore width affects the structure, thermodynamics, and dynamics of the fluids. All the fluids show similar oscillating properties by changing the pore size. However, their free-energy minima are quite different in nature: (i) are energy-driven for the simple liquid; (ii) are entropy-driven for the isotropic core-softened potential; and (iii) have a changing nature for water. Indeed, for water, the monolayer minimum is entropy driven, at variance with the simple liquid, while the bilayer minimum is energy driven, at variance with the other anomalous liquid. Also, water has a large increase in diffusion for subnm slit pores, becoming faster than bulk. Instead, the other two fluids have diffusion oscillations much smaller than water, slowing down for decreasing slit-pore width. Our results, clarifying that water confined at the subnm scale behaves differently from other (simple or anomalous) fluids under similar confinement, are possibly relevant in nanopores applications, for example, in water purification from contaminants.
纳米限域能极大地改变液体的行为,其具有的反直觉特性让我们感到困惑。它在包括去污和结晶控制等应用中具有相关性。然而,对于具有不同本体性质的流体,它仍缺乏系统的分析。在此我们填补这一空白。通过分子动力学模拟,我们比较了石墨烯狭缝孔中的三种不同液体:(1)一种简单流体,如由 Lennard-Jones 势描述的氩气;(2)一种反常流体,如用各向同性核软化势建模的液态金属;(3)水,典型的反常液体,具有定向氢键。我们研究了狭缝孔宽度如何影响流体的结构、热力学和动力学。通过改变孔径,所有流体都表现出相似的振荡特性。然而,它们的自由能最小值在本质上有很大不同:(i)对于简单液体是能量驱动的;(ii)对于各向同性核软化势是熵驱动的;(iii)对于水则具有变化的性质。实际上,对于水,单层最小值是熵驱动的,这与简单液体不同,而双层最小值是能量驱动的,这与另一种反常液体不同。此外,对于亚纳米狭缝孔,水的扩散大幅增加,变得比本体更快。相反,另外两种流体的扩散振荡比水小得多,随着狭缝孔宽度减小而减慢。我们的结果表明,在亚纳米尺度受限的水与其他(简单或反常)流体在类似受限条件下的行为不同,这可能在纳米孔应用中具有相关性,例如在从污染物中净化水方面。