Suppr超能文献

中性粒细胞与淋巴细胞比值在预测新辅助化疗联合 PD-1 检查点抑制剂治疗可切除非小细胞肺癌患者病理缓解中的作用。

The Role of Neutrophil-to-Lymphocyte Ratio in Predicting Pathological Response for Resectable Non-Small Cell Lung Cancer Treated with Neoadjuvant Chemotherapy Combined with PD-1 Checkpoint Inhibitors.

机构信息

Department of Lung Cancer, Tianjin Medical University Cancer Institute and Hospital, National Clinical Research Center for Cancer, Key Laboratory of Cancer Prevention and Therapy, Tianjin's Clinical Research Center for Cancer, Tianjin Lung Cancer Center, Tianjin, China.

出版信息

Cancer Res Treat. 2022 Oct;54(4):1017-1029. doi: 10.4143/crt.2021.1007. Epub 2021 Nov 23.

Abstract

PURPOSE

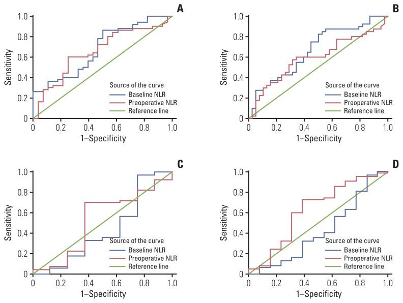
The aim of our study was to investigate the value of baseline and preoperative neutrophil-to-lymphocyte ratio (NLR) in predicting the pathological response and disease-free survival (DFS) of neoadjuvant chemotherapy alone or combined with programmed cell death-1 (PD-1) checkpoint inhibitors in patients with resectable non‒small cell lung cancer (NSCLC).

MATERIALS AND METHODS

Resectable NSCLC patients who underwent neoadjuvant chemotherapy alone or combined with PD-1 checkpoint inhibitors between January 2018 and January 2020 were included. Peripheral venous blood samples of the patients were collected within 3 days prior to the first neoadjuvant treatment and within 3 days prior to surgery.

RESULTS

A total of 79 patients in neoadjuvant chemotherapy combined with PD-1 checkpoint inhibitors group and 89 patients in neoadjuvant chemotherapy alone group were included. Thirty-five point four percent of the patients achieved pathological complete response (pCR) in neoadjuvant chemotherapy combined with PD-1 checkpoint inhibitors group, whereas only 9.0% reached pCR in the group of neoadjuvant chemotherapy. High NLR level were correlated with poor pathological response and DFS in neoadjuvant chemotherapy or combined with PD-1 checkpoint inhibitors group. Multivariate analysis revealed that baseline NLR could independently predict pathological response and DFS in the neoadjuvant chemotherapy combined with PD-1 checkpoint inhibitors group.

CONCLUSION

High NLR level were correlated with poor pathological response and shorter DFS in patients with NSCLC undergoing neoadjuvant chemotherapy or combined with PD-1 checkpoint inhibitors. Meanwhile, baseline NLR could independently predict response to pathological response and DFS, revealing its potential as a screening tool in NSCLC patients who received neoadjuvant chemotherapy combined with PD-1 checkpoint inhibitors.

摘要

目的

本研究旨在探讨基线和术前中性粒细胞与淋巴细胞比值(NLR)在预测可切除非小细胞肺癌(NSCLC)患者新辅助化疗单独或联合程序性死亡受体-1(PD-1)检查点抑制剂的病理反应和无病生存(DFS)中的价值。

材料与方法

纳入 2018 年 1 月至 2020 年 1 月期间接受新辅助化疗单独或联合 PD-1 检查点抑制剂治疗的可切除 NSCLC 患者。患者在首次新辅助治疗前 3 天和手术前 3 天内采集外周静脉血样。

结果

共纳入新辅助化疗联合 PD-1 检查点抑制剂组 79 例和新辅助化疗组 89 例患者。新辅助化疗联合 PD-1 检查点抑制剂组中有 35.4%的患者达到病理完全缓解(pCR),而新辅助化疗组中仅有 9.0%的患者达到 pCR。高 NLR 水平与新辅助化疗或联合 PD-1 检查点抑制剂组的病理反应和 DFS 不良相关。多变量分析显示,基线 NLR 可独立预测新辅助化疗联合 PD-1 检查点抑制剂组的病理反应和 DFS。

结论

在接受新辅助化疗或联合 PD-1 检查点抑制剂治疗的 NSCLC 患者中,高 NLR 水平与病理反应不良和 DFS 缩短相关。同时,基线 NLR 可独立预测病理反应和 DFS 的应答,表明其可能成为接受新辅助化疗联合 PD-1 检查点抑制剂治疗的 NSCLC 患者的筛选工具。

https://cdn.ncbi.nlm.nih.gov/pmc/blobs/3844/9582471/88dbe01ab126/crt-2021-1007f1.jpg

文献AI研究员

20分钟写一篇综述,助力文献阅读效率提升50倍。

立即体验

用中文搜PubMed

大模型驱动的PubMed中文搜索引擎

马上搜索

文档翻译

学术文献翻译模型,支持多种主流文档格式。

立即体验