• 文献检索
  • 文档翻译
  • 深度研究
  • 学术资讯
  • Suppr Zotero 插件Zotero 插件
  • 邀请有礼
  • 套餐&价格
  • 历史记录
应用&插件
Suppr Zotero 插件Zotero 插件浏览器插件Mac 客户端Windows 客户端微信小程序
定价
高级版会员购买积分包购买API积分包
服务
文献检索文档翻译深度研究API 文档MCP 服务
关于我们
关于 Suppr公司介绍联系我们用户协议隐私条款
关注我们

Suppr 超能文献

核心技术专利:CN118964589B侵权必究
粤ICP备2023148730 号-1Suppr @ 2026

文献检索

告别复杂PubMed语法,用中文像聊天一样搜索,搜遍4000万医学文献。AI智能推荐,让科研检索更轻松。

立即免费搜索

文件翻译

保留排版,准确专业,支持PDF/Word/PPT等文件格式,支持 12+语言互译。

免费翻译文档

深度研究

AI帮你快速写综述,25分钟生成高质量综述,智能提取关键信息,辅助科研写作。

立即免费体验

基于机器学习的肌少性吞咽困难图像识别筛查试验。

A Machine Learning-Based Screening Test for Sarcopenic Dysphagia Using Image Recognition.

机构信息

Graduate School of Public Health, St. Luke's International University, Tokyo 104-0044, Japan.

Setagaya Memorial Hospital, Tokyo 158-0092, Japan.

出版信息

Nutrients. 2021 Nov 10;13(11):4009. doi: 10.3390/nu13114009.

DOI:10.3390/nu13114009
PMID:34836264
原文链接:https://pmc.ncbi.nlm.nih.gov/articles/PMC8622012/
Abstract

BACKGROUND

Sarcopenic dysphagia, a swallowing disorder caused by sarcopenia, is prevalent in older patients and can cause malnutrition and aspiration pneumonia. This study aimed to develop a simple screening test using image recognition with a low risk of droplet transmission for sarcopenic dysphagia.

METHODS

Older patients admitted to a post-acute care hospital were enrolled in this cross-sectional study. As a main variable for the development of a screening test, we photographed the anterior neck to analyze the image features of sarcopenic dysphagia. The studied image features included the pixel values and the number of feature points. We constructed screening models using the image features, age, sex, and body mass index. The prediction performance of each model was investigated.

RESULTS

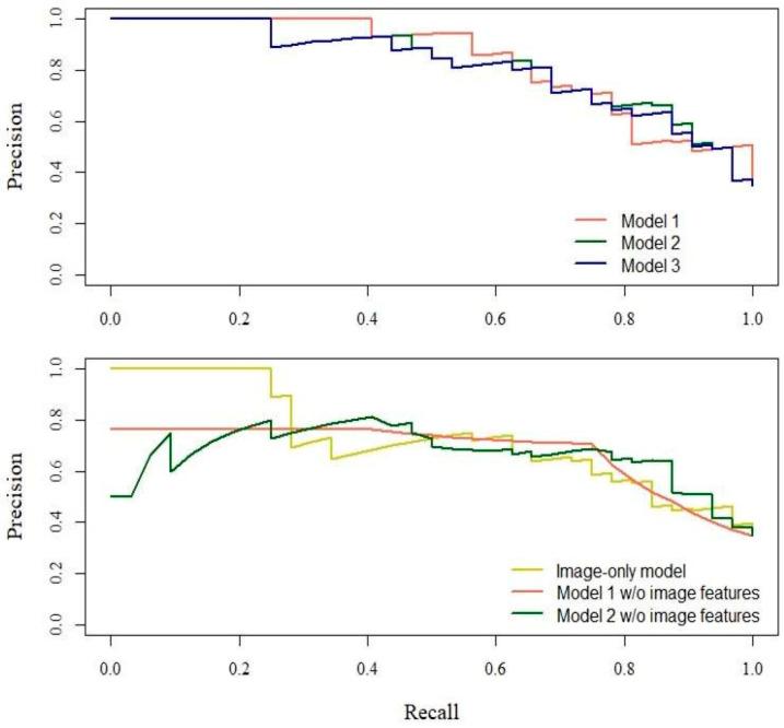
A total of 308 patients participated, including 175 (56.82%) patients without dysphagia and 133 (43.18%) with sarcopenic dysphagia. The area under the receiver operating characteristic curve (ROC-AUC), sensitivity, specificity, positive predictive value, negative predictive value, and area under the precision-recall curve (PR-AUC) values of the best model were 0.877, 87.50%, 76.67%, 66.67%, 92.00%, and 0.838, respectively. The model with image features alone showed an ROC-AUC of 0.814 and PR-AUC of 0.726.

CONCLUSIONS

The screening test for sarcopenic dysphagia using image recognition of neck appearance had high prediction performance.

摘要

背景

由肌肉减少症引起的吞咽障碍——肌肉减少性吞咽困难,在老年患者中较为普遍,可导致营养不良和吸入性肺炎。本研究旨在开发一种使用图像识别的简单筛查试验,这种方法具有飞沫传播风险低的特点,可用于肌肉减少性吞咽困难的筛查。

方法

本横断面研究纳入了入住一家康复医院的老年患者。我们拍摄了患者的颈部前位照片,以分析肌肉减少性吞咽困难的图像特征,并将其作为开发筛查试验的主要变量。所研究的图像特征包括像素值和特征点数量。我们使用图像特征、年龄、性别和体重指数构建了筛查模型。并对每个模型的预测性能进行了研究。

结果

共有 308 名患者参与了研究,其中 175 名(56.82%)患者无吞咽困难,133 名(43.18%)患者存在肌肉减少性吞咽困难。最佳模型的受试者工作特征曲线下面积(ROC-AUC)、敏感度、特异度、阳性预测值、阴性预测值和精准度-召回曲线下面积(PR-AUC)分别为 0.877、87.50%、76.67%、66.67%、92.00%和 0.838。仅使用图像特征的模型的 ROC-AUC 为 0.814,PR-AUC 为 0.726。

结论

使用颈部外观的图像识别来筛查肌肉减少性吞咽困难的方法具有较高的预测性能。

https://cdn.ncbi.nlm.nih.gov/pmc/blobs/615c/8622012/1cdd7c328d03/nutrients-13-04009-g005.jpg
https://cdn.ncbi.nlm.nih.gov/pmc/blobs/615c/8622012/e4531ad70f1e/nutrients-13-04009-g001.jpg
https://cdn.ncbi.nlm.nih.gov/pmc/blobs/615c/8622012/a2c72ddbc8b6/nutrients-13-04009-g002.jpg
https://cdn.ncbi.nlm.nih.gov/pmc/blobs/615c/8622012/455dc3c77ee3/nutrients-13-04009-g003.jpg
https://cdn.ncbi.nlm.nih.gov/pmc/blobs/615c/8622012/8b03610341d7/nutrients-13-04009-g004.jpg
https://cdn.ncbi.nlm.nih.gov/pmc/blobs/615c/8622012/1cdd7c328d03/nutrients-13-04009-g005.jpg
https://cdn.ncbi.nlm.nih.gov/pmc/blobs/615c/8622012/e4531ad70f1e/nutrients-13-04009-g001.jpg
https://cdn.ncbi.nlm.nih.gov/pmc/blobs/615c/8622012/a2c72ddbc8b6/nutrients-13-04009-g002.jpg
https://cdn.ncbi.nlm.nih.gov/pmc/blobs/615c/8622012/455dc3c77ee3/nutrients-13-04009-g003.jpg
https://cdn.ncbi.nlm.nih.gov/pmc/blobs/615c/8622012/8b03610341d7/nutrients-13-04009-g004.jpg
https://cdn.ncbi.nlm.nih.gov/pmc/blobs/615c/8622012/1cdd7c328d03/nutrients-13-04009-g005.jpg

相似文献

1
A Machine Learning-Based Screening Test for Sarcopenic Dysphagia Using Image Recognition.基于机器学习的肌少性吞咽困难图像识别筛查试验。
Nutrients. 2021 Nov 10;13(11):4009. doi: 10.3390/nu13114009.
2
Sensitivity and Specificity of Body Mass Index for Sarcopenic Dysphagia Diagnosis among Patients with Dysphagia: A Multi-Center Cross-Sectional Study.体质指数对吞咽困难患者肌少性吞咽困难诊断的敏感性和特异性:一项多中心横断面研究。
Nutrients. 2022 Oct 26;14(21):4494. doi: 10.3390/nu14214494.
3
Sarcopenic Dysphagia Revisited: A Cross-Sectional Study in Hospitalized Geriatric Patients.肌少性吞咽障碍再探讨:住院老年患者的横断面研究。
Nutrients. 2023 Jun 7;15(12):2662. doi: 10.3390/nu15122662.
4
Diagnostic accuracy of lip force and tongue strength for sarcopenic dysphagia in older inpatients: A cross-sectional observational study.唇力和舌力对老年住院患者肌少性吞咽困难的诊断准确性:一项横断面观察性研究。
Clin Nutr. 2019 Feb;38(1):303-309. doi: 10.1016/j.clnu.2018.01.016. Epub 2018 Feb 15.
5
Sarcopenic dysphagia in institutionalised older adults.机构化老年人群中的肌少症性吞咽困难。
Endocrinol Diabetes Nutr (Engl Ed). 2021 Nov;68(9):602-611. doi: 10.1016/j.endien.2021.11.023. Epub 2021 Dec 2.
6
Sarcopenic Dysphagia with Low Tongue Pressure Is Associated with Worsening of Swallowing, Nutritional Status, and Activities of Daily Living.低舌压型肌肉减少性吞咽困难与吞咽功能恶化、营养状况和日常生活活动能力下降有关。
J Nutr Health Aging. 2021;25(7):883-888. doi: 10.1007/s12603-021-1641-3.
7
Submental Muscle Activity and Its Role in Diagnosing Sarcopenic Dysphagia.颏下肌活动及其在诊断肌少性吞咽困难中的作用。
Clin Interv Aging. 2020 Oct 21;15:1991-1999. doi: 10.2147/CIA.S278793. eCollection 2020.
8
Ultrasonography to Measure Swallowing Muscle Mass and Quality in Older Patients With Sarcopenic Dysphagia.超声测量肌少性吞咽困难老年患者的吞咽肌肉质量和功能。
J Am Med Dir Assoc. 2018 Jun;19(6):516-522. doi: 10.1016/j.jamda.2017.11.007. Epub 2017 Dec 26.
9
Diagnosis and Treatment of Sarcopenic Dysphagia: A Scoping Review.肌少症性吞咽困难的诊断与治疗:一项范围综述
Dysphagia. 2021 Jun;36(3):523-531. doi: 10.1007/s00455-021-10266-8. Epub 2021 Feb 23.
10
Sarcopenia and dysphagia: Position paper by four professional organizations.肌肉减少症与吞咽障碍:四大专业组织联合发布立场文件
Geriatr Gerontol Int. 2019 Feb;19(2):91-97. doi: 10.1111/ggi.13591. Epub 2019 Jan 9.

引用本文的文献

1
Digital health technologies in swallowing care from screening to rehabilitation: A narrative review.吞咽护理中从筛查到康复的数字健康技术:一项叙述性综述。
Auris Nasus Larynx. 2025 May 21;52(4):319-326. doi: 10.1016/j.anl.2025.05.002.
2
Current Technological Advances in Dysphagia Screening: Systematic Scoping Review.吞咽困难筛查的当前技术进展:系统综述
J Med Internet Res. 2025 May 5;27:e65551. doi: 10.2196/65551.
3
A Machine Learning Pipeline for Automated Bolus Segmentation and Area Measurement in Swallowing Videofluoroscopy Images of an Infant Pig Model.

本文引用的文献

1
Dysphagia screening in residential care settings: A scoping review.在养老院环境中进行吞咽障碍筛查:范围综述。
Int J Nurs Stud. 2021 Feb;114:103813. doi: 10.1016/j.ijnurstu.2020.103813. Epub 2020 Oct 28.
2
Asian Working Group for Sarcopenia: 2019 Consensus Update on Sarcopenia Diagnosis and Treatment.亚洲肌少症工作组:2019年肌少症诊断与治疗共识更新
J Am Med Dir Assoc. 2020 Mar;21(3):300-307.e2. doi: 10.1016/j.jamda.2019.12.012. Epub 2020 Feb 4.
3
Use of the Penetration-Aspiration Scale in Dysphagia Research: A Systematic Review.
一种用于在幼猪模型吞咽荧光透视图像中自动进行团注分割和面积测量的机器学习管道。
Dysphagia. 2025 Apr 28. doi: 10.1007/s00455-025-10829-z.
4
Advancements and Challenges in Non-Invasive Sensor Technologies for Swallowing Assessment: A Review.吞咽评估无创传感器技术的进展与挑战:综述
Bioengineering (Basel). 2024 Apr 27;11(5):430. doi: 10.3390/bioengineering11050430.
5
Non-Contact Assessment of Swallowing Dysfunction Using Smartphone Captured Skin Displacements.使用智能手机采集的皮肤位移对吞咽功能障碍进行非接触式评估。
Sensors (Basel). 2023 Jun 7;23(12):5392. doi: 10.3390/s23125392.
6
Development of Hallux Valgus Classification Using Digital Foot Images with Machine Learning.利用机器学习和数字足部图像开发拇外翻分类法
Life (Basel). 2023 May 9;13(5):1146. doi: 10.3390/life13051146.
7
AI-Based Detection of Aspiration for Video-Endoscopy with Visual Aids in Meaningful Frames to Interpret the Model Outcome.基于人工智能的视频内镜下有意义帧中误吸检测,以解释模型结果的视觉辅助。
Sensors (Basel). 2022 Dec 4;22(23):9468. doi: 10.3390/s22239468.
8
A deep learning-based approach toward differentiating scalp psoriasis and seborrheic dermatitis from dermoscopic images.一种基于深度学习的从皮肤镜图像中区分头皮银屑病和脂溢性皮炎的方法。
Front Med (Lausanne). 2022 Nov 3;9:965423. doi: 10.3389/fmed.2022.965423. eCollection 2022.
吞咽困难研究中渗透-吸入量表的应用:一项系统评价。
Dysphagia. 2020 Aug;35(4):583-597. doi: 10.1007/s00455-019-10064-3. Epub 2019 Sep 19.
4
Relationship between jaw-opening force and neck circumference in healthy older individuals.健康老年人张口力与颈围的关系。
Geriatr Gerontol Int. 2019 Apr;19(4):330-334. doi: 10.1111/ggi.13620. Epub 2019 Feb 12.
5
Sarcopenia and dysphagia: Position paper by four professional organizations.肌肉减少症与吞咽障碍:四大专业组织联合发布立场文件
Geriatr Gerontol Int. 2019 Feb;19(2):91-97. doi: 10.1111/ggi.13591. Epub 2019 Jan 9.
6
The Prevalence and Prognosis of Sarcopenic Dysphagia in Patients Who Require Dysphagia Rehabilitation.需要进行吞咽障碍康复治疗的患者中,肌少性吞咽障碍的患病率和预后。
J Nutr Health Aging. 2019;23(1):84-88. doi: 10.1007/s12603-018-1117-2.
7
Respiratory Muscle Strength as a Discriminator of Sarcopenia in Community-Dwelling Elderly: A Cross-Sectional Study.呼吸肌力量作为社区居住老年人肌少症的鉴别指标:一项横断面研究。
J Nutr Health Aging. 2018;22(8):952-958. doi: 10.1007/s12603-018-1079-4.
8
GLIM criteria for the diagnosis of malnutrition - A consensus report from the global clinical nutrition community.GLIM 营养不良诊断标准 - 全球临床营养界的共识报告。
Clin Nutr. 2019 Feb;38(1):1-9. doi: 10.1016/j.clnu.2018.08.002. Epub 2018 Sep 3.
9
Oral hypofunction in the older population: Position paper of the Japanese Society of Gerodontology in 2016.老年人群的口腔功能减退:日本老年牙科学会2016年立场文件
Gerodontology. 2018 Dec;35(4):317-324. doi: 10.1111/ger.12347. Epub 2018 Jun 8.
10
Diagnostic accuracy of lip force and tongue strength for sarcopenic dysphagia in older inpatients: A cross-sectional observational study.唇力和舌力对老年住院患者肌少性吞咽困难的诊断准确性:一项横断面观察性研究。
Clin Nutr. 2019 Feb;38(1):303-309. doi: 10.1016/j.clnu.2018.01.016. Epub 2018 Feb 15.