Suppr超能文献

一种包含血清脂蛋白(a)水平的新型预测列线图,用于预测中国乳腺癌前哨淋巴结转移阳性患者的非前哨淋巴结转移。

A Novel Predictive Nomogram including Serum Lipoprotein a Level for Nonsentinel Lymph Node Metastases in Chinese Breast Cancer Patients with Positive Sentinel Lymph Node Metastases.

机构信息

Department of Breast and Thyroid Surgery, First Affiliated Hospital, Sun Yat-sen University, China.

Department of Laboratory Medicine, First Affiliated Hospital, Sun Yat-sen University, China.

出版信息

Dis Markers. 2021 Nov 22;2021:7879508. doi: 10.1155/2021/7879508. eCollection 2021.

Abstract

BACKGROUND

We developed a new nomogram combining serum biomarkers with clinicopathological features to improve the accuracy of prediction of nonsentinel lymph node (SLN) metastases in Chinese breast cancer patients.

METHODS

We enrolled 209 patients with breast cancer who underwent SLN biopsy and axillary lymph node dissection. We evaluated the relationships between non-SLN metastases and clinicopathologic features, as well as preoperative routine tests of blood indexes, tumor markers, and serum lipids, including lipoprotein a (Lp(a)). Risk factors for non-SLN metastases were identified by logistic regression analysis. The nomogram was created using the R program to predict the risk of non-SLN metastases in the training set. Receiver operating characteristic (ROC) analysis was applied to assess the predictive value of the nomogram model in the validation set.

RESULTS

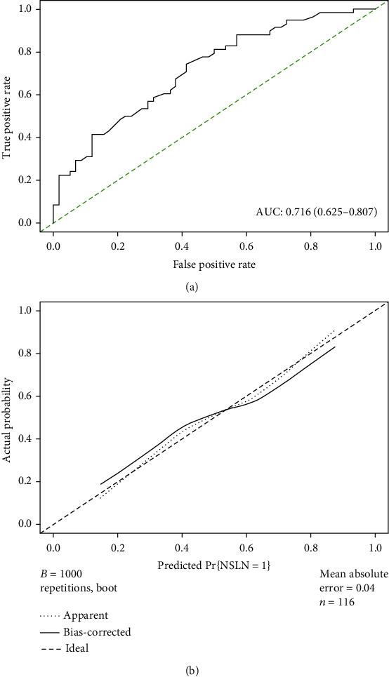
Lp(a) was significantly associated with non-SLN metastasis status. Compared with the MSKCC model, the predictive ability of our new nomogram that combined Lp(a) level and clinical variables (pathologic tumor size, lymphovascular invasion, multifocality, and positive/negative SLN numbers) was significantly greater (AUC: 0.732, 95% CI: 0.643-0.821) (C-index: 0.703, 95% CI: 0.656-0.791) in the training cohorts and also performed well in the validation cohorts (C-index: 0.773, 95% CI: 0.681-0.865). Moreover, the new nomogram with Lp(a) improved the accuracy (12.10%) of identification of patients with non-SLN metastases (NRI: 0.121; 95% CI: 0.081-0.202; = 0.011).

CONCLUSIONS

This novel nomogram based on preoperative serum indexes combined with clinicopathologic features facilitates accurate prediction of risk of non-SLN metastases in Chinese patients with breast cancer.

摘要

背景

我们开发了一种新的列线图,将血清生物标志物与临床病理特征相结合,以提高中国乳腺癌患者非前哨淋巴结(SLN)转移预测的准确性。

方法

我们纳入了 209 例接受 SLN 活检和腋窝淋巴结清扫术的乳腺癌患者。我们评估了非 SLN 转移与临床病理特征以及术前常规血液指标、肿瘤标志物和血清脂质(脂蛋白(a)[Lp(a)])之间的关系。通过 logistic 回归分析确定非 SLN 转移的危险因素。使用 R 程序创建列线图以预测训练集中非 SLN 转移的风险。应用受试者工作特征(ROC)分析评估列线图模型在验证集中的预测价值。

结果

Lp(a)与非 SLN 转移状态显著相关。与 MSKCC 模型相比,我们的新列线图(结合 Lp(a)水平和临床变量[病理肿瘤大小、脉管侵犯、多灶性和 SLN 阳性/阴性数量])的预测能力显著提高(AUC:0.732,95%CI:0.643-0.821)(C 指数:0.703,95%CI:0.656-0.791)在训练队列中也表现良好,并在验证队列中表现良好(C 指数:0.773,95%CI:0.681-0.865)。此外,具有 Lp(a)的新列线图提高了识别非 SLN 转移患者的准确性(12.10%)(NRI:0.121;95%CI:0.081-0.202;P=0.011)。

结论

基于术前血清指标与临床病理特征相结合的这种新列线图有助于准确预测中国乳腺癌患者非 SLN 转移的风险。

https://cdn.ncbi.nlm.nih.gov/pmc/blobs/fed8/8629655/b363d227287a/DM2021-7879508.001.jpg

文献AI研究员

20分钟写一篇综述,助力文献阅读效率提升50倍。

立即体验

用中文搜PubMed

大模型驱动的PubMed中文搜索引擎

马上搜索

文档翻译

学术文献翻译模型,支持多种主流文档格式。

立即体验