Zhang Junpeng, Liu Lin, Xu Taosheng, Zhang Wu, Zhao Chunwen, Li Sijing, Li Jiuyong, Rao Nini, Le Thuc Duy
Center for Informational Biology, School of Life Science and Technology, University of Electronic Science and Technology of China, Chengdu, 610054, Sichuan, China.
School of Engineering, Dali University, Dali, 671003, Yunnan, China.
BMC Bioinformatics. 2021 Dec 2;22(1):578. doi: 10.1186/s12859-021-04498-6.
Existing computational methods for studying miRNA regulation are mostly based on bulk miRNA and mRNA expression data. However, bulk data only allows the analysis of miRNA regulation regarding a group of cells, rather than the miRNA regulation unique to individual cells. Recent advance in single-cell miRNA-mRNA co-sequencing technology has opened a way for investigating miRNA regulation at single-cell level. However, as currently single-cell miRNA-mRNA co-sequencing data is just emerging and only available at small-scale, there is a strong need of novel methods to exploit existing single-cell data for the study of cell-specific miRNA regulation.
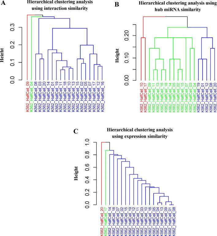
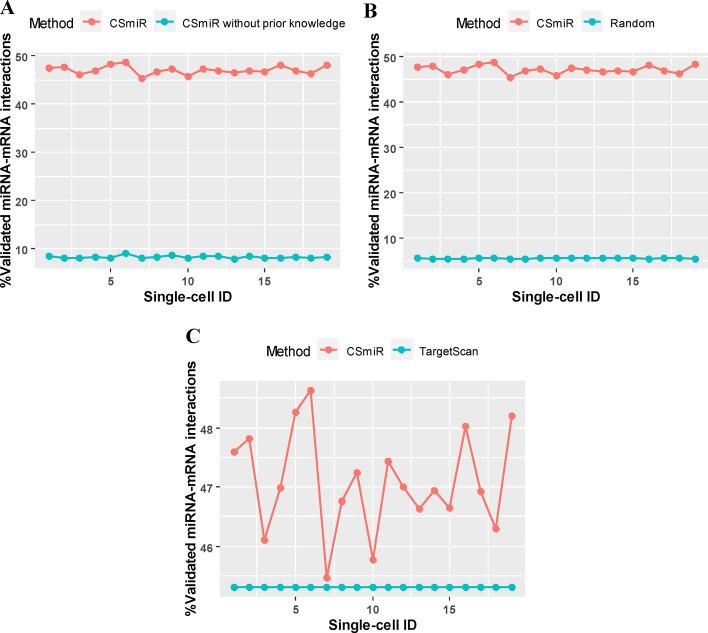
In this work, we propose a new method, CSmiR (Cell-Specific miRNA regulation) to combine single-cell miRNA-mRNA co-sequencing data and putative miRNA-mRNA binding information to identify miRNA regulatory networks at the resolution of individual cells. We apply CSmiR to the miRNA-mRNA co-sequencing data in 19 K562 single-cells to identify cell-specific miRNA-mRNA regulatory networks for understanding miRNA regulation in each K562 single-cell. By analyzing the obtained cell-specific miRNA-mRNA regulatory networks, we observe that the miRNA regulation in each K562 single-cell is unique. Moreover, we conduct detailed analysis on the cell-specific miRNA regulation associated with the miR-17/92 family as a case study. The comparison results indicate that CSmiR is effective in predicting cell-specific miRNA targets. Finally, through exploring cell-cell similarity matrix characterized by cell-specific miRNA regulation, CSmiR provides a novel strategy for clustering single-cells and helps to understand cell-cell crosstalk.
To the best of our knowledge, CSmiR is the first method to explore miRNA regulation at a single-cell resolution level, and we believe that it can be a useful method to enhance the understanding of cell-specific miRNA regulation.
现有的用于研究miRNA调控的计算方法大多基于大量miRNA和mRNA表达数据。然而,大量数据仅允许分析一组细胞的miRNA调控情况,而非单个细胞特有的miRNA调控。单细胞miRNA-mRNA共测序技术的最新进展为在单细胞水平研究miRNA调控开辟了道路。然而,由于目前单细胞miRNA-mRNA共测序数据刚刚出现且仅小规模可用,迫切需要新的方法来利用现有的单细胞数据研究细胞特异性miRNA调控。
在这项工作中,我们提出了一种新方法CSmiR(细胞特异性miRNA调控),将单细胞miRNA-mRNA共测序数据与假定的miRNA-mRNA结合信息相结合,以在单个细胞分辨率下识别miRNA调控网络。我们将CSmiR应用于19个K562单细胞的miRNA-mRNA共测序数据,以识别细胞特异性miRNA-mRNA调控网络,从而了解每个K562单细胞中的miRNA调控。通过分析获得的细胞特异性miRNA-mRNA调控网络,我们观察到每个K562单细胞中的miRNA调控都是独特的。此外,作为案例研究,我们对与miR-17/92家族相关的细胞特异性miRNA调控进行了详细分析。比较结果表明CSmiR在预测细胞特异性miRNA靶标方面是有效的。最后,通过探索以细胞特异性miRNA调控为特征的细胞-细胞相似性矩阵,CSmiR提供了一种用于单细胞聚类的新策略,并有助于理解细胞间的串扰。
据我们所知,CSmiR是第一种在单细胞分辨率水平探索miRNA调控的方法,我们相信它可以成为增强对细胞特异性miRNA调控理解的有用方法。