Suppr超能文献

基于临床病理特征和炎症及营养相关指标的预后模型预测手术治疗的舌鳞癌患者的总生存率。

A Prognostic Model Based on Clinicopathological Features and Inflammation- and Nutrition-Related Indicators Predicts Overall Survival in Surgical Patients With Tongue Squamous Cell Carcinoma.

机构信息

117825The Cancer Hospital of Shantou University Medical College, Shantou, Guangdong, China.

Precision Medicine Research Center, 66477Shantou University Medical College, Shantou, Guangdong, China.

出版信息

Technol Cancer Res Treat. 2021 Jan-Dec;20:15330338211043048. doi: 10.1177/15330338211043048.

Abstract

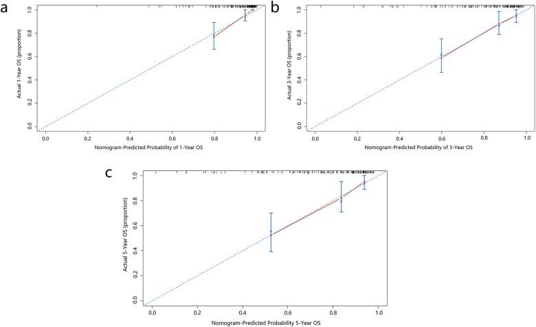
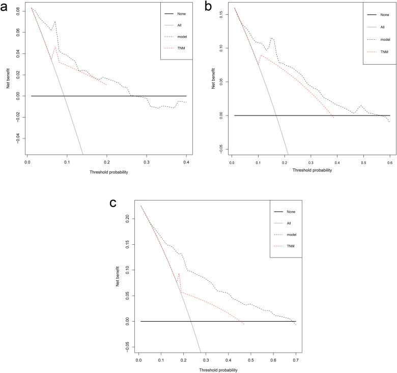
It is reported that inflammation- and nutrition-related indicators have a prognostic impact on multiple cancers. Here we aimed to identify a prognostic nomogram model for prediction of overall survival (OS) in surgical patients with tongue squamous cell carcinoma (TSCC). The retrospective data of 172 TSCC patients were charted from the Cancer Hospital of Shantou University Medical College between 2008 and 2019. A Cox regression analysis was performed to determine prognostic factors to establish a nomogram and predict OS. The predictive accuracy of the model was analyzed by the calibration curves and the concordance index (C-index). The difference of OS was analyzed by Kaplan-Meier survival analysis. Multivariate analysis showed age, tumor node metastasis (TNM) stage, red blood cell, platelets, and platelet-to-lymphocyte ratio were independent prognostic factors for OS, which were used to build the prognostic nomogram model. The C-index of the model for OS was 0.794 (95% CI = 0.729-0.860), which was higher than that of TNM stage 0.685 (95% CI = 0.605-0.765). In addition, decision curve analysis also showed the nomogram model had improved predictive accuracy and discriminatory performance for OS, compared to the TNM stage. According to the prognostic model risk score, patients in the high-risk subgroup had a lower 5-year OS rate than that in a low-risk subgroup (23% vs 49%,  < .0001). The nomogram model based on clinicopathological features inflammation- and nutrition-related indicators represents a promising tool that might complement the TNM stage in the prognosis of TSCC.

摘要

据报道,炎症和营养相关指标对多种癌症具有预后影响。在这里,我们旨在确定一种用于预测接受手术的舌鳞状细胞癌 (TSCC) 患者总生存期 (OS) 的预后列线图模型。从汕头大学医学院附属肿瘤医院回顾性收集了 2008 年至 2019 年的 172 例 TSCC 患者的数据。通过 Cox 回归分析确定预后因素以建立列线图并预测 OS。通过校准曲线和一致性指数 (C-index) 分析模型的预测准确性。通过 Kaplan-Meier 生存分析比较 OS 差异。多变量分析显示年龄、肿瘤淋巴结转移 (TNM) 分期、红细胞、血小板和血小板与淋巴细胞比值是 OS 的独立预后因素,用于构建预后列线图模型。该模型用于 OS 的 C-index 为 0.794(95%CI=0.729-0.860),高于 TNM 分期 0.685(95%CI=0.605-0.765)。此外,决策曲线分析还表明,与 TNM 分期相比,列线图模型对 OS 具有更高的预测准确性和区分性能。根据预后模型风险评分,高危亚组患者的 5 年 OS 率低于低危亚组(23%比 49%,<0.0001)。基于临床病理特征炎症和营养相关指标的列线图模型是一种很有前途的工具,可能对 TNM 分期在 TSCC 的预后评估中具有补充作用。

https://cdn.ncbi.nlm.nih.gov/pmc/blobs/4283/8652185/c26eefda8a2f/10.1177_15330338211043048-fig1.jpg

文献AI研究员

20分钟写一篇综述,助力文献阅读效率提升50倍。

立即体验

用中文搜PubMed

大模型驱动的PubMed中文搜索引擎

马上搜索

文档翻译

学术文献翻译模型,支持多种主流文档格式。

立即体验