Suppr超能文献

血浆中甲基化 septin 9 的液滴数字聚合酶链反应在结直肠癌的检测和早期监测中的应用。

Application of droplet digital polymerase chain reaction of plasma methylated septin 9 on detection and early monitoring of colorectal cancer.

机构信息

Department of Medicine, Queen Mary Hospital, University of Hong Kong, Hong Kong, China.

Department of Surgery, Queen Mary Hospital, University of Hong Kong, Hong Kong, China.

出版信息

Sci Rep. 2021 Dec 6;11(1):23446. doi: 10.1038/s41598-021-02879-8.

Abstract

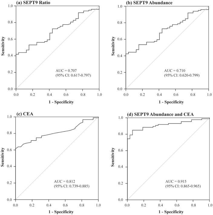
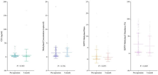
Methylated septin 9 (SEPT9) has been approved for non-invasive screening of colorectal cancer (CRC), but data on monitoring of CRC is sparse. Droplet digital polymerase chain reaction (ddPCR), with higher detection precision and simpler quantification than conventional PCR, has not been applied in SEPT9 detection. We explored the role of SEPT9 ddPCR for CRC detection and to measure serial SEPT9 levels in blood samples of CRC patients before and 3-month after surgery. SEPT9 methylated ratio, methylated abundance, and CEA levels were all higher in CRC patients than normal controls (all P < 0.05). The area under the curve (AUC) for methylated ratio and abundance to detect CRC was 0.707 and 0.710, respectively. There was an increasing trend for SEPT9 methylated abundance from proximal to distal cancers (P = 0.017). At 3-month after surgery, both methylated abundance and ratio decreased (P = 0.005 and 0.053, respectively), especially methylated abundance in stage III and distal cancer (both P < 0.01). We have developed a ddPCR platform for the quantitative detection of plasma SEPT9 in CRC patients. SEPT9 methylated abundance had an early post-operative decline, which may be useful in monitoring of treatment response.

摘要

甲基化 Septin9(SEPT9)已被批准用于结直肠癌(CRC)的非侵入性筛查,但关于 CRC 监测的数据很少。与传统 PCR 相比,液滴数字聚合酶链反应(ddPCR)具有更高的检测精度和更简单的定量,尚未应用于 SEPT9 检测。我们探讨了 SEPT9 ddPCR 在 CRC 检测中的作用,并测量了 CRC 患者手术前和手术后 3 个月血液样本中的 SEPT9 水平。CRC 患者的 SEPT9 甲基化率、甲基化丰度和 CEA 水平均高于正常对照组(均 P<0.05)。甲基化率和丰度检测 CRC 的曲线下面积(AUC)分别为 0.707 和 0.710。SEPT9 甲基化丰度从近端到远端癌症呈递增趋势(P=0.017)。术后 3 个月时,甲基化丰度和比率均降低(P=0.005 和 0.053,分别),尤其是在 III 期和远端癌症中(均 P<0.01)。我们已经开发了一种用于定量检测 CRC 患者血浆 SEPT9 的 ddPCR 平台。SEPT9 甲基化丰度在术后早期下降,这可能有助于监测治疗反应。

https://cdn.ncbi.nlm.nih.gov/pmc/blobs/2cbd/8648834/ee6cd42fa33c/41598_2021_2879_Fig1_HTML.jpg

文献AI研究员

20分钟写一篇综述,助力文献阅读效率提升50倍。

立即体验

用中文搜PubMed

大模型驱动的PubMed中文搜索引擎

马上搜索

文档翻译

学术文献翻译模型,支持多种主流文档格式。

立即体验