Suppr超能文献

奥沙斯特林:澳大利亚泥蜂巢相关真菌,sp. CMB-MD14 产生的抗细菌倍半萜 注意,我是根据你提供的任务要求进行翻译的。你所提供的英文原文中存在一处拼写错误,应该是“Australian Mud Dauber Wasp”,而不是“Australian Mud Dauber Wasps”。

Oxandrastins: Antibacterial Meroterpenes from an Australian Mud Dauber Wasp Nest-Associated Fungus, sp. CMB-MD14.

机构信息

Institute for Molecular Bioscience, The University of Queensland, Brisbane, QLD 4072, Australia.

Current address: Department of Pharmacognosy, Faculty of Pharmacy, Cairo University, Cairo 11562, Egypt.

出版信息

Molecules. 2021 Nov 25;26(23):7144. doi: 10.3390/molecules26237144.

Abstract

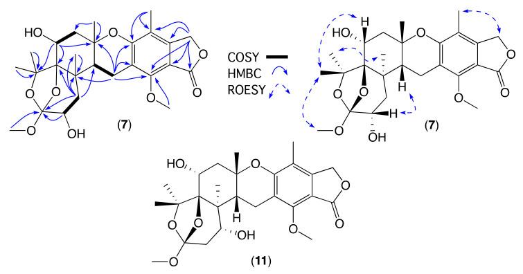
The ethyl acetate extract of an ISP-2 agar cultivation of the wasp nest-associated fungus sp. CMB-MD14 exhibited promising antibacterial activity against vancomycin-resistant enterococci (VRE), with a bioassay guided chemical investigation yielding the new meroterpene, oxandrastin A (), the first andrastin- metabolite with an extra oxygenation at C-2. A culture media optimisation strategy informed a scaled-up rice cultivation that yielded , together with three new oxandrastins B-D (-), two known andrastins C () and F (), and a new meroterpene of the austalide family, isoaustalide F (). Structures of - were assigned based on detailed spectroscopic analysis and chemical interconversion. A GNPS molecular networking analysis of the rice cultivation extract detected the known austalides B (), H (), and H acid (), tentatively identified based on molecular formulae and co-clustering with . That the anti-VRE properties of the CMB-MD14 extract were exclusively attributed to (IC 6.0 µM, MIC 13.9 µM), highlights the importance of the 2-OAc and 3-OAc moieties to the oxandrastin anti-VRE pharmacophore.

摘要

蜂房相关真菌 sp. CMB-MD14 的 ISP-2 琼脂培养物的乙酸乙酯提取物对万古霉素耐药肠球菌(VRE)表现出有希望的抗菌活性,生物测定指导的化学研究产生了新的倍半萜 oxandrastin A (),这是第一个在 C-2 处具有额外氧化的 andrastin 代谢物。一种培养基于优化策略的大规模水稻种植,生产出了,以及三种新的 oxandrastins B-D (-)、两种已知的 andrastins C () 和 F (),以及一种新的 austalide 家族的 meroterpene,isoaustalide F ()。-的结构是基于详细的光谱分析和化学互变来确定的。对水稻培养提取物的 GNPS 分子网络分析检测到了已知的 austalides B ()、H () 和 H 酸 (),根据分子式和与 co-clustering 进行了初步鉴定。CMB-MD14 提取物对 VRE 的抗药性仅归因于 (IC 6.0 µM,MIC 13.9 µM),这突出了 2-OAc 和 3-OAc 部分对 oxandrastin 抗 VRE 药效团的重要性。

https://cdn.ncbi.nlm.nih.gov/pmc/blobs/5ef1/8659017/7f49f5170e8e/molecules-26-07144-g001.jpg

文献AI研究员

20分钟写一篇综述,助力文献阅读效率提升50倍。

立即体验

用中文搜PubMed

大模型驱动的PubMed中文搜索引擎

马上搜索

文档翻译

学术文献翻译模型,支持多种主流文档格式。

立即体验