Suppr超能文献

微盘生物传感器中米氏动力学的反应扩散方程的数学分析。

Mathematical Analysis of Reaction-Diffusion Equations Modeling the Michaelis-Menten Kinetics in a Micro-Disk Biosensor.

机构信息

Department of Mathematics, Abdul Wali Khan University, Mardan 23200, Pakistan.

Department of Mathematics, College of Science and Humanities in Alkharj, Prince Sattam bin Abdulaziz University, Al-Kharj 11942, Saudi Arabia.

出版信息

Molecules. 2021 Dec 2;26(23):7310. doi: 10.3390/molecules26237310.

Abstract

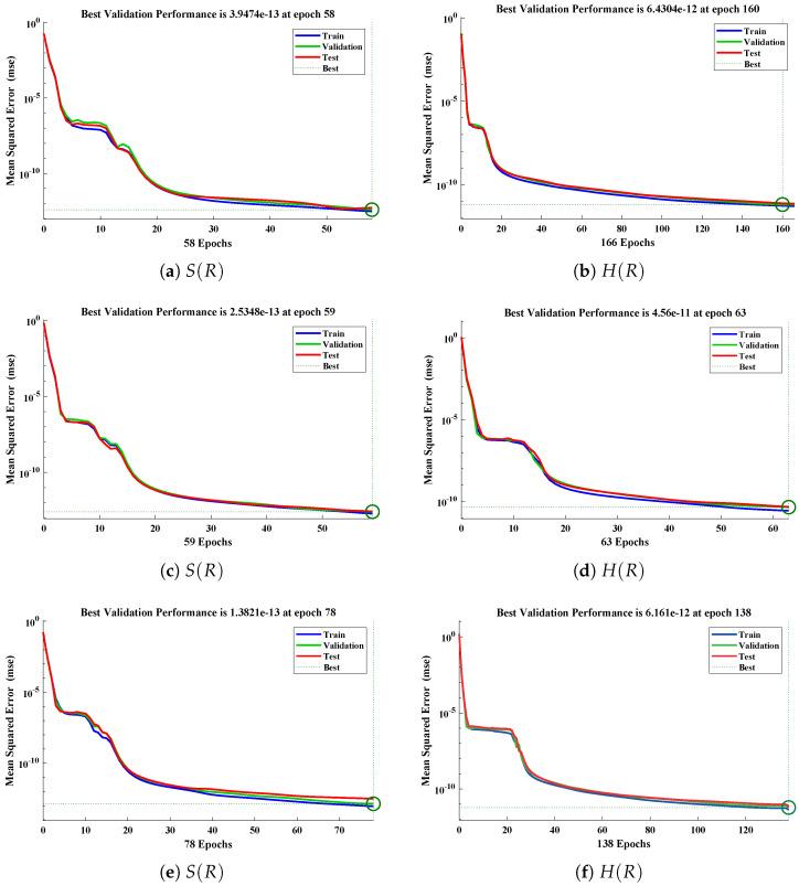
In this study, we have investigated the mathematical model of an immobilized enzyme system that follows the Michaelis-Menten (MM) kinetics for a micro-disk biosensor. The film reaction model under steady state conditions is transformed into a couple differential equations which are based on dimensionless concentration of hydrogen peroxide with enzyme reaction (H) and substrate (S) within the biosensor. The model is based on a reaction-diffusion equation which contains highly non-linear terms related to MM kinetics of the enzymatic reaction. Further, to calculate the effect of variations in parameters on the dimensionless concentration of substrate and hydrogen peroxide, we have strengthened the computational ability of neural network (NN) architecture by using a backpropagated Levenberg-Marquardt training (LMT) algorithm. NNs-LMT algorithm is a supervised machine learning for which the initial data set is generated by using MATLAB built in function known as "pdex4". Furthermore, the data set is validated by the processing of the NNs-LMT algorithm to find the approximate solutions for different scenarios and cases of mathematical model of micro-disk biosensors. Absolute errors, curve fitting, error histograms, regression and complexity analysis further validate the accuracy and robustness of the technique.

摘要

在这项研究中,我们研究了遵循米氏动力学的固定化酶系统的数学模型,用于微盘生物传感器。在稳态条件下的薄膜反应模型转化为一对微分方程,该方程基于生物传感器内的过氧化氢和酶反应(H)和底物(S)的无量纲浓度。该模型基于包含与酶反应的米氏动力学相关的高度非线性项的反应-扩散方程。此外,为了计算参数变化对底物和过氧化氢无量纲浓度的影响,我们通过使用反向传播的 Levenberg-Marquardt 训练(LMT)算法增强了神经网络(NN)架构的计算能力。NNs-LMT 算法是一种监督机器学习,其初始数据集是通过使用 MATLAB 内置函数“pdex4”生成的。此外,通过 NNs-LMT 算法处理数据集,为微盘生物传感器的数学模型的不同情况和案例找到近似解,从而验证数据集。绝对误差、曲线拟合、误差直方图、回归和复杂度分析进一步验证了该技术的准确性和鲁棒性。

https://cdn.ncbi.nlm.nih.gov/pmc/blobs/50c5/8659114/bdb7b6d87480/molecules-26-07310-g001.jpg

文献AI研究员

20分钟写一篇综述,助力文献阅读效率提升50倍。

立即体验

用中文搜PubMed

大模型驱动的PubMed中文搜索引擎

马上搜索

文档翻译

学术文献翻译模型,支持多种主流文档格式。

立即体验