Suppr超能文献

基于数学建模和机器学习的优化方法以提高挥发性有机化合物的生物过滤效率

Mathematical modeling and machine learning-based optimization for enhancing biofiltration efficiency of volatile organic compounds.

作者信息

Sulaiman Muhammad, Khalaf Osamah Ibrahim, Khan Naveed Ahmad, Alshammari Fahad Sameer, Hamam Habib

机构信息

Department of Mathematics, Abdul Wali Khan University, 23200, Mardan, Pakistan.

Department of Solar, Al-Nahrain Research Center for Renewable Energy, Al-Nahrain University, Jadriya, Baghdad, Iraq.

出版信息

Sci Rep. 2024 Jul 23;14(1):16908. doi: 10.1038/s41598-024-65153-7.

Abstract

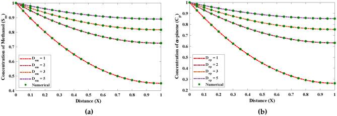
Biofiltration is a method of pollution management that utilizes a bioreactor containing live material to absorb and destroy pollutants biologically. In this paper, we investigate mathematical models of biofiltration for mixing volatile organic compounds (VOCs) for instance hydrophilic (methanol) and hydrophobic ( -pinene). The system of nonlinear diffusion equations describes the Michaelis-Menten kinetics of the enzymic chemical reaction. These models represent the chemical oxidation in the gas phase and mass transmission within the air-biofilm junction. Furthermore, for the numerical study of the saturation of -pinene and methanol in the biofilm and gas state, we have developed an efficient supervised machine learning algorithm based on the architecture of Elman neural networks (ENN). Moreover, the Levenberg-Marquardt (LM) optimization paradigm is used to find the parameters/ neurons involved in the ENN architecture. The approximation to a solutions found by the ENN-LM technique for methanol saturation and -pinene under variations in different physical parameters are allegorized with the numerical results computed by state-of-the-art techniques. The graphical and statistical illustration of indications of performance relative to the terms of absolute errors, mean absolute deviations, computational complexity, and mean square error validates that our results perfectly describe the real-life situation and can further be used for problems arising in chemical engineering.

摘要

生物过滤是一种污染管理方法,它利用含有活性物质的生物反应器来生物吸收和破坏污染物。在本文中,我们研究了用于混合挥发性有机化合物(VOCs)(例如亲水性的甲醇和疏水性的α-蒎烯)的生物过滤数学模型。非线性扩散方程组描述了酶化学反应的米氏动力学。这些模型代表了气相中的化学氧化以及气-生物膜交界处的传质过程。此外,为了对生物膜和气相中α-蒎烯和甲醇的饱和度进行数值研究,我们基于埃尔曼神经网络(ENN)架构开发了一种高效的监督机器学习算法。此外,使用列文伯格-马夸尔特(LM)优化范式来找到ENN架构中涉及的参数/神经元。通过ENN-LM技术找到的甲醇饱和度和α-蒎烯在不同物理参数变化下的解的近似值,与采用最先进技术计算得到的数值结果进行了对比。相对于绝对误差、平均绝对偏差、计算复杂度和均方误差等指标的性能图形和统计说明证实,我们的结果完美地描述了实际情况,并且可进一步用于解决化学工程中出现的问题。

https://cdn.ncbi.nlm.nih.gov/pmc/blobs/811e/11266594/658325369383/41598_2024_65153_Fig1_HTML.jpg

文献检索

告别复杂PubMed语法,用中文像聊天一样搜索,搜遍4000万医学文献。AI智能推荐,让科研检索更轻松。

立即免费搜索

文件翻译

保留排版,准确专业,支持PDF/Word/PPT等文件格式,支持 12+语言互译。

免费翻译文档

深度研究

AI帮你快速写综述,25分钟生成高质量综述,智能提取关键信息,辅助科研写作。

立即免费体验