Department of Medical Oncology, Sun Yat-Sen University Cancer Center, State Key Laboratory of Oncology in South China, Collaborative Innovation Center for Cancer Medicine, Sun Yat-Sen University, 651 Dong Feng Road East, Guangzhou, 510060, People's Republic of China.
Research Unit of Precision Diagnosis and Treatment for Gastrointestinal Cancer, Chinese Academy of Medical Sciences, Guangzhou, 510060, People's Republic of China.
Clin Epigenetics. 2021 Dec 27;13(1):232. doi: 10.1186/s13148-021-01216-0.
Circulating tumor DNA (ctDNA) is a promising diagnostic and prognostic marker for many cancers and has been actively investigated in recent years. Previous studies have already demonstrated the potential use of ctDNA methylation markers in the diagnosis and prognostication of colorectal cancer (CRC). This retrospective study validated the value of methylation biomarker MYO1-G (cg10673833) in CRC diagnosis and disease monitoring using digital droplet PCR (ddPCR), a biomarker selected from our previous study due to its highest diagnostic efficiency.
Blood samples of CRC and control samples from tumor-free individuals at two institutions were collected to quantify the methylation ratio using ddPCR. Area under curve (AUC) was calculated after constructing receiver operating characteristic curve (ROC) for CRC diagnosis. Sensitivity and specificity were estimated and comparisons of methylation ratio in different groups were performed.
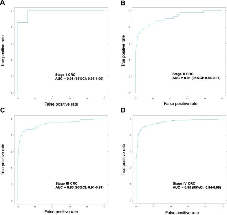
We collected 673 blood samples from 272 patients diagnosed with stage I-IV CRC and 402 normal control samples. The methylation biomarker discriminated patients with CRC from normal controls with high accuracy (area under curve [AUC] = 0.94) and yielded a sensitivity of 84.3% and specificity of 94.5%. Besides, methylation ratio of MYO1-G was associated with tumor burden and treatment response. The methylation ratio was significantly lower in patients after their radical operation than when compared with those before surgeries (P < 0.001). Methylation ratio was significantly higher in patients with disease progression than those with stable disease (P = 0.002) and those with complete response or partial response (P = 0.009).
Together, our study indicated that this methylation marker can serve as a potential biomarker for diagnosing and monitoring CRC.
循环肿瘤 DNA(ctDNA)是许多癌症有前途的诊断和预后标志物,近年来受到了广泛关注。先前的研究已经证明了 ctDNA 甲基化标志物在结直肠癌(CRC)的诊断和预后中的潜在应用。本回顾性研究使用数字液滴 PCR(ddPCR)验证了我们之前研究中由于诊断效率最高而选择的甲基化生物标志物 MYO1-G(cg10673833)在 CRC 诊断和疾病监测中的价值。
在两个机构收集 CRC 患者和无肿瘤个体的血液样本,使用 ddPCR 定量甲基化比率。构建用于 CRC 诊断的接受者操作特征曲线(ROC)后,计算曲线下面积(AUC)。估计敏感性和特异性,并比较不同组的甲基化比率。
我们收集了来自 272 名 I-IV 期 CRC 患者和 402 名正常对照样本的 673 份血液样本。甲基化生物标志物可准确地区分 CRC 患者和正常对照者(AUC=0.94),敏感性为 84.3%,特异性为 94.5%。此外,MYO1-G 的甲基化比率与肿瘤负荷和治疗反应有关。根治性手术后患者的甲基化比率明显低于手术前(P<0.001)。与疾病稳定患者(P=0.002)和完全缓解或部分缓解患者(P=0.009)相比,疾病进展患者的甲基化比率明显更高。
总之,我们的研究表明,该甲基化标志物可作为诊断和监测 CRC 的潜在生物标志物。