• 文献检索
  • 文档翻译
  • 深度研究
  • 学术资讯
  • Suppr Zotero 插件Zotero 插件
  • 邀请有礼
  • 套餐&价格
  • 历史记录
应用&插件
Suppr Zotero 插件Zotero 插件浏览器插件Mac 客户端Windows 客户端微信小程序
定价
高级版会员购买积分包购买API积分包
服务
文献检索文档翻译深度研究API 文档MCP 服务
关于我们
关于 Suppr公司介绍联系我们用户协议隐私条款
关注我们

Suppr 超能文献

核心技术专利:CN118964589B侵权必究
粤ICP备2023148730 号-1Suppr @ 2026

文献检索

告别复杂PubMed语法,用中文像聊天一样搜索,搜遍4000万医学文献。AI智能推荐,让科研检索更轻松。

立即免费搜索

文件翻译

保留排版,准确专业,支持PDF/Word/PPT等文件格式,支持 12+语言互译。

免费翻译文档

深度研究

AI帮你快速写综述,25分钟生成高质量综述,智能提取关键信息,辅助科研写作。

立即免费体验

COVID-19 大流行期间妇产科医学教育中替代在线讲座的经验——未来可能的高效和以学生为导向的模式?

Experiences with alternative online lectures in medical education in obstetrics and gynecology during the COVID-19 pandemic-possible efficient and student-orientated models for the future?

机构信息

Department of Gynecology and Obstetrics, Klinikum rechts der Isar, Technical University, Munich, Germany.

Department of Gynecology and Obstetrics, Ludwig Maximilians University (LMU), Munich, Germany.

出版信息

Arch Gynecol Obstet. 2022 Apr;305(4):1041-1053. doi: 10.1007/s00404-021-06356-5. Epub 2021 Dec 28.

DOI:10.1007/s00404-021-06356-5
PMID:34961899
原文链接:https://pmc.ncbi.nlm.nih.gov/articles/PMC8712207/
Abstract

PURPOSE

The onset of the COVID-19 pandemic posed an eminent challenge for medical teachers worldwide. Face-to-face lectures and seminars were no longer possible, and alternatives had to be found. E-learning concepts quickly emerged as the only practicable solutions and also offered the opportunity to evaluate whether traditional face-to-face lectures could be translated into an online format, independent of the COVID-19 pandemic.

METHODS

We offered an e-learning program consisting of lecture notes, screencasts with audio narration, and online webinars that covered topics normally taught in traditional lectures and seminars. To evaluate the learning behavior and quality of our e-learning program, we drafted a questionnaire that students completed at the end of the 2020 summer semester that had been designed to enable a comparative analysis of the different e-learning modules.

RESULTS

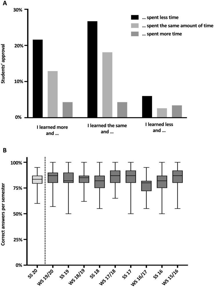
Voluntary participation in the online courses was high. Survey analysis revealed high satisfaction with and a distinctive preference for the format, even under regular, COVID-19-independent conditions. In general, a positive appraisal of e-learning-especially as a substitute for regular lectures-was found. Students also reported higher studying efficiency. Exam results were equal to those of previous semesters.

CONCLUSION

Both acceptance of and satisfaction with our e-learning modules were high, and students displayed increased demand for this kind of e-learning format. We, therefore, conclude that e-learning offerings could serve as reasonable, efficient, student-orientated substitutes for certain medical courses, especially lectures. These curricular adaptations would correlate with the high digitalization seen in students' everyday lives. This correlation may also hold true independent of the ongoing COVID-19 pandemic.

摘要

目的

新冠疫情的爆发给全世界的医学教师带来了严峻的挑战。面对面的讲座和研讨会已不再可行,必须寻找替代方案。电子学习概念迅速成为唯一可行的解决方案,同时也提供了评估传统面对面讲座是否可以转化为在线形式的机会,而不受新冠疫情的影响。

方法

我们提供了一个由讲稿、带音频旁白的屏幕录像和在线网络研讨会组成的电子学习计划,涵盖了通常在传统讲座和研讨会上教授的主题。为了评估我们的电子学习计划的学习行为和质量,我们设计了一份问卷,让学生在 2020 年夏季学期结束时填写,该问卷旨在对不同的电子学习模块进行比较分析。

结果

学生自愿参加在线课程的比例很高。调查分析显示,即使在常规的、与新冠疫情无关的条件下,学生对该格式的满意度和明显偏好度都很高。总的来说,对电子学习的评价是积极的,特别是作为常规讲座的替代方案。学生还报告说学习效率更高。考试成绩与前几个学期持平。

结论

我们的电子学习模块的接受度和满意度都很高,学生对这种电子学习形式的需求也有所增加。因此,我们得出结论,电子学习课程可以作为某些医学课程,特别是讲座的合理、高效、以学生为中心的替代方案。这些课程调整与学生日常生活中的高度数字化是一致的。这种相关性甚至可能独立于持续的新冠疫情而存在。

https://cdn.ncbi.nlm.nih.gov/pmc/blobs/7353/8967731/df54bf8c4cce/404_2021_6356_Fig2_HTML.jpg
https://cdn.ncbi.nlm.nih.gov/pmc/blobs/7353/8967731/dd45f7db9155/404_2021_6356_Fig1_HTML.jpg
https://cdn.ncbi.nlm.nih.gov/pmc/blobs/7353/8967731/df54bf8c4cce/404_2021_6356_Fig2_HTML.jpg
https://cdn.ncbi.nlm.nih.gov/pmc/blobs/7353/8967731/dd45f7db9155/404_2021_6356_Fig1_HTML.jpg
https://cdn.ncbi.nlm.nih.gov/pmc/blobs/7353/8967731/df54bf8c4cce/404_2021_6356_Fig2_HTML.jpg

相似文献

1
Experiences with alternative online lectures in medical education in obstetrics and gynecology during the COVID-19 pandemic-possible efficient and student-orientated models for the future?COVID-19 大流行期间妇产科医学教育中替代在线讲座的经验——未来可能的高效和以学生为导向的模式?
Arch Gynecol Obstet. 2022 Apr;305(4):1041-1053. doi: 10.1007/s00404-021-06356-5. Epub 2021 Dec 28.
2
Students' attitudes toward digital learning during the COVID-19 pandemic: a survey conducted following an online course in gynecology and obstetrics.学生对 COVID-19 大流行期间数字学习的态度:在妇科和产科在线课程后进行的调查。
Arch Gynecol Obstet. 2021 Oct;304(4):957-963. doi: 10.1007/s00404-021-06131-6. Epub 2021 Aug 5.
3
[Chances and challenges of increasing digitalization of teaching in the discipline anesthesiology from the perspective of students].从学生视角看麻醉学专业教学日益数字化的机遇与挑战
Anaesthesiologie. 2022 Sep;71(9):689-696. doi: 10.1007/s00101-022-01102-1. Epub 2022 Mar 3.
4
The COVID-19 pandemic and its impact on medical teaching in obstetrics and gynecology-A nationwide expert survey among teaching coordinators at German university hospitals.新型冠状病毒肺炎大流行及其对妇产科医学教学的影响——德国大学附属医院教学协调员的全国专家调查。
PLoS One. 2022 Aug 5;17(8):e0269562. doi: 10.1371/journal.pone.0269562. eCollection 2022.
5
COVID-19: a catalyst for the digitization of surgical teaching at a German University Hospital.COVID-19:德国大学医院外科教学数字化的催化剂。
BMC Med Educ. 2022 Apr 22;22(1):308. doi: 10.1186/s12909-022-03362-2.
6
Changing Methods of Education During a Pandemic: Questionnaire Survey about Examinations for Nuclear Medicine Technology at Educational Institutions in Japan.疫情期间的教育方式变革:日本核医学技术教育机构考试问卷调查
J Nucl Med Technol. 2022 Mar;50(1):60-65. doi: 10.2967/jnmt.121.262759. Epub 2021 Sep 28.
7
Online learning during COVID-19 produced equivalent or better student course performance as compared with pre-pandemic: empirical evidence from a school-wide comparative study.新冠疫情期间的在线学习与疫情前相比产生了相当或更好的学生课程表现:一项全校范围比较研究的实证证据。
BMC Med Educ. 2021 Sep 16;21(1):495. doi: 10.1186/s12909-021-02909-z.
8
Online teaching in physiotherapy education during COVID-19 pandemic in Italy: a retrospective case-control study on students' satisfaction and performance.新冠疫情期间意大利物理治疗教育中的在线教学:一项基于学生满意度和表现的回顾性病例对照研究。
BMC Med Educ. 2021 Aug 30;21(1):456. doi: 10.1186/s12909-021-02896-1.
9
Clinical clerkship students' preferences and satisfaction regarding online lectures during the COVID-19 pandemic.临床实习医学生对 COVID-19 大流行期间在线讲座的偏好和满意度。
BMC Med Educ. 2022 Jan 18;22(1):43. doi: 10.1186/s12909-021-03096-7.
10
Remote Teaching in a Preclinical Phantom Course in Operative Dentistry During the COVID-19 Pandemic: Observational Case Study.COVID-19大流行期间口腔颌面外科学临床前虚拟课程中的远程教学:观察性案例研究
JMIR Med Educ. 2021 May 14;7(2):e25506. doi: 10.2196/25506.

引用本文的文献

1
From Crisis to Opportunity: Reinventing Medical Education After COVID-19.从危机到机遇:新冠疫情后重塑医学教育
Perspect Med Educ. 2025 Jun 27;14(1):371-382. doi: 10.5334/pme.1672. eCollection 2025.
2
Enhancing Professionalism Online (Netiquette) in Medical Schools: A Systematic Scoping Review.医学院校在线提升职业素养(网络礼仪):一项系统的范围综述
J Med Educ Curric Dev. 2025 Feb 24;12:23821205241255268. doi: 10.1177/23821205241255268. eCollection 2025 Jan-Dec.
3
The impact of online education during the Covid-19 pandemic on the professional identity formation of medical students: A systematic scoping review.

本文引用的文献

1
Remote Teaching in a Preclinical Phantom Course in Operative Dentistry During the COVID-19 Pandemic: Observational Case Study.COVID-19大流行期间口腔颌面外科学临床前虚拟课程中的远程教学:观察性案例研究
JMIR Med Educ. 2021 May 14;7(2):e25506. doi: 10.2196/25506.
2
Mental Health, Social and Emotional Well-Being, and Perceived Burdens of University Students During COVID-19 Pandemic Lockdown in Germany.德国新冠疫情封锁期间大学生的心理健康、社会与情感福祉及感知负担
Front Psychiatry. 2021 Apr 6;12:643957. doi: 10.3389/fpsyt.2021.643957. eCollection 2021.
3
Learning how to conduct medical interviews online for the first time - this is what we learned in Frankfurt am Main.
新冠疫情期间在线教育对医学生职业身份形成的影响:系统范围综述。
PLoS One. 2024 Jan 5;19(1):e0296367. doi: 10.1371/journal.pone.0296367. eCollection 2024.
4
ChatGPT's performance in German OB/GYN exams - paving the way for AI-enhanced medical education and clinical practice.ChatGPT在德国妇产科考试中的表现——为人工智能强化医学教育和临床实践铺平道路。
Front Med (Lausanne). 2023 Dec 13;10:1296615. doi: 10.3389/fmed.2023.1296615. eCollection 2023.
5
Factors That Enhance and Hinder the Retention and Transfer of Online Pre-Clinical Skills Training to Facilitate Blended Learning.促进和阻碍在线临床前技能培训的保留与迁移以推动混合式学习的因素。
Adv Med Educ Pract. 2023 Aug 24;14:919-936. doi: 10.2147/AMEP.S398376. eCollection 2023.
6
Association of online activities with obstetrics and gynecology specialty choice: a nationwide online survey.在线活动与妇产科专业选择的关联:一项全国性在线调查。
Int J Med Educ. 2022 Sep 28;13:261-266. doi: 10.5116/ijme.6320.36eb.
7
The COVID-19 pandemic and its impact on medical teaching in obstetrics and gynecology-A nationwide expert survey among teaching coordinators at German university hospitals.新型冠状病毒肺炎大流行及其对妇产科医学教学的影响——德国大学附属医院教学协调员的全国专家调查。
PLoS One. 2022 Aug 5;17(8):e0269562. doi: 10.1371/journal.pone.0269562. eCollection 2022.
8
Digitalization in Medicine: Are German Medical Students Well Prepared for the Future?医学数字化:德国医学生是否为未来做好了准备?
Int J Environ Res Public Health. 2022 Jul 7;19(14):8308. doi: 10.3390/ijerph19148308.
9
How to make students satisfied with digital teaching? Investigative results from teaching evaluations in Gynecology and Obstetrics.如何让学生对数字化教学满意?妇产科教学评估的调查结果。
Arch Gynecol Obstet. 2022 Nov;306(5):1587-1596. doi: 10.1007/s00404-022-06645-7. Epub 2022 Jul 19.
10
Application of test-enhanced learning (TEL) in obstetrics and gynecology: a prospective study.测试增强学习(TEL)在妇产科中的应用:一项前瞻性研究。
Arch Gynecol Obstet. 2022 Nov;306(5):1563-1571. doi: 10.1007/s00404-022-06656-4. Epub 2022 Jul 13.
第一次学习如何在线进行医学访谈——这就是我们在美因河畔法兰克福学到的东西。
GMS J Med Educ. 2021 Jan 28;38(1):Doc19. doi: 10.3205/zma001415. eCollection 2021.
4
Enhancing of self-regulated learning strategies for health care students to improve e-learning in the "Corona semester" as an interdisciplinary task.增强医疗保健专业学生的自我调节学习策略,以改善“新冠学期”的电子学习,这是一项跨学科任务。
GMS J Med Educ. 2020 Dec 3;37(7):Doc76. doi: 10.3205/zma001369. eCollection 2020.
5
Perceptions of medical students towards online teaching during the COVID-19 pandemic: a national cross-sectional survey of 2721 UK medical students.COVID-19 大流行期间医学生对在线教学的看法:对 2721 名英国医学生的全国横断面调查。
BMJ Open. 2020 Nov 5;10(11):e042378. doi: 10.1136/bmjopen-2020-042378.
6
Distance learning in clinical medical education amid COVID-19 pandemic in Jordan: current situation, challenges, and perspectives.新冠疫情期间约旦临床医学教育的远程学习:现状、挑战与展望。
BMC Med Educ. 2020 Oct 2;20(1):341. doi: 10.1186/s12909-020-02257-4.
7
The sudden transition to synchronized online learning during the COVID-19 pandemic in Saudi Arabia: a qualitative study exploring medical students' perspectives.沙特阿拉伯在 COVID-19 大流行期间突然转向同步在线学习:一项探索医学生观点的定性研究。
BMC Med Educ. 2020 Aug 28;20(1):285. doi: 10.1186/s12909-020-02208-z.
8
How COVID-19 has pushed us into a medical education revolution.新冠疫情如何推动我们进入医学教育革命。
Intern Med J. 2020 Sep;50(9):1150-1153. doi: 10.1111/imj.14882. Epub 2020 Jul 14.
9
Pedagogical foundations to online lectures in health professions education.卫生专业教育中在线讲座的教学基础。
Rural Remote Health. 2020 May;20(2):6038. doi: 10.22605/RRH6038. Epub 2020 May 29.
10
Medical Student Education in the Time of COVID-19.COVID-19 时代的医学生教育
JAMA. 2020 Jun 2;323(21):2131-2132. doi: 10.1001/jama.2020.5227.