Department of Radiology, Brain Center, University Medical Center Utrecht, Utrecht University, the Netherlands.
Department of Neurology and Neurosurgery, Brain Center, University Medical Center Utrecht, Utrecht University, the Netherlands.
J Magn Reson Imaging. 2022 Aug;56(2):527-535. doi: 10.1002/jmri.28062. Epub 2022 Jan 7.
Increased cerebral blood-flow pulsatility is associated with cerebral small vessel disease (cSVD). Reduced pulsatility attenuation over the internal carotid artery (ICA) could be a contributing factor to the development of cSVD and could be associated with intracranial ICA calcification (iICAC).
To compare pulsatility, pulsatility attenuation, and distensibility along the ICA between patients with cSVD and controls and to assess the association between iICAC and pulsatility and distensibility.
Retrospective, explorative cross-sectional study.
A total of 17 patients with cSVD, manifested as lacunar infarcts or deep intracerebral hemorrhage, and 17 age- and sex-matched controls.
FIELD STRENGTH/SEQUENCE: Three-dimensional (3D) T1-weighted gradient echo imaging and 4D phase-contrast (PC) MRI with a 3D time-resolved velocity encoded gradient echo sequence at 7 T.
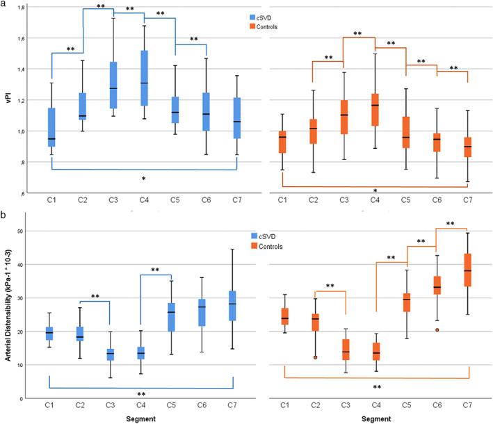
Blood-flow velocity pulsatility index (vPI) and arterial distensibility were calculated for seven ICA segments (C1-C7). iICAC presence and volume were determined from available brain CT scans (acquired as part of standard clinical care) in patients with cSVD.
Independent t-tests and linear mixed models. The threshold for statistically significance was P < 0.05 (two tailed).
The cSVD group showed significantly higher ICA vPI and significantly lower distensibility compared to controls. Controls showed significant attenuation of vPI over the carotid siphon (-4.9% ± 3.6%). In contrast, patients with cSVD showed no attenuation, but a significant increase of vPI (+6.5% ± 3.1%). iICAC presence and volume correlated positively with vPI (r = 0.578) in patients with cSVD and negatively with distensibility (r = -0.386).
Decreased distensibility and reduced pulsatility attenuation are associated with increased iICAC and may contribute to cSVD. Confirmation in a larger prospective study is required.
2 TECHNICAL EFFICACY: Stage 2.
大脑血流搏动增加与脑小血管疾病(cSVD)有关。颈内动脉(ICA)内搏动衰减减少可能是 cSVD 发展的一个促成因素,并可能与颅内 ICA 钙化(iICAC)有关。
比较 cSVD 患者和对照组患者 ICA 段的搏动、搏动衰减和可扩张性,并评估 iICAC 与搏动和可扩张性之间的关系。
回顾性、探索性、横断面研究。
共 17 例 cSVD 患者,表现为腔隙性梗死或深部脑出血,以及 17 例年龄和性别匹配的对照组。
磁场强度/序列:7T 下三维(3D)T1 加权梯度回波成像和 4D 相位对比(PC)MRI,采用 3D 时间分辨速度编码梯度回波序列。
计算了 7 个 ICA 节段(C1-C7)的血流速度搏动指数(vPI)和动脉可扩张性。通过 cSVD 患者的现有脑部 CT 扫描(作为标准临床护理的一部分获得)确定 iICAC 的存在和体积。
独立 t 检验和线性混合模型。统计显著性的阈值为 P < 0.05(双侧)。
cSVD 组的 ICA vPI 明显高于对照组,可扩张性明显低于对照组。对照组颈动脉虹吸段 vPI 明显衰减(-4.9% ± 3.6%)。相比之下,cSVD 患者没有衰减,而是 vPI 明显增加(+6.5% ± 3.1%)。cSVD 患者的 iICAC 存在和体积与 vPI 呈正相关(r = 0.578),与可扩张性呈负相关(r = -0.386)。
降低的可扩张性和减少的搏动衰减与增加的 iICAC 相关,并可能导致 cSVD。需要在更大的前瞻性研究中进行确认。
2 级
2 级