Huang Shenglan, Zhang Jian, Lai Xiaolan, Zhuang Lingling, Wu Jianbing
The Second Affiliated Hospital of Nanchang University, Nanchang, China.
Jiangxi Key Laboratory of Clinical and Translational Cancer Research, Nanchang, China.
Front Mol Biosci. 2021 Dec 24;8:781307. doi: 10.3389/fmolb.2021.781307. eCollection 2021.
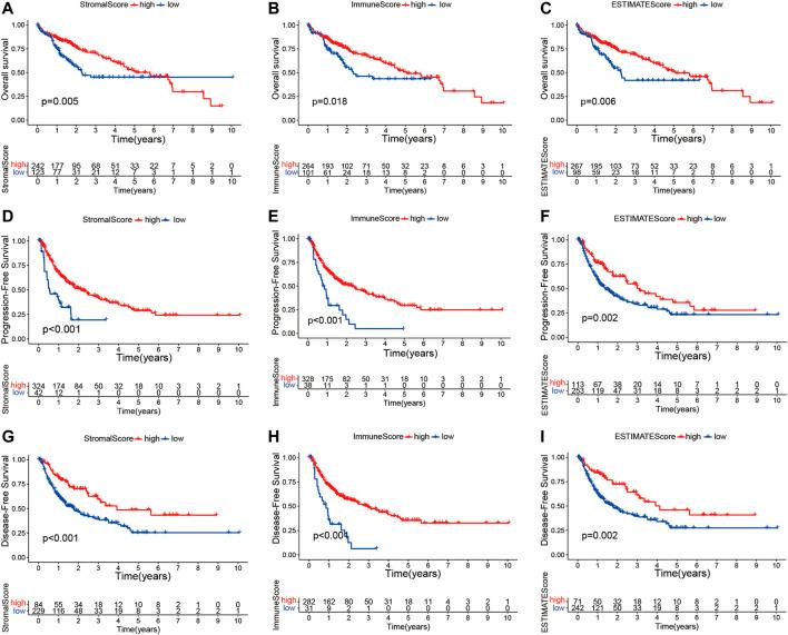
Hepatocellular carcinoma (HCC) is one of the most common malignant tumors with poor prognosis. The tumor microenvironment (TME) plays a vital role in HCC progression. Thus, this research was designed to analyze the correlation between the TME and the prognosis of HCC patients and to construct a TME-related long noncoding RNA (lncRNA) signature to determine HCC patients' prognosis and response to immunotherapy. We assessed the stromal-immune-estimate scores within the HCC microenvironment using the ESTIMATE (Estimation of Stromal and Immune Cells in Malignant Tumor Tissues Using Expression Data) algorithm based on The Cancer Genome Atlas database, and their associations with survival and clinicopathological parameters were also analyzed. Thereafter, differentially expressed lncRNAs were filtered out according to the immune and stromal scores. Cox regression analysis was performed to build a TME-related lncRNA risk signature. Kaplan-Meier analysis was used to explore the prognostic value of the risk signature. Furthermore, we explored the biological functions and immune microenvironment features in the high- and low-risk groups. Lastly, we probed the association of the risk model with treatment responses to immune checkpoint inhibitors (ICIs) in HCC. The stromal, immune, and estimate scores were obtained utilizing the ESTIMATE algorithm for patients with HCC. Kaplan-Meier analysis showed that high scores were significantly correlated with better prognosis in HCC patients. Six TME-related lncRNAs were screened to construct the prognostic model. The Kaplan-Meier curves suggested that HCC patients with low risk had better prognosis than those with high risk. Receiver operating characteristic (ROC) curve and Cox regression analyses indicated that the risk model could predict HCC survival exactly and independently. Functional enrichment analysis revealed that some tumor- and immune-related pathways were activated in the high-risk group. We also revealed that some immune cells, which were important in enhancing immune responses toward cancer, were significantly increased in the low-risk group. In addition, there was a close correlation between ICIs and the risk signature, which can be used to predict the treatment responses of HCC patients. We analyzed the influence of the stromal, immune, and estimate scores on the prognosis of HCC patients. A novel TME-related lncRNA risk model was established, which could be effectively applied as an independent prognostic biomarker and predictor of ICIs for HCC patients.
肝细胞癌(HCC)是最常见的恶性肿瘤之一,预后较差。肿瘤微环境(TME)在HCC进展中起着至关重要的作用。因此,本研究旨在分析TME与HCC患者预后之间的相关性,并构建一个与TME相关的长链非编码RNA(lncRNA)特征,以确定HCC患者的预后和对免疫治疗的反应。我们基于癌症基因组图谱数据库,使用ESTIMATE(利用表达数据估计恶性肿瘤组织中的基质和免疫细胞)算法评估HCC微环境中的基质-免疫估计分数,并分析它们与生存和临床病理参数的关联。此后,根据免疫和基质分数筛选出差异表达的lncRNAs。进行Cox回归分析以构建与TME相关的lncRNA风险特征。使用Kaplan-Meier分析来探索风险特征的预后价值。此外,我们探讨了高风险组和低风险组中的生物学功能和免疫微环境特征。最后,我们探究了风险模型与HCC中免疫检查点抑制剂(ICIs)治疗反应的关联。利用ESTIMATE算法获得了HCC患者的基质、免疫和估计分数。Kaplan-Meier分析表明,高分与HCC患者更好的预后显著相关。筛选出6个与TME相关的lncRNAs来构建预后模型。Kaplan-Meier曲线表明,低风险的HCC患者比高风险患者预后更好。受试者工作特征(ROC)曲线和Cox回归分析表明,风险模型可以准确且独立地预测HCC生存。功能富集分析显示,高风险组中一些与肿瘤和免疫相关的途径被激活。我们还发现,在增强对癌症的免疫反应中起重要作用的一些免疫细胞在低风险组中显著增加。此外,ICIs与风险特征之间存在密切相关性,可用于预测HCC患者的治疗反应。我们分析了基质、免疫和估计分数对HCC患者预后的影响。建立了一种新的与TME相关的lncRNA风险模型,该模型可有效地作为HCC患者的独立预后生物标志物和ICIs预测指标。