Suppr超能文献

心脏重症监护病房中患有脓毒症及脓毒性-心源性混合性休克患者的休克严重程度评估

Shock Severity Assessment in Cardiac Intensive Care Unit Patients With Sepsis and Mixed Septic-Cardiogenic Shock.

作者信息

Jentzer Jacob C, van Diepen Sean, Hollenberg Steven M, Lawler Patrick R, Kashani Kianoush B

机构信息

Department of Cardiovascular Medicine, Mayo Clinic, Rochester, MN.

Division of Pulmonary and Critical Care, Mayo Clinic, Rochester, MN.

出版信息

Mayo Clin Proc Innov Qual Outcomes. 2021 Dec 23;6(1):37-44. doi: 10.1016/j.mayocpiqo.2021.11.008. eCollection 2022 Feb.

Abstract

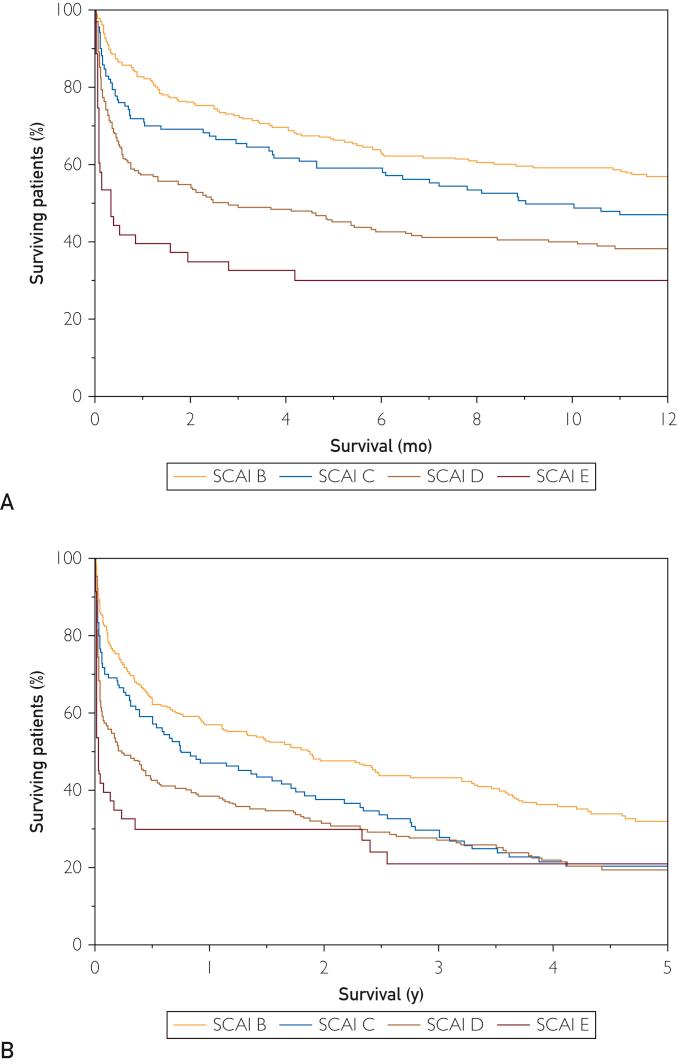
We sought to validate the Society for Cardiovascular Angiography and Interventions (SCAI) cardiogenic shock classification for mortality risk stratification in patients with sepsis and concomitant cardiovascular disease or mixed septic-cardiogenic shock. We conducted a single-center retropective cohort study of cardiac intensive care unit patients with an admission diagnosis of sepsis. We used clinical, vital sign, and laboratory data during the first 24 hours after admission to assign SCAI shock stage. We included 605 patients with a median age of 69.4 years (interquartile range, 57.9 to 79.8 years), 222 of whom (36.7%) were female. Acute coronary syndrome or heart failure was present in 480 patients (79.3%), and cardiogenic shock or cardiac arrest was present in 271 patients (44.8%). The median day 1 Sequential Organ Failure Assessment (SOFA) cardiovascular subscore was 1.5 (interquartile range, 1 to 4), and the admission SCAI shock stage distribution was stage B, 40.7% (246); stage C, 19.3% (117); stage D, 32.9% (199); and stage E, 7.1% (43). In-hospital mortality occurred in 177 of the 605 patients (29.3%) and increased incrementally with higher SCAI shock stage. After multivariable adjustment, admission SCAI shock stage was associated with in-hospital mortality (adjusted odds ratio per stage, 1.46; 95% CI, 1.14 to 1.88; =.003). Admission SCAI shock stage had higher discrimination for in-hospital mortality than the day 1 SOFA cardiovascular subscore (area under the receiver operating characteristic curve, 0.68 vs 0.64; =.04 by the DeLong test). Admission SCAI shock stage was associated with 1-year mortality (adjusted hazard ratio per stage, 1.19; 95% CI, 1.03 to 1.37; =.02). The SCAI shock classification provides improved mortality risk stratification over the day 1 SOFA cardiovascular subscore in cardiac intensive care unit patients with sepsis and concomitant cardiovascular disease or mixed septic-cardiogenic shock.

摘要

我们旨在验证心血管造影和介入学会(SCAI)的心源性休克分类对脓毒症合并心血管疾病或混合性脓毒症-心源性休克患者死亡率风险分层的有效性。我们对心脏重症监护病房中入院诊断为脓毒症的患者进行了一项单中心回顾性队列研究。我们使用入院后最初24小时内的临床、生命体征和实验室数据来确定SCAI休克分期。我们纳入了605例患者,中位年龄为69.4岁(四分位间距为57.9至79.8岁),其中222例(36.7%)为女性。480例患者(79.3%)存在急性冠状动脉综合征或心力衰竭,271例患者(44.8%)存在心源性休克或心脏骤停。第1天序贯器官衰竭评估(SOFA)心血管亚评分的中位数为1.5(四分位间距为1至4),入院时SCAI休克分期分布为:B期,40.7%(246例);C期,19.3%(117例);D期,32.9%(199例);E期,7.1%(43例)。605例患者中有177例(29.3%)发生院内死亡,且随着SCAI休克分期升高而逐渐增加。多变量调整后,入院时SCAI休克分期与院内死亡率相关(每升高一期调整后的比值比为1.46;95%置信区间为1.14至1.88;P = 0.003)。入院时SCAI休克分期对院内死亡率的判别能力高于第1天SOFA心血管亚评分(受试者工作特征曲线下面积分别为0.68和0.64;经DeLong检验,P = 0.04)。入院时SCAI休克分期与1年死亡率相关(每升高一期调整后的风险比为1.19;95%置信区间为1.03至1.37;P = 0.02)。对于心脏重症监护病房中患有脓毒症合并心血管疾病或混合性脓毒症-心源性休克的患者,SCAI休克分类在死亡率风险分层方面比第1天SOFA心血管亚评分有更好的表现。

https://cdn.ncbi.nlm.nih.gov/pmc/blobs/d222/8715298/7f02e081288c/gr1.jpg

文献AI研究员

20分钟写一篇综述,助力文献阅读效率提升50倍。

立即体验

用中文搜PubMed

大模型驱动的PubMed中文搜索引擎

马上搜索

文档翻译

学术文献翻译模型,支持多种主流文档格式。

立即体验