Popovici Violeta, Bucur Laura, Calcan Suzana Ioana, Cucolea Elena Iulia, Costache Teodor, Rambu Dan, Schröder Verginica, Gîrd Cerasela Elena, Gherghel Daniela, Vochita Gabriela, Caraiane Aureliana, Badea Victoria
Department of Microbiology and Immunology, Faculty of Dental Medicine, Ovidius University of Constanta, 7 Ilarie Voronca Street, 900684 Constanta, Romania.
Department of Pharmacognosy, Faculty of Pharmacy, Ovidius University of Constanta, 6 Capitan Al. Serbanescu Street, 900001 Constanta, Romania.
Plants (Basel). 2021 Dec 23;11(1):32. doi: 10.3390/plants11010032.
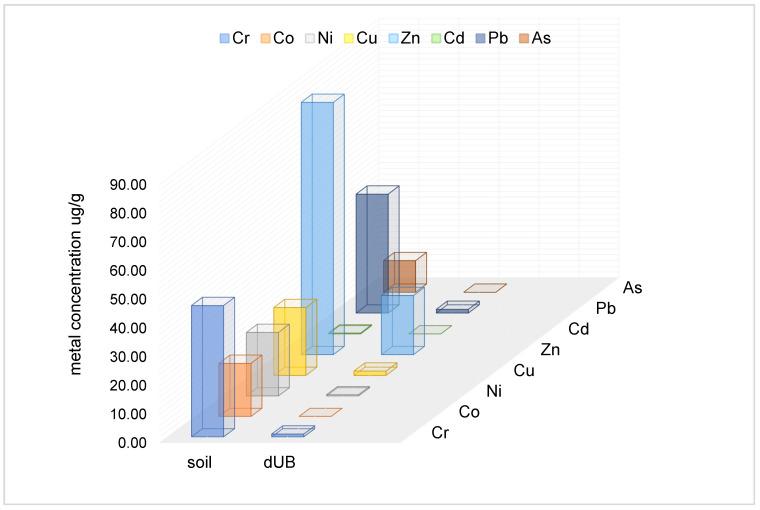
This study aims to complete our research on (L.) Weber ex F.H. Wigg () from the Călimani Mountains, Romania, with an elemental analysis and to explore its antibacterial and antifungal potential. Thus, we analyzed twenty-three metals (Ca, Fe, Mg, Mn, Zn, Al, Ag, Ba, Co, Cr, Cu, Li, Ni, Tl, V, Mo, Pd, Pt, Sb, As, Pb, Cd, and Hg) in dried lichen (dUB) by inductively coupled plasma mass spectrometry (ICP-MS). For the second study, we performed dried lichen extraction with five different solvents (ethyl acetate, acetone, ethanol, methanol, and water), obtaining five dry extracts (UBDE). Then, using an adapted disc diffusion method (DDM), we examined their antimicrobial activity against seven bacterial species-four Gram-positive (, , , and ) and three Gram-negative (, , and )-and two fungi species ( and ). Usnic acid (UA) was used as a positive control. The ICP-MS data showed a considerable Ca content (979.766 µg/g), followed by, in decreasing order, Mg, Mn, Al, Fe, and Zn. Other elements had low levels: Ba, Cu, Pb, and Cr (3.782-1.002 µg/g); insignificant amounts (<1 µg/g) of Hg and V were also found in dUB. The trace elements Ag, As, Cd, Co, Li, Tl, Mo, Pd, Pt, and Sb were below detection limits (<0.1 µg/g). The DDM results-expressed as the size (mm) of the inhibition zone diameter (IZs)-proved that the water extract did not have any inhibitory activity on any pathogens (IZs = 0 mm). Gram-positive bacteria displayed the most significant susceptibility to all other UBDE, with showing the highest level (IZs = 20-22 mm). The most susceptible Gram-negative bacterium was (IZs = 16-20 mm); the others were insensitive to all dry extracts (IZs = 0 mm). The inhibitory activity of UBDE and UA on was slightly higher than on .
本研究旨在通过元素分析完成我们对罗马尼亚卡利马尼山脉的(L.)Weber ex F.H. Wigg()地衣的研究,并探索其抗菌和抗真菌潜力。因此,我们采用电感耦合等离子体质谱法(ICP-MS)分析了干燥地衣(dUB)中的23种金属(钙、铁、镁、锰、锌、铝、银、钡、钴、铬、铜、锂、镍、铊、钒、钼、钯、铂、锑、砷、铅、镉和汞)。在第二项研究中,我们用五种不同的溶剂(乙酸乙酯、丙酮、乙醇、甲醇和水)对干燥地衣进行萃取,得到五种干燥提取物(UBDE)。然后,我们采用改良的纸片扩散法(DDM),检测它们对七种细菌——四种革兰氏阳性菌(、、和)和三种革兰氏阴性菌(、、和)——以及两种真菌(和)的抗菌活性。松萝酸(UA)用作阳性对照。ICP-MS数据显示钙含量相当高(979.766μg/g),其次是镁、锰、铝、铁和锌,含量依次递减。其他元素含量较低:钡、铜、铅和铬(3.782 - 1.002μg/g);在dUB中还发现汞和钒的含量极少(<1μg/g)。微量元素银、砷、镉、钴、锂、铊、钼、钯、铂和锑低于检测限(<0.1μg/g)。DDM结果——以抑菌圈直径(IZs)的大小(mm)表示——证明水提取物对任何病原体均无抑制活性(IZs = 0mm)。革兰氏阳性菌对所有其他UBDE表现出最显著的敏感性,其中表现出最高水平(IZs = 20 - 22mm)。最敏感的革兰氏阴性菌是(IZs = 16 - 20mm);其他革兰氏阴性菌对所有干燥提取物均不敏感(IZs = 0mm)。UBDE和UA对的抑制活性略高于对的抑制活性。