Suppr超能文献

克朗奎斯特甲醇提取物的体外光保护、抗炎、保湿和抗黑素生成作用

In Vitro Photoprotective, Anti-Inflammatory, Moisturizing, and Antimelanogenic Effects of a Methanolic Extract of Cronquist.

作者信息

Song Chaoran, Lorz Laura Rojas, Lee Jongsung, Cho Jae Youl

机构信息

Department of Integrative Biotechnology, Sungkyunkwan University, Suwon 16419, Korea.

Biomedical Institute for Convergence at SKKU (BICS), Sungkyunkwan University, Suwon 16419, Korea.

出版信息

Plants (Basel). 2021 Dec 28;11(1):94. doi: 10.3390/plants11010094.

Abstract

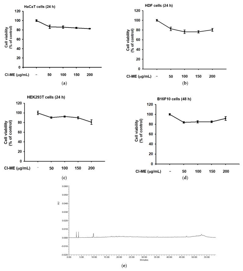
UVB exposure causes DNA mutation and ROS generation, which lead to skin photoaging, skin wrinkling, skin sagging, and uneven skin pigmentation. ROS activate the NF-κB and MAPK signaling pathways leading to production of inflammatory molecules such as COX-2, collagen-degrading proteins such as matrix metalloproteinases (MMPs), and moisture-deficiency-related proteins such as hyaluronidases (HYALs). UVB exposure also induces irregular skin pigmentation though melanin overproduction, related to CREB transcription factor activity and transcription of melanogenesis genes. Here, we demonstrate that methanol extract (Cl-ME) has antioxidant activity; it dose-dependently decreased the expression of COX-2, MMP-1, MMP-9, HYAL-1, and HYAL-4 by downregulating the NF-κB (IKKα/β, IκBα) and MAPK (ERK, JNK, and p38) pathways and increased the expression of , which encodes a protein important for maintaining skin elasticity. Cl-ME also showed promising antimelanogenic activity by decreasing the expression of CREB, a transcription factor, which in turn inhibited the expression of genes encoding tyrosinase, MITF, TYRP1, and TYRP2. In summary, a methanol extract of exhibited antiphotoaging and antimelanogenic activity and could be useful in the cosmeceutical industry.

摘要

紫外线B(UVB)照射会导致DNA突变和活性氧(ROS)生成,进而引发皮肤光老化、皮肤皱纹、皮肤松弛以及皮肤色素沉着不均。ROS激活核因子κB(NF-κB)和丝裂原活化蛋白激酶(MAPK)信号通路,导致炎性分子如环氧合酶-2(COX-2)、胶原蛋白降解蛋白如基质金属蛋白酶(MMPs)以及与水分缺乏相关的蛋白如透明质酸酶(HYALs)的产生。UVB照射还会通过黑素生成过多诱导不规则的皮肤色素沉着,这与CREB转录因子活性和黑素生成基因的转录有关。在此,我们证明甲醇提取物(Cl-ME)具有抗氧化活性;它通过下调NF-κB(IKKα/β、IκBα)和MAPK(细胞外信号调节激酶(ERK)、应激活化蛋白激酶(JNK)和p38)信号通路,剂量依赖性地降低COX-2、MMP-1、MMP-9、HYAL-1和HYAL-4的表达,并增加[此处原文缺失相关蛋白名称]的表达,该蛋白对维持皮肤弹性很重要。Cl-ME还通过降低转录因子CREB的表达表现出有前景的抗黑素生成活性,这反过来又抑制了编码酪氨酸酶、小眼畸形相关转录因子(MITF)、酪氨酸酶相关蛋白1(TYRP1)和酪氨酸酶相关蛋白2(TYRP2)的基因的表达。总之,[此处原文缺失植物名称]的甲醇提取物具有抗光老化和抗黑素生成活性,在药妆行业可能有用。

https://cdn.ncbi.nlm.nih.gov/pmc/blobs/5631/8747116/cd4447873d38/plants-11-00094-g001.jpg

文献检索

告别复杂PubMed语法,用中文像聊天一样搜索,搜遍4000万医学文献。AI智能推荐,让科研检索更轻松。

立即免费搜索

文件翻译

保留排版,准确专业,支持PDF/Word/PPT等文件格式,支持 12+语言互译。

免费翻译文档

深度研究

AI帮你快速写综述,25分钟生成高质量综述,智能提取关键信息,辅助科研写作。

立即免费体验